Материал: Економічний аналіз

Внимание! Если размещение файла нарушает Ваши авторские права, то обязательно сообщите нам

Економічний аналіз

НАЦІОНАЛЬНИЙ ТЕХНІЧНИЙ УНІВЕРСИТЕТ УКРАЇНИ

«КИЇВСЬКИЙ ПОЛІТЕХНІЧНИЙ ІНСТИТУТ»

КАФЕДРА МЕНЕДЖМЕНТУ









Р ОЗРАХУНКОВО-ГРАФІЧНА РОБОТА

з дисципліни «Економічний аналіз»


Виконала:

студенттка ІІІ курсу, групи УЗ - 21

напряму підготовки 6.030601 «Менеджмент»

Нестеренко Марини Олександрівна

Перевірила:

к.е.н., Савицька Олена Миколаївна


м. Київ - 2015 рік

ЗМІСТ

1. Метод ланцюгових підстановок

. Інтегральний метод

3. Індексний метод

4. Багатофакторний кореляційний аналіз

6. Метод авторегресійної залежності

7. Аналіз валової і товарної продукції

8. Аналіз продуктивності праці

9. Динаміка випуску продукції за асортиментом

10. Аналіз ритмічності

11. Аналіз використання ФЗП

12. Аналіз витрат на виробництво продукції

13. Аналіз собівартості

14. Аналіз витрат на матеріали

15. Оптимальна програма виготовлення продукції

СПИСОК ВИКОРИСТАНОЇ ЛІТЕРАТУРИ

1. Метод ланцюгових підстановок

рентабельність кореляційний валовий

Завдання: За даними таблиці 1.1 методом ланцюгових підстановок визначити чинники, які впливають на зміну загальних витрат в процесі виробництва тротуарної плитки. Результати розрахунку пояснити.

Таблиця 1.1

Вихідні дані для проведення аналізу діяльності підприємства методом ланцюгових підстановок

Показник

План

Факт

Різниця

Ум.позн

Виробництво тротуарної плитки, од.

16 929

16 530

+399

Д

Питомі витрати забарвника на одну одиницю плитки, кг\од

0,138

0,148

-0,01

h

Ціна 1 кг забарвника, грн

17,078

18,618

1,54

Ц

Загальні витрати, грн

39897,66

45547,82

-5650,16

-


Джерело: [1, ст. 200 - 201]

Розв’язання:

Таблиця 1.2

Схема розрахунку впливу чинника на узагальнюючий показник

№ підстановки

Чинник впливу

Добуток

Вплив чинника на УП


Д

H

Ц



П

П

П

Д0

-

Іа

Ф

П

П

Д1

Д1-Д0

ІІа

Ф

Ф

П

Д2

Д2-Д1

ІІІа

Ф

Ф

Ф

Д3

Д3-Д2

Баланс факторів


Джерело: [2]

Таблиця 1.3

Розрахунок випливу чинників на УП

№ підстановки

Чинник впливу

Добуток

Вплив чинника на УП


Д

H

Ц



16 929

0,138

17,078

39 897,66

-

Іа

16 530

0,148

17,078

38 957,31

940,35

ІІа

16 530

0,148

17,078

4 178,3

34 779,01

ІІІа

16 530

0,148

18,618

45 547,82

-41 369,52

Баланс факторів

-5650,16


Джерело: [розраховано автором на основі даних табл.1.1]

Висновок

Отже, використовуючи метод ланцюгових підстановок, було визначено, що загальні витрати  на виробництво зменшилися на 5 650,16 грн. На зменшення вплинули такі фактори: збільшення загального обсягу виробництва тротуарної плитки на 399 од., що спричинило збільшення загальних витрат на 940,35 грн; зменшення питомих витрат на 0,01 кг/од., яке призвело до збільшення загальних витрат на 34 779,01 грн.; зменшення ціни забарвника на 1,54 грн. посприяло зменшенню загальних витрат на 41 369,52 грн.

2. Інтегральний метод

Завдання: за вихідними даними таблиці 2 визначити інтегральним методом, які чинники впливають на зміну рентабельності підприємства. Результати розрахунку пояснити.

Таблиця 2

Вихідні дані для проведення аналізу діяльності підприємства інтегральним методом

Показники

Умовні позначення

План

Факт

Прибуток, тис. грн.

Х

6082,18

6366,66

+284,48

Середньорічна вартість основних фондів (ОФ), тис. грн.

