Материал: Диагностический тест Вариант 2

Внимание! Если размещение файла нарушает Ваши авторские права, то обязательно сообщите нам

Д

Математика, 9 класс

иагностический тест

Вариант 2

1

1

Укажите наименьшее из чисел:

1) 0,26 2) 0,28 3) 4)

2

Выполните действия: .

1) -8,7 2) -4,1 3) -3,1 4) 8,7

3

Велосипедист проехал расстояние между двумя населенными пунктами со скоростью 26 км/ч за 0,27 часа. За какое время преодолеет это же расстояние пешеход, скорость которого 4,5 км/ч?

1) 0,54 ч 2) 1,56 ч 3) 1,44 ч 4) 2,25 ч

4

Найдите значение выражения .

1) 1 2) 3) 0 4) 2

5

За 3 часа бак наполняется на своего объема. Сколько часов потребуется, чтобы он наполнился на своего объема?

1) 2) 3) 4 4)

6

Из формулы удельного сопротивления выразите сопротивление R.

1) 2) 3) 4)

7

Население Чехии составляет 1,04 · 107 человек, а ее территория равна 7,89 · 104 км2. Какой из приве­денных ответов характеризует среднее число жителей на 1 км2?

1)132 чел. 2) 13,2 чел. 3) 76 чел. 4) 7,6 чел.

8

Разложите на множители квадратный трехчлен: .

1) 2) 3) 4)

9

Упростите выражение: .

1) 2) 3) 4)

10

Четвертый член геометрической прогрессии равен 24, а девятый — 768. Найдите пятый член этой прогрессии.

1) 36 2) 48 3) 46 4) 38

11

Решите уравнение: .

1) 0,774 2) -0,774 3)1,374 4) -1,74

12

Решите уравнение . Если корней несколько, то укажите больший из них.

1) 1 2) 3) 4) нет корней

13

Решите уравнение .

1) 3) нет корней

2) 4)

14

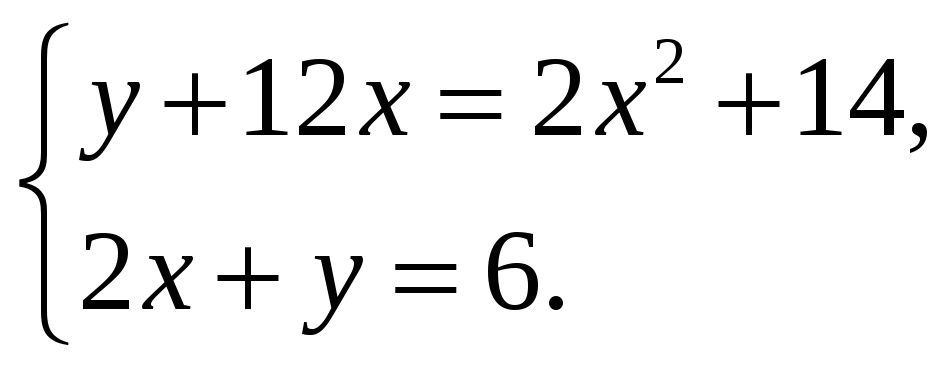
Решите систему уравнений

1) 2) 3) 4)

15

Решите неравенство .

1) 2) 3) 4)

16

Решите систему неравенств:

1) 2) 3) 4)

17

По графику функции , изображенному на рисунке, определите количество целых решений неравенства .

1) 5 2) 3 3) 1 4) 2

18

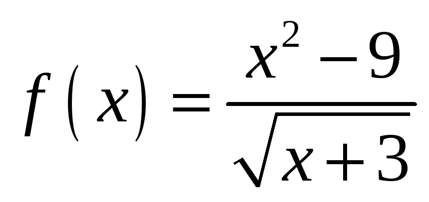
Найдите значение аргумента х, при котором функция равна нулю.

1) 9 2) -3; 3 3) 3 4) такого значения не существует

19

Под каким номером на рисунке изображен график функции ?

20

На рисунке изображен график движения двух автомобилей: первого — из пункта А в пункт Б, второго — из пункта Б в пункт А. (По горизонтальной оси отклады­вается время, прошедшее с момента начала движения — в минутах, а по вертикальной — расстояние, пройденное за это время — в км.)

С какой скоростью (в км/ч) ехал первый автомобиль после остановки?

1) 85 2) 80 3) 70 4) 75