Материал: Экзаменационные вопросы

Внимание! Если размещение файла нарушает Ваши авторские права, то обязательно сообщите нам

ТРЕБОВАНИЯ ДЛЯ СДАЧИ ЭКЗАМЕНА

Формой итогового контроля является экзамен в 8 семестре.

Экзаменационный билет включает два вопроса и задачу. Вопросы для подготовки к экзамену и образец билета приведены ниже.

Вопросы для подготовки к экзамену

  1. Состав системы автоматического управления.

  2. Классификация САУ.

  3. Виды моделей, используемых для анализа и синтеза САУ.

  4. Передаточные функции типовых соединений звеньев.

  5. Оценка устойчивости по корням характеристического уравнения.

  6. Критерий устойчивости Гурвица.

  7. Критерий устойчивости Михайлова.

  8. Критерий устойчивости Найквиста.

  9. Показатели качества САУ и способы их определения.

  10. Законы регулирования.

  11. Классификация средств измерения давления.

  12. Типы деформационных чувствительных элементов, используемых для измерения давления.

  13. Классификация средств измерения уровня.

  14. Типы поплавковых и буйковых уровнемеров.

  15. Принцип действия гидростатических уровнемеров.

  16. Принцип действия ультразвуковых и радиоволновых уровнемеров, их достоинства и недостатки.

  17. Классификация средств измерения температуры.

  18. Принцип действия и типы манометрических термометров.

  19. Типы и номинальные статические характеристики термоэлектрических преобразователей (термопар).

  20. Основное уравнение термоэлектрического преобразователя. Способы исключения влияния температуры свободных концов на точность измерения.

  21. Типы и номинальные статические характеристики термометров сопротивления (термосопротивлений).

  22. Типы и принцип действия приборов, работающих в комплекте с термопреобразователями сопротивления.

  23. Автоматические мосты с двухпроводными и трехпроводными схемами подключения.

  24. Принцип действия логометра.

  25. Классификация средств измерения расхода.

  26. Расходомеры переменного перепада давления, принцип действия, требования по установке.

  27. Ультразвуковые расходомеры, принцип действия, типы, примеры.

  28. Вихреакустические расходомеры.

  29. Тахометрические расходомеры, принцип действия, типы, примеры.

  30. Кориолисовые расходомеры.

  31. Аналоговые вторичные приборы следящего уравновешивания, принцип действия, классификация.

  32. Классификация промышленных исполнительных устройств, достоинства и недостатки односедельных и двухседельных клапанов.

  33. Промышленные электрические и пневматические исполнительные механизмы.

  34. Объекты контроля и автоматизации в бурении геологоразведочных скважин.

  35. Основные типы датчиков буровой контрольно-измерительной аппаратуры и средств автоматики.

  36. Гидравлический индикатор веса ГИВ-6, назначение, состав, техническая характеристика, алгоритм работы.

  37. Телеконтроль в бурении скважин: решаемые задачи, область применения.

  38. Аппаратура МКН-1: назначение, состав, техническая характеристика , алгоритм работы, структурная схема.

  39. Комплексная аппаратура КУРС. Назначение, состав, технические характеристики, комплекты датчиков.

  40. Изображение функциональных схем систем контроля и управления.

  41. Информационно-вычислительные функции АСУ ТП.

  42. Виды обеспечения АСУ ТП.

  43. Алгоритмическое обеспечение АСУ ТП.

  44. Программное обеспечение АСУ ТП. Функции SCADA-пакетов.

  45. Назначение и функции промышленных микропроцессорных контроллеров.

Используются зачетные билеты следующих образцов.

Билет № 1

1. Дайте формулировку критерия устойчивости Найквиста.

2. Приведите классификацию средств измерения расхода.

3. Решите задачу № 1.

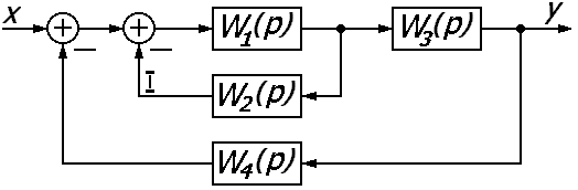
Задача № 1. Определить W(p) передаточную функцию замкнутой САУ по представленной структурной схеме:

При определении результата экзамена учитываются результаты выполненного индивидуального домашнего задания и выполненных лабораторных работ.

Билет № 2

1. Состав системы автоматического управления.

2. Назначение и функции промышленных микропроцессорных контроллеров.

3. Решите задачу.

Задача № 1. Определить W(p) передаточную функцию замкнутой САУ по представленной структурной схеме:

Билет № 3

1. Классификация САУ.

2. Программное обеспечение АСУ ТП. Функции SCADA-пакетов

3. Решите задачу.

Задача № 1. Определить W(p) передаточную функцию замкнутой САУ по представленной структурной схеме:

Билет № 4

1. Виды моделей, используемых для анализа и синтеза САУ.

2. Алгоритмическое обеспечение АСУ ТП.

3. Решите задачу.

Задача № 1. Определить W(p) передаточную функцию замкнутой САУ по представленной структурной схеме:

Билет № 5

1. Передаточные функции типовых соединений звеньев

2. Виды обеспечения АСУ ТП.

3. Решите задачу.

