В начале испытаний и по их окончании записываются параметры окружающей среды (барометрическое давление, температура и относительная влажность воздуха
6 Обработка результатов испытаний
Все результаты испытаний сводятся в таблицу. Формулы по определению эффективной мощности и среднего эффективного давления имеют вид:
Среднее эффективное давление также определялось по моменту на гидротормозе:
Часовой Gч и удельный gе расходы топлива определялись по формулам:
где G – расход топлива в среднем за опыт, кг;
τ – время опыта, с.
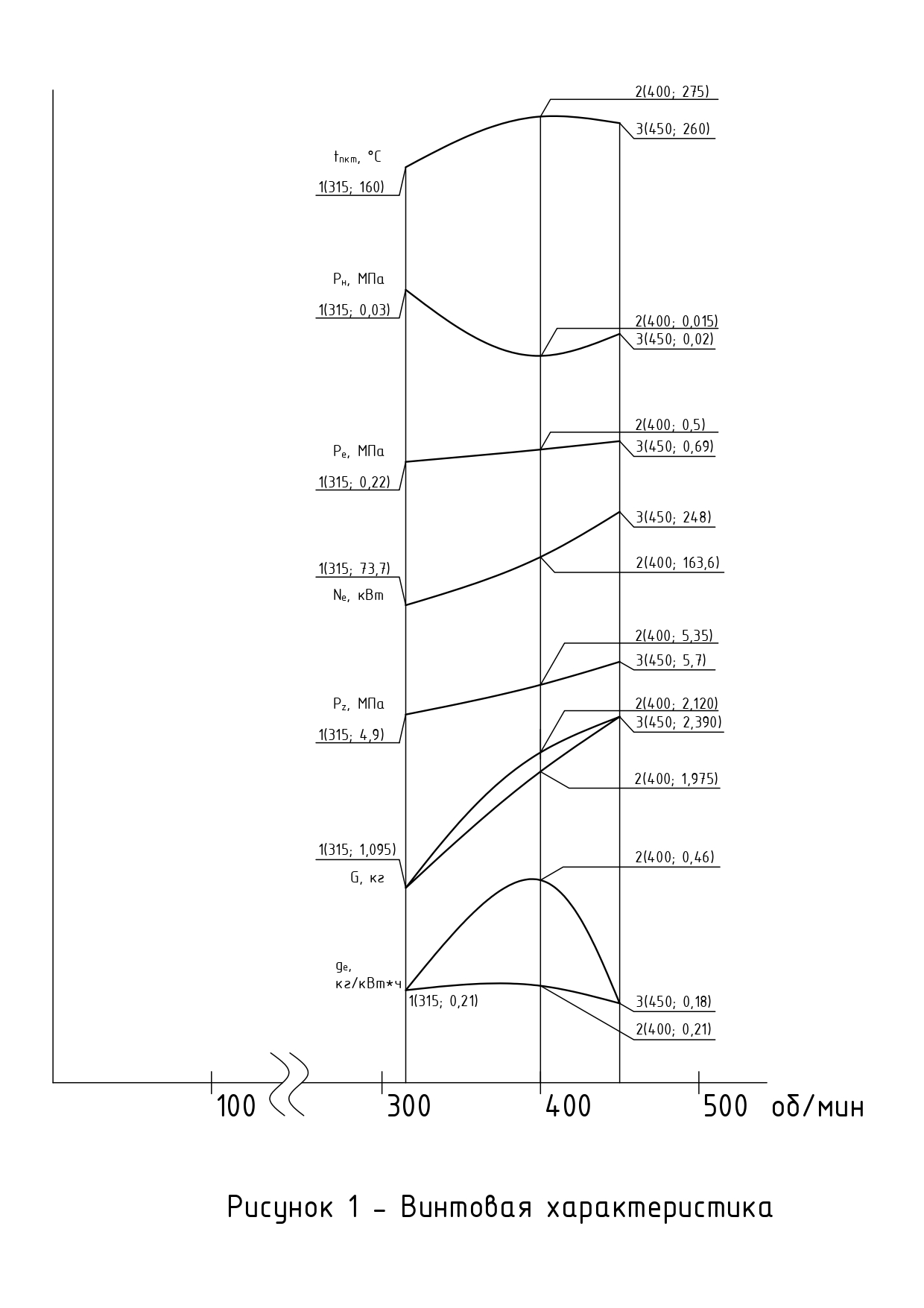
По результаты испытаний строится винтовая характеристика, Строятся графики зависимостей часового и удельного расходов топлива Gt и ge максимального давления сгорания топлива Pz среднего эффективного давления Pe давления наддувочного воздуха Рн противодавления выпуску Рп и температуры выпускных газов после выпускного клапана t.вr и перед трубокомпрессором tПТK от частоты вращения п
По результатам испытаний построена винтовая характеристика, которая изображена на рисунке 1.
Таблица 1 - Результаты испытаний
№ п/п |
Наименование параметра |
Обозна-чение |
Размерность |
Величина по инструкции |
Нагрузка двигателя по мощности, % |
|||
63 |
80 |
80 |
90 |
|||||
Параметры работы двигателя |
||||||||
1 |
Число оборотов |
N |
об/мин |
500 |
315 |
400 |
400 |
450 |
2 |
Тормозной момент |
M |
Н*м |
6317 |
2240 |
4900 |
3973 |
5282 |
3 |
Мощность двигателя |
Ne |
кВт |
330 |
73,7 |
161,2 |
166 |
248 |
4 |
Расход топлива за время опыта |
G |
кг |
- |
1,095 |
2,120 |
1,975 |
2,390 |
5 |
Время замера расхода топлива |
T |
сек |
- |
255 |
249 |
191 |
190 |
6 |
Удельный расход топлива |
ge |
кг/кВт/ч |
0,218 |
0,21 |
0,46 |
0,22 |
0,18 |
7 |
Противодавление выпуску |
Pa |
Па |
Не более 3000 |
314 |
882 |
7999 |
5339 |
8 |
Часовой расход топлива |
Gч |
кг/ч |
|
15,45 |
30,65 |
37 |
45 |
9 |
Температура выпускных газов |
tвг |
⁰С |
450 |
- |
- |
- |
- |
10 |
Цилиндр №1 |
tu |
⁰С |
Разность по цилиндрам <30 |
100 |
220 |
260 |
210 |
11 |
Цилиндр №2 |
80 |
250 |
40 |
100 |
|||
12 |
Цилиндр №3 |
140 |
290 |
290 |
290 |
|||
13 |
Цилиндр №4 |
80 |
240 |
140 |
90 |
|||
14 |
Цилиндр №5 |
100 |
280 |
280 |
180 |
|||
15 |
Цилиндр №6 |
140 |
260 |
50 |
40 |
|||
16 |
Температура газов перед турбокомпрессором |
tптк |
⁰С |
600 |
160 |
270 |
280 |
260 |
17 |
Температура масла после двигателя |
tm |
⁰С |
75 |
25 |
30 |
30 |
25 |
18 |
Давление масла до фильтра двигателя |
Pм |
МПа |
0,2…0,4 |
0,43 |
0,425 |
0,41 |
0,4 |
19 |
Температура воды после двигателя |
tв |
⁰С |
85 |
40 |
60 |
63 |
45 |
20 |
Давление воды до двигателя |
Pв |
МПа |
0,05…0,115 |
0,065 |
0,085 |
0,085 |
0,1 |
21 |
Давление наддува |
Pн |
МПа |
0,145 |
0,03 |
0,015 |
0,015 |
0,02 |
|
22 |
Максимальное давление сгорания в цилиндре |
Pz |
МПа |
7,0 |
4,9 |
5,1 |
5,6 |
5,7 |
|
23 |
Давление сжатия среднее |
Pc |
МПа |
0,3 |
2,2 |
3 |
3,1 |
3,1 |
|
24 |
Эффективное давление сгорания в цилиндре |
Pe |
МПа |
0,81 |
0,22 |
0,48 |
0,52 |
0,69 |
|
Окружающая среда |
|||||||||
25 |
Барометрическое давление |
Pб |
мм.рт.ст. |
750 |
749 |
749 |
743 |
743 |
|
26 |
Температура воздуха |
Tв |
⁰С |
20 |
23 |
25 |
24 |
24 |
|
27 |
Относительная влажность |
φ |
% |
70 |
32 |
32 |
59 |
59 |
|