Y

1799,87

2054,42

+254,55

Середньорічна вартість нормованих обігових засобів (ОБЗ), тис. грн.

Z

1121,94

1164,23

+42,29

Рентабельність (R)

%

208,16

197,8

-10,36


Джерело: [1, ст.202 - 203]

Розв’язання:

1. Визначимо рентабельність підприємства за формулою:


−       планова рентабельність підприємства:

−       фактична рентабельність підприємства:

2. Розрахуємо загальне відхилення фактичної рентабельності від планової:

 (зменшиться приблизно на 10,4 % )

. Розрахуємо відхилення від планового рівня рентабельності:

−       за рахунок прибутку:

−      


(збільшиться на 9,2%);

−       за рахунок зміни вартості основних фондів:


(зменшиться на 16,8%);


(зменшиться на 2,8 %).

4. Складемо баланс впливу чинників:

Висновок

Отже, за допомогою інтегрального методу економічного аналізу, ми визначили, що загалом рівень рентабельності знизився на 10,4%. У зв’язку з тим, що чистий прибуток зріс на 284,48 тис. грн, рівень рентабельності збільшився приблизно на 9,2%. Унаслідок зростання середньорічної вартості основних фондів на 254,55% тис. грн і середньорічної вартості нормованих обігових засобів на 49,29 тис. грн рівень рентабельності понизився на 16,8% і на 2,8% відповідно.

3. Індексний метод

Завдання: за допомогою індексного методу визначити вплив часткових чинників (кількість працівників та продуктивність праці) на обсяг виробленої продукції. Результати розрахунку пояснити.

Таблиця 3

 Вихідні дані для проведення аналізу діяльності підприємства індексним методом

Показники

Умовні позначення

План

Факт

Відхилення

Обсяг виробленої продукції, тис. грн.

D

19247,55

19759,44

+511,89

Кількість працівників, осіб

Q

222

226

+4

Продуктивність праці, тис. грн./ос.

P

86700,675

87431,15

+730,475


Джерело: [1, ст.204 -205]

Розв’язання:

1. Розрахуємо загальний індекс зміни узагальнюючого показника:

 

2. Визначимо вплив окремих чинників на величину зміни обсягів виробництва:

−       збільшення чисельності працівників:

 

−       вплив продуктивності праці:


. Складемо баланс впливу чинників:

Висновок

Отже, за допомогою індексного методу, ми визначили вплив часткових чинників (кількість працівників та продуктивність) на обсяг виробленої продукції.

Збільшення продуктивності праці (0,73 тис.грн) не посприяло інтенсивному зростанню виробництва, а зумовило лише додаткових 165,087 тис. грн. Збільшення кількості працівників на 22 особи мало більший вплив на обсяг виробленої продукції і забезпечило збільшення обсягу виробництва на 1907,405 тис. грн.

Тобто виробництво має екстенсивний характер.

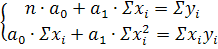
4. Багатофакторний кореляційний аналіз

Завдання: за даними таблиці 4.1 розрахуйте залежність (лінійну, нелінійну) між показниками, параметри залежності, рівняння залежності. Результати розрахунку пояснити.

Таблиця 4.1

Вихідні дані для проведення аналізу діяльності підприємства кореляційним аналізом

Показник, тис.од

Результати спостережень


1

2

3

4

5

6

Запуск, xi

106,92

130,68

77,22

101,31

76,42

69,90

562,48

Випуск,yi

93,22

113,26

62,87

114,84

86,13

80,39

550,71


Джерело: [1, ст..206 - 27]

Розвязання:

1. Знайдемо середні значення  та :


. Розрахуємо величину коефіцієнта кореляції для визначення щільності зв’язку між y та x. Для зручності попередньо проведемо розрахунки та результати занесемо до таблиці 4.2.

Таблиця 4.2

Розрахунки для визначення коефіцієнта кореляції






1

13,17

1,44

18,90

173,53

2,06

2

36,93

21,48

793,14

1364,05

461,18

3

-16,53

-28,92

477,88

273,14

836,08

4

7,56

23,06

174,36

57,20

531,53

5

-17,33

-5,66

97,98

300,22

31,98

6

-23,85

-11,40

271,74

568,68

129,85

??

-

-

1834

2736,82

1992,67



Джерело: [розраховано автором на основі даних табл.4.1]

Коефіцієнт кореляції визначатимемо за формулою:


Отже, маємо:  , так як , це свідчить про наявність лінійної залежності між показниками, яка має вигляд .