Задача № 1. Определить W(p) передаточную функцию замкнутой САУ по представленной структурной схеме:

Билет № 6

1. Оценка устойчивости по корням характеристического уравнения.

2. Информационно-вычислительные функции АСУ ТП.

3. Решите задачу.

Задача № 1. Определить W(p) передаточную функцию замкнутой САУ по представленной структурной схеме:

Билет № 7

1. Критерий устойчивости Гурвица.

2. Изображение функциональных схем систем контроля и управления.

3. Решите задачу.

Задача № 1. Определить W(p) передаточную функцию замкнутой САУ по представленной структурной схеме:

Билет № 8

1. Критерий устойчивости Михайлова.

2. Комплексная аппаратура КУРС. Назначение, состав, технические характеристики, комплекты датчиков.

3. Решите задачу.

Задача № 1. Определить W(p) передаточную функцию замкнутой САУ по представленной структурной схеме:

Билет № 9

1. Показатели качества САУ и способы их определения

2. Аппаратура МКН-1: назначение, состав, техническая характеристика, алгоритм работы, структурная схема.

3. Решите задачу.

Задача № 1. Определить W(p) передаточную функцию замкнутой САУ по представленной структурной схеме:

Билет № 10

1. Законы регулирования.

2. Телеконтроль в бурении скважин: решаемые задачи, область применения.

3. Решите задачу.

Задача № 1. Определить W(p) передаточную функцию замкнутой САУ по представленной структурной схеме:

Билет № 11

1. Классификация средств измерения давления.

2. Гидравлический индикатор веса ГИВ-6, назначение, состав, техническая характеристика, алгоритм работы.

3. Решите задачу.

Задача № 1. Определить W(p) передаточную функцию замкнутой САУ по представленной структурной схеме:

Билет № 12

1. Типы деформационных чувствительных элементов, используемых для измерения давления.

2. Основные типы датчиков буровой контрольно-измерительной аппаратуры и средств автоматики.

3. Решите задачу.

Задача № 1. Определить W(p) передаточную функцию замкнутой САУ по представленной структурной схеме:

Билет № 13

1. Типы деформационных чувствительных элементов, используемых для измерения давления.

2. Объекты контроля и автоматизации в бурении геологоразведочных скважин..

3. Решите задачу.

Задача № 1. Определить W(p) передаточную функцию замкнутой САУ по представленной структурной схеме:

Билет № 14

1. Типы поплавковых и буйковых уровнемеров.

2. Промышленные электрические и пневматические исполнительные механизмы.

3. Решите задачу.

Задача № 1. Определить W(p) передаточную функцию замкнутой САУ по представленной структурной схеме:

Билет № 15

1. Принцип действия гидростатических уровнемеров.

2. Классификация промышленных исполнительных устройств, достоинства и недостатки односедельных и двухседельных клапанов.

3. Решите задачу.

Задача № 1. Определить W(p) передаточную функцию замкнутой САУ по представленной структурной схеме:

Билет № 16

1. Принцип действия ультразвуковых и радиоволновых уровнемеров, их достоинства и недостатки.

2. Аналоговые вторичные приборы следящего уравновешивания, принцип действия, классификация..

3. Решите задачу.

Задача № 1. Определить W(p) передаточную функцию замкнутой САУ по представленной структурной схеме:

Билет № 17

1. Классификация средств измерения температуры.

2. Кориолисовые расходомеры.

3. Решите задачу.

Задача № 1. Определить W(p) передаточную функцию замкнутой САУ по представленной структурной схеме:

Билет № 18

1. Типы и номинальные статические характеристики термоэлектрических преобразователей (термопар).

2. Тахометрические расходомеры, принцип действия, типы, примеры.

3. Решите задачу.

Задача № 1. Определить W(p) передаточную функцию замкнутой САУ по представленной структурной схеме:

Билет № 19

1. Принцип действия и типы манометрических термометров.

2. Вихреакустические расходомеры.

3. Решите задачу.

Задача № 1. Определить W(p) передаточную функцию замкнутой САУ по представленной структурной схеме:

Билет № 20

1. Основное уравнение термоэлектрического преобразователя. Способы исключения влияния температуры свободных концов на точность измерения.

2. Ультразвуковые расходомеры, принцип действия, типы, примеры.

3. Решите задачу.

Задача № 1. Определить W(p) передаточную функцию замкнутой САУ по представленной структурной схеме:

Билет № 21

1. Типы и номинальные статические характеристики термометров сопротивления (термосопротивлений).

2. Расходомеры переменного перепада давления, принцип действия, требования по установке.

3. Решите задачу.

Задача № 1. Определить W(p) передаточную функцию замкнутой САУ по представленной структурной схеме:

Билет № 22

1. Типы и принцип действия приборов, работающих в комплекте с термопреобразователями сопротивления.

2. Классификация средств измерения расхода.

3. Решите задачу.

Задача № 1. Определить W(p) передаточную функцию замкнутой САУ по представленной структурной схеме:

Билет № 23

1. Автоматические мосты с двухпроводными и трехпроводными схемами подключения.

2. Принцип действия логометра.

3. Решите задачу.

Задача № 1. Определить W(p) передаточную функцию замкнутой САУ по представленной структурной схеме: