Материал: ЦТ физика

Внимание! Если размещение файла нарушает Ваши авторские права, то обязательно сообщите нам

 

б)

 

 

в)

 

 

г)

 

 

 

3.5

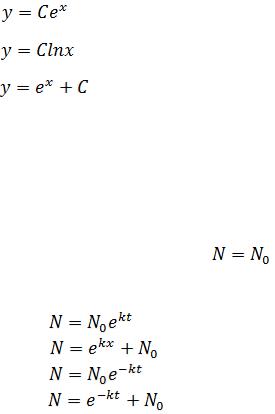
Найти решение дифференциального уравнения

 

dN = kNdt,

 

 

начальное условие при t=0

.

 

k=const

 

 

а)

 

 

б)

 

 

в)

 

 

г)

 

 

 

 

 

 

 

Вопрос

 

 

 

 

Тема 4. Механические колебания и волны

 

 

4.1

Распространение колебаний в упругой среде является

 

1) электромагнитной волной

 

 

2) механической волной

 

 

3) ультрафиолетовым излучением

 

 

 

4.2

Одним из условий (из перечисленных ниже) возникновения

 

гармонических колебаний груза на пружине является

 

а) Отсутствие силы трения

 

 

б) Отсутствие силы упругости

 

 

в) Отсутствие всех сил

 

 

 

4.3

Маятник, находящийся в положении равновесия, вывели из этого

 

положения ударом.

 

 

В первый раз удар был слабым , а второй раз - сильным.

 

В первом случае или во втором амплитуда колебаний маятника

была меньше?

а) Амплитуда колебаний маятника и в первом, и во втором случаях оставалась одинаковой б) В первом, когда удар был слабым

в) Во втором, когда удар был сильным

Маятник, находящийся в положении равновесия, вывели из этого положения ударом и маятник начал совершать затухающие колебания. В первом случае начальная амплитуда колебаний была равна 1 см, во втором 5 см.

В первом случае или во втором частота колебаний маятника была меньше?

а ) В первом б) Частота колебаний маятника и в первом, и во втором случаях

была одинаковой в) Во втором

4. 4 Груз, прикрепленный к вертикальной пружине, выводится из положения равновесия и отпускается. Трение отсутствует. Какова скорость груза в момент его максимального отклонения от положения равновесия?

а) равна нулю; б) имеет максимальное значение;

в) имеет минимальное значение

4.5Если сердце сокращается с частотой 60 ударов в минуту, чему равен период сокращения?

а) 0,5;

б) 2,0 с; в) 1,5 с;

г) 1 с с.

4.6В поперечной механической волне частицы среды:

1)не переносятся, но лишь совершают колебания в направлении, перпендикулярном направлению распространения волны

2)переносятся вдоль направления распространения волны

 

 

3)

переносятся поперёк направления распространения волны

 

 

4)

не переносятся, но лишь совершают колебания в

 

 

 

направлении вдоль направления распространения волны

 

 

4.7

Скорость звука в воздухе 340 м/с,

 

Максимальная частота 20000 Гц.

 

Чему равна минимальная длина волны звука в воздухе ?

 

1)

1176 м;

 

2)

0,017 м;

 

3)

0,01176 м ;

 

4)

68 мм.

 

 

 

 

4.8

 

 

В реальных условиях маятник совершает свободные

 

 

 

колебания. В этом случае амплитуда колебаний в момент

 

 

 

времени t+T будет по сравнению с амплитудой в момент

 

 

 

времени t

 

 

1)

меньше

 

 

2)

такая же

 

 

3)

больше

 

 

4.9

График колебаний представлен на рисунке. Чему равны амплитуда

 

колебаний (А) и период колебаний (Т)?

 

 

 

 

1.А=15 см, Т=1 с

2.А=30 см, Т=2 с

3.А=15 см, Т=2 с

4.А=30 см, Т=1 с

4.10 График колебаний представлен на рисунке. Запишите закон гармонических колебаний.

1.S(t) 15sin( t)

2.S(t) 15sin( t / 3)

3.S(t) 30 sin(2 t)

4.S(t) 15sin(2t)

4.11График колебаний представлен на рисунке. Чему равна частота колебаний (Гц)?