Для зручності побудови системи рівнянь та визначення параметрів і рівняння залежності, табличним способом додатково розрахуємо суми окремих значень та занесемо результати до таблиці 4.3.

Таблиця 4.3

Розрахунки для побудови системи рівнянь

1

106,92

93,22

11431,89

9967,082

2

130,68

113,26

17077,26

14800,82

3

77,22

62,87

5962,928

4854,821

4

101,31

114,84

10263,72

11634,44

5

76,42

86,13

5840,016

6582,055

6

69,9

80,39

4886,01

5619,261

562,45

550,71

55461,82

53458,48



Джерело: [розраховано автором на основі даних табл.4.1]

Визначимо параметри обраної системи залежності (, побудувавши систему рівнянь, що має вигляд:


Виразивши з першого рівняння  та підставивши його в друге рівняння знайдемо параметр  , тоді відповідно  Отже, рівняння регресії має вигляд: . Зробимо перевірку:

.


Висновок

Отже, за допомогою методу кореляції, ми визначили лінійну взаємозалежність між економічними показниками  та , про що говорить значення коефіцієнта кореляції . Високий коефіцієнт кореляції свідчить про щільність взаємозв’язку між показниками. Параметрами цієї залежності є  та . Рівняння залежності має вигляд: .

 

6. Метод авторегресійної залежності


Завдання: побудувати рівняння регресії для прогнозування обсягу реалізації товарної продукції на основі даних про динаміку цього показника на підприємстві. Результати розрахунку пояснити (табл.6.1).

Таблиця 6.1

Дані про динаміку обсягу реалізації за періодами

Період

1

2

3

4

5

6

7

Обсяг реалізації, млн.грн

2,933

2,784

3,623

4,176

3,968

4,524

4,830


Джерело: [1, ст. 212 - 213]

Розвязання:

Для розрахунку необхідних даних, використаємо табличний спосіб та проведемо додаткові розрахунки, результати занесемо до табл..6.2:

Таблиця 6.2

Додаткові розрахунки для визначення параметрів рівняння авто регресійної залежності









1

2,933

1

2,784

8,602

1

2,933

2,784

8,165

2

2,784

2

3,623

7,751

4

5,568

7,246

10,086

3

3,623

3

4,176

13,126

9

10,869

12,528

15,130

4

4,176

4

3,968

17,439

16

16,704

15,872

16,570

5

3,968

5

4,524

15,745

25

19,840

22,620

17,951

6

4,524

6

4,830

20,467

36

27,144

28,980

21,851

??

22,008

21

23,905

83,130

91

83,058

90,03

89,754


Джерело: [розраховано автором на основі даних табл.6.1]

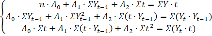
Підставляємо отримані сумарні значення в систему рівнянь авторегресійної залежності при кількості даних, які досліджуються n=6.

Система рівнянь авторегресійної залежності має вигляд:

Далі розрахуємо параметри ,  та  в системі авто кореляційної залежності за допомогою методі Крамера:

∆ = ((6 · 83,13 · 91) + 2 · (22,008 · 83,058 · 21)) - ((212 · 83,13) + (22,0082 · 91) + (83,0582 · 6)) = 34,323

За таким же принципом розрахуємо наступні визначники матриць:

Знаходимо параметри системи:

Рівняння авторегресійної залежності має вигляд:


Підставимо параметри в рівняння:

Визначимо прогнозовані значення для показників t = 8, t =9, t =10 та t =11:

Побудуємо графік зміни показника в часі:

Рис. 6.1. Динаміка зміни показника в часі

Висновок

Отже, використовуючи метод авторегресійної залежності, ми визначили рівняння, яке має вигляд  (параметри якого ). За допомогою даного рівняннями знайшли прогнозні значення обсягу реалізації товарної продукції для 8-го, 9-го, 10-го та 11-го періодів, які відповідно становлять: 5,272 млн.грн, 5,599 млн.грн, 5,968 млн.грн та 6,322 млн.грн. Як можемо бачити на рис. 6.1. динаміка показника зростає.

7. Аналіз валової і товарної продукції


Завдання: на основі даних таблиці 7.1 оцінити динаміку зміни показників валової й товарної продукції на підприємстві за попередній, плановий та звітний періоди, використовуючи ряди динаміки. Результати розрахунку пояснити.

Таблиця 7.1

Вихідні дані для визначення динаміки зміни обсягу валової та товарної продукції підприємства

Показник

Попередній період

Звітний період



План

Факт

Валова продукція у зіставних цінах підприємства, тис. грн.

115,65

133,43

137,08

Товарна продукція за оптовими цінами підприємства, прийнятих у плані, тис. грн.

114,90

132,56

135,94


Джерело: [1, ст..214 - 215]

Динаміка явищ представляє собою зміни тих чи інших економічних показників за певний період часу.

Розв’язання:

Таблиця 7.2

Динаміка зміни обсягу валової та товарної продукції підприємства


Проведення аналітичного дослідження за ланцюговою ознакою

Проведення аналітичного дослідження за базисною ознакою

1

2

3

4

5

∆x(абсолютне відхилення)

План

Фактично

План

Фактично

Обсяг валової продукції, тис грн.

17,78

3,65

17,78

21,43

Обсяг товарної продукції, тис. грн.

17,66

3,38

17,66

21,04

K(коефіцієнт співвідношення)





Обсяг валової продукції

1,15

1,03

1,15

1,18

Обсяг товарної продукції

1,15

1,03

1,15

1,18

T(темп зростання)





Обсяг валової продукції, %

115

103

115

118

Обсяг товарної продукції, %

115

103

115

118

 

T′(темп приросту)

План

Фактично

План

Фактично

Обсяг валової продукції, %

15

3

15

18

Обсяг товарної продукції, %

15

3

15

18

 (середній абсолютний приріст ряду динаміки)





Обсяг валової продукції, тис грн.

17,78

1,82

17,78

10,72

Обсяг товарної продукції, тис. грн.

17,66

1,69

17,66

10,52

(середньорічний темп зростання)





Обсяг валової продукції, тис грн.

1,15

1,03

1,15

1,07

Обсяг товарної продукції, тис. грн.

1,15

1,03

1,15

1,08

Q(абсолютне значення 1%-го приросту)





Обсяг валової продукції, тис грн.

1,185

1,22

1,185

1,19

Обсяг товарної продукції, тис. грн.

1,18

1,13

1,18

1,17


Джерело: розраховано автором на основі табл..7.1 [2]

Відобразимо зміни динаміки обсягів валової та товарної продукції на графіку:

Рис. 7.1. Динаміка зміни показників валової та товарної продукції

Рис.7.2. Динаміка зміни темпу приросту валової та товарної продукції

Висновок

Використовуючи метод вивчення динаміки явищ було досліджено динаміку зміни показників валової та товарної продукції на підприємстві за попередній, плановий та звітний періоди.

Встановлено, що розмір абсолютного приросту валової продукції за ланцюговою ознакою склав 17,78 та 3,65 тис. грн., за базисною - 17,78 та 21,43 тис. грн. Розмір абсолютного приросту товарної продукції за ланцюговою ознакою визначено на рівні 17,66 та 3,38 тис. грн., за базисною ознакою 17,66 та 21,04 тис. грн. Темп зростання валової та товарної продукції за ланцюговою ознакою складає 115% і 103%, за базисною - 115% і 118%. Маємо однакові показники. Відповідно темп приросту валової та товарної продукції є однаковими та становлять 15% та 3% за базисною ознакою, та 15% і 18% за ланцюговою ознакою.

Абсолютне значення 1% приросту валової продукції у плановому періоді в порівнянні з попереднім складає 1,185 тис. грн., фактичному періоді в порівнянні з плановим - 1,22 тис. грн. за ланцюговою ознакою; за базисною ознакою - 1,185 та 1,19 тис. грн. відповідно.

Абсолютне значення 1% приросту товарної продукції за ланцюговою ознакою становить 1,18 тис. грн. та 1,13 тис. грн., за базисною ознакою - 1,18 та 1,13 тис. грн. відповідно.

8. Аналіз продуктивності праці

Завдання: за даними таблиці 8 розрахувати як змінилася продуктивність праці у звітному періоді, порівняно з плановим.

Таблиця 8

Вихідні дані для аналізу зміни продуктивності праці

Показник

План

Факт

Відхилення()

Умовне позначення

Валова продукція, грн

133,43

137,08

+3,65

x

Середньооблікова чисельність робітників, осіб

113

113

0

y

Продуктивність праці, тис.грн

118,08

121,3

+3,22

P


Джерело: [1, ст..216 - 217]

Розвязання:

Так як продуктивність праці на підприємстві це виробіток продукції на одного працюючого, то скористаємося формулою:


−       ВП - обсяг валової продукції;

−       - середньооблікова чисельність робітників.

Отже, маємо кратний тип економічної залежності, тому для визначення впливу чинників на продуктивність праці скористаємося інтегральним методом:

 

Так як середньооблікова чисельність працівників не змінюється (), то відповідно вона не вплине на зміну продуктивності праці. Проаналізуємо вплив тільки зміни валової продукції:

Висновок:

Отже, за допомогою інтегрального методу ми визначили, що продуктивність праці зросла на 3% у зв’язку з тим, що валова продукція збільшилася на 3,65 тис. грн, а середньомісячна чисельність робітників не змінилася.

9. Динаміка випуску продукції за асортиментом


Завдання: проаналізувати за даними таблиці 9 як змінився випуск товарної продукції за асортиментом. Результати розрахунку пояснити.

Таблиця 9

Вихідні дані для аналізу випуск товарної продукції за асортиментом

Продукція

Трудомісткість, норма годин

Випуск продукції, од.

Заг. випуск продукції, норма години

Т´, %

Зараховано у вик. плану, тис.грн

Зараховано більше,од


План

Факт

План

Факт

План

Факт





А

371,67

370,64

281,00

316,00

104439,27

117122,24

12682,97

112,14

104439,27

281

Б

59,47

59,47

702,00

747,00

41747,94

44424,09

2676,15

106,41

41747,94

702

В

25,63

25,61

1220,00

1201,00

31268,60

30757,61

-510,99

98,37

30757,61

1201

Г

4,19

4,18

2523,00

2442,00

10571,37

10207,56

96,56

10207,56

2442

??

-

-

4726,00

4706,00

188027,18

202511,50

14484,32

107,7

187152,4

4626


Джерело: розраховано автором на основі даних табл. 9 [1, ст. 218 - 219]

Розвязання:

Розрахуємо показник виконання плану з асортименту за трьома способами:

.        Коефіцієнт найменшого числа:

2.      Як загальний показник візьмемо найменше значення серед усіх виробів % виконання плану:

3.      За кількістю виробів повним виконанням плану (коефіцієнт номенклатури):

Висновок

Отже, за результатами аналізу асортименту та структури випуску продукції, ми визначили, що план було перевиконано на 7,7%, про що свідчить порівняння даних фактичного періоду з плановим. За даними додаткових розрахунків коефіцієнта найменшого числа план недовиконано на 2,2% (100 - 97,8), за методом розрахунку коефіцієнта найменшого відсотка виконання плану, останній було недовиконано на 3,5% (100 - 96,5), за методом розрахунку коефіцієнта номенклатури план недовиконано на 50%.

 

10. Аналіз ритмічності


Завдання: охарактеризувати ритмічність виробництва продукції за даними в таблиці 10.1. Результати розрахунку пояснити.

Таблиця 10

Аналіз ритмічності продукції

Дні

Добове завдання, шт.

Фактичний випуск, шт.

Зараховано у план





12

98

87

87

13

98

87

87

14

98

102

98

15

98

104

98

16

98

110

98

19

104

131

104

20

108

132

108

Разом

702

579

680


Джерело: розроблено автором на основі табл.10 [1, ст.220-221]

Розв’язання:

Розрахуємо коефіцієнт ритмічності продукції:

Висновок

Отже, за допомогою методу найменшого числа ми визначили коефіцієнт ритмічності продукції, який дорівнює 0,96, що свідчить про аритмічність виробництва. Це призводить до неповного завантаження виробничих потужностей і робочої сили на початку періоду і застосування надурочних робіт у кінці періоду. Збільшується частка бракованої продукції. Неритмічна робота в кінці періоду призводить до різкого зменшення залишків незавершеного виробництва порівняно з нормативом і нагромадження наднормативних залишків готової продукції на складі.

11. Аналіз використання ФЗП

Завдання: проаналізувати використання робочого часу підприємства за даними таблиці 11.1. Результати розрахунку пояснити.

Таблиця 11.1

Вихідні дані для аналізу використання робочого часу підприємства, год

Показник

Планове значення

Фактичне значення

Хвороби та відпустки у зв’язку з вагітністю

16,7

23,14

Використання громадських і державних обов’язків

3,24

4,96

Пільгові дні та додаткові відпустки тим, хто навчається

11,33

8,27

Відпустки без збереження утримання з дозволу адміністрації

0

4,96

Прогули

0

1,65


Джерело: [1, ст. 222 - 223]

Розв’язання:

Таблиця 11.2

Аналіз використання робочого часу

Показник

Плановий період

Фактичний період


Абсолютне значення, год.

%  до номінального ФРЧ

Абсолютне значення, год.

% до номінального ФРЧ

Календарний ФРЧ

248

-

248

-

Святкові та вихідні дні

72

-

72

-

Номінальний ФРЧ

176

100

176

100

Невиходи на роботу, з них:

30,74

17,46

42,98

24,41

хвороби та відпустки у зв’язку з вагітністю

16,7

9,19

23,14

13,14

використання громадських і державних обов’язків

3,24

1,84

4,96

2,82

пільгові дні та додаткові відпустки тим, хто навчається

11,33

6,43

8,27

4,7

відпустки без збереження утримання з дозволу адміністрації

0

0

4,96

2,82

прогули

0

0

1,65

0,93

Ефективний ФРЧ

145,26

82,54

133,02

75,59


Джерело: [розроблено автором на основі табл.11.1]

Різниця між плановим та фактичним значенням ФРЧ становить:

Висновок

Отже, в процесі аналізу використання робочого часу на підприємстві з урахуванням календарного фонду 248 год., вихідних та святкових - 72 год., номінальний фонд робочого часу становить 176 год., але за результатами аналізу визначено, що на підприємстві недостатньо ефективно використовується робочий час. У фактичному періоді, порівняно з плановим, фонд робочого часу знизився на 12,24 год., або це становить -6,95% від номінального робочого часу.

Таке зменшення відбувається за рахунок того, що ми спостерігаємо зростання невиходів на роботу, у звітному періоді, порівняно з плановим на 12,24 год, або 6,95% до номінального, а саме:

−       зростання невиходів на роботу через хвороби та відпустки у зв’язку з вагітністю у звітному періоді, порівняно з плановим на 6,97 год. або +3,96% до номінального робочого часу;

−       зростання невиходів на роботу через використання громадських і державних обов’язків на 1,72 год., або +0,98% до номінального робочого часу;

−       зростання невиходів на роботу через відпустки з дозволу адміністрації у звітному періоді, порівняно з плановим на 4,96 год., або +2,82% до номінального робочого часу;

−       зростання невиходів на роботу через збільшення прогулів на 1,65 год. або 0,93% до номінального робочого часу;

Для того, щоб збільшити ефективність використання робочого часу треба дотримуватись таких рекомендацій: запровадження штрафних санкцій або ж збільшення мотиваційної складової в управлінні персоналом (бонуси, премії), зменшення кількості працівників, що працюють, або ж створення умов для індивідуального відпрацювання годин та ефективне використання пропускного часу.

12. Аналіз витрат на виробництво продукції

 

Завдання : охарактеризувати загальну собівартість на виробництво продукції А, Б, В, Г за даними таблиці 12 та 9 (кількість випуску товарної продукції за фактичним результатом, од.). Результати розрахунку пояснити.

Розв’язання:

Таблиця 12

Аналіз загальної собівартості на виробництво продукції

Види продукції

Ціна

V продукції

Соб. 1 т.пр.,грн

Загальна собівартість,грн

Абс. відхил. від плану

Т' (%)



План

Факт

Планова

Фактична

Планова

Фактична



А

1500

281

316

2199,38

2205,45

618025,78

696922,2

78896,42

12,76

Б

700

702

747

1086,75

1090,11

762898,5

814312,17

51413,67

6,73

В

500

1220

1201

819,38

830,85

999643,6

997850,85

-1792,75

-0,17

Г

250

2523

2442

409,69

414,12

1033647,87

1011281,04

-22366,83

-2,16

Всього

-

4726

4706

-

-

3414215,75

3520366,26

106150,51

17,16


Джерело: розроблено автором на основі табл..12 [1, ст.226 - 227]

. Загальну собівартість знаходимо за формулою:


2. Відхилення від планової собівартості ми знаходимо за формулою:

Висновок

Аналіз даних таблиці 12 показує, що собівартість виробів цеху підвищена понад план на 106150,51 грн., або 17,16 %. Підвищення собівартості досягнуто по виробам А і Б. Собівартість по виробу А збільшилась на 78896,42 грн. ( або на 12,76%) та по виробу Б на 51413, 67 грн. (або на 6,73 %), а зменшилась по виробу В на 101550,75 грн. (або на 15,87 %), по виробу Г на 90085,5 грн. (або 19,83 %). По виробам А і Б допущено перевищення собівартості, а отже підприємство не використовувало резерви зниження собівартості цих виробів.

13. Аналіз собівартості


 Завдання: за даними таблиці 13 визначити відхилення фактичної собівартості від планової за кожною статтею витрат, кожним елементом витрат і з’ясувати причини відхилення. Результати розрахунку пояснити.

Розв’язання:

Таблиця 13

Аналіз відхилення фактичної собівартості від планової продукції В і Г

Статті витрат

виріб В

абс. відхилення

виріб Г

абс. відхилення


план

факт


план

факт


комплектуючі вироби та напівфабрикамти

1650838,8

1667353,26

+16514,46

1986061,5

2006300,00

+20238,50

допоміжні матеріали

293281,05

294594,18

+1313,13

229664,85

229794,84

+129,99

електроенергія

10393,13

8966,22

-1426,91

229664,85

2256,78

-227408,07

заробітня плата виробничих робітників

148437,98

156547,8

+8109,82

2661,68

40608,12

+37946,44

відрахування на соціальне страхування

7422,68

7830,0

+407,32

38048,33

2032,32

-36016,01

відшкодування зношуваності обладнання

1204,05

922,20

-281,85

3606,98

224,46

-3382,52

втрати від браку

0

6272,7

+6272,70

255,3

3445,20

+3189,90

витрати на утриманння та експлуатацію обладнання

118742,10

119715,48

+973,38

0

30966,78

+30966,78

цехові витрати

29688,98

29630,46

-58,52

30437,63

7584,66

-22852,97

ВСЬОГО

2260008,77

2291832,3

+31823,53

7610,7

2323213,16

-197187,96


Висновок

При проведенні аналізу собівартості продукції по калькуляційним статтям витрат спостерігаємо перевитрати при виготовленні товарної продукції В в загальному на 31 823,53 грн та зменшення собівартості продукції Г в загальному на 197187,96 грн.

Для виявлення причин перевищення собівартості по виробу В проаналізуємо відхилення по калькуляційним статтям витрат в таблиці 13, з якої видно, що перевищення собівартості виробу В сталося через перевитрати на заробітну платню виробничим робітникам (8109,82 грн.), перевищення витрат на комплектуючі вироби та напівфабрикати на 16 514,46 грн по товару, також є чимало втрат через брак виробництва, а саме 6272,70 грн., відбулися перевитрати на соціальне страхування на 407,32 грн., на утримання та експлуатацію обладнання на 973,38 грн, а також на допоміжні матеріали 1313,13 грн.

На зниження собівартості виробу Г вплинуло: значне зниження витрат на електроенергію (227408,07 грн), зниження витрат на відрахування на соціальні страхування (36016,01 грн), на відшкодування зношуваності обладнання (3382,52 грн) та зниження цехових витрат (22,852,97 грн).

Для виявлення факторів, що обумовлюють перевитрати по зазначених статях собівартості при випуску товару В необхідно більш детально проаналізувати матеріальні витрати, витрати на заробітну плату, а також витрати на обслуговування персоналу. Необхідно проаналізувати причину виникнення браку та усунути її.

14. Аналіз витрат на матеріали


Завдання: за даними таблиці 14 визначити суму витрат на матеріали для виготовлення товарної продукції «В» за плановими нормами та плановими цінами, фактичними нормами та фактичними цінами. Обчисліть відхилення від плану, а також за рахунок яких факторів відбулися зміни витрат на матеріали під час виготовлення товару «В».

Таблиця 14.1

Вихідні дані для аналізу матеріальних витрат виробництва продукції «В» за плановими та фактичними нормами витрат на одиницю товарної продукції

 Комплектуючі вироби і напівфабри­кати

Норма витрат на одиницю

Ціна за одиницю товарної продукції, грн


За планом

Фактично

За планом

Фактично






1

2

3

4

5

Комплектуючі вироби, шт №1

2

1

603,75

609,00

№ 2

3

3

146,70

144,42

2

1

17,25

19,14

№ 4

5

6

12,08

15,66

№ 5

8

9

6,90

5,22

№ 6

15

16

5,18

3,48

№ 7

30

0

1,73

1,74

Кольоровий прокат, кг

75

74

1,67

1,57

Труби, м

81

81

2,51

2,61

Всього

-

-

-

-


Джерело:[1, ст.246 - 253]

Розв’язання:

Таблиця 14.2

Аналіз витрат на матеріали для виготовлення товарної продукції «В»

 Комплектуючі вироби і напівфабри­кати

Норма витрат на одиницю

Ціна за одиницю товарної продукції, грн

Загальна сума витрат на матеріали, грн

Абсолютне відхилення загальна суми витрат

В тому числі за рахунок зміни


За планом

Фактично

За планом

Фактично

По плановим нормам і цінам

По фактичним нормам і плановим цінам

По фактичним нормам і фактичним цінам


Норм витрат

Цін












1

2

3

4

5

6

7

8

9

10

11

Комплектуючі вироби, шт №1

2

1

603,75

609,00

1249763

624881,25

630315

-619447,5

-619447,5

5433,75

№ 2

3

3

146,70

144,42

455503,5

455503,5

448424

-7079,4

-7079,4

-7079,4

№ 3

2

1

17,25

19,14

35707,5

17853,75

19809,9

-15897,6

-15897,6

1956,15

№ 4

5

6

12,08

15,66

62514

75016,8

97248,6

34734,6

34734,6

22231,8

№ 5

8

9

6,90

5,22

57132

64273,5

48624,3

-8507,7

-8507,7

-15649

№ 6

15

16

5,18

3,48

80419,5

85780,8

57628,8

-22790,7

-22790,7

-28152

№ 7

30

0

1,73

1,74

53716,5

0

0

-53716,5

-53716,5

0

Кольоровий прокат, кг

75

74

1,67

1,57

129633,8

127905,3

120246

-9387,45

-9387,45

-7659

Труби, м

81

81

2,51

2,61

210425,9

210425,85

218809

8383,5

8383,5

8383,5

Всього

-

-

-

-

2334815

1661647,8

1641105,6

-693708,8

-693708,8

-20534

Джерело: [розроблено автором на основі даних табл..14]

Витрати на комплектуючі розраховуємо як добуток норми витрат на ціну одиниці товарної продукції та на обсяг витрат товарної продукції. Обсяг витрат товарної продукції будемо вважати сталим для всіх значень 1035 грн.

Абсолютне відхилення загальної суми витрат розрахуємо як різницю між загальною сумою витрат по фактичним нормам і ціні та загальною сумою по плановим нормам і ціні.

Відхилення загальної суми витрат за рахунок зміни норми витрат визначимо як різницю між загальною сумою витрат по фактичним нормам і плановим цінам та загальною сумою витрат по плановим нормам та цінам.

Відхилення загальної суми витрат за рахунок зміни ціни буде дорівнювати різниці між загальною сумою витрат по фактичним нормам і цінам та загальною сумою витрат по фактичним нормам та плановим цінам.

Висновок

За даними табл. 14.1 спостерігаємо загальне зменшення суми матеріальних витрат на 693708,8 грн за рахунок зменшення норм витрат на 693708,8 грн та за рахунок зменшення ціни на 20534 грн.

15. Оптимальна програма виготовлення продукції

Завдання: за даними таблиці 15 визначте оптимальну програму виготовлення продукції, охарактеризуйте технологічний процес.

Таблиця 15

Вихідні дані для аналізу технологічних процесів

Витрати

Показник діяльності за умов звичайного лиття

Змінні витрати на одиницю продукції, грн.

2,804

Постійні витрати, грн.

4524,0

Витрати

Показник діяльності за умови вібролиття

Змінні витрати на одиницю продукції, грн.

2,201

Постійні витрати, грн.

5940,0

 

Розв’язання:

1. N=2300 шт; N=4681 шт.

. Оптимальна програма виробництва:


3. Проведемо характеристику технологічного процесу:

Висновок

Отже, оптимальна виробнича програма становить 2348 год. Оскільки одна партія була менша за обсягом, то при замовленні 2300 шт. доцільно буде використовувати технологію звичайного лиття, бо його собівартість нижча за вібролиття на 0,26 грн./шт. Якщо взяти партію у 4681 шт., то доцільно використовувати вібролиття, тому що його собівартість буде менша на 0,3 грн./шт..

 

СПИСОК ВИКОРИСТАНОЇ ЛІТЕРАТУРИ


1. Економічний аналіз: Практикум / В.А. Кармазін, О. М. Савицька. - К.: Знання, 2007. - 255 с.

2.      Конспект лекцій з економічного аналізу /О.М. Савицька .