Материал: ЦТ физика

Внимание! Если размещение файла нарушает Ваши авторские права, то обязательно сообщите нам

Тесты

«Физика, математика»

Лечебный факультет

Вопрос

 

Тема 1. Производная функции

 

 

1.1

Найдите производную функции

 

а)

 

б)

 

в)

 

г)

 

 

 

Найдите производную функции

 

а)

 

б)

 

в)

 

г)

 

 

1.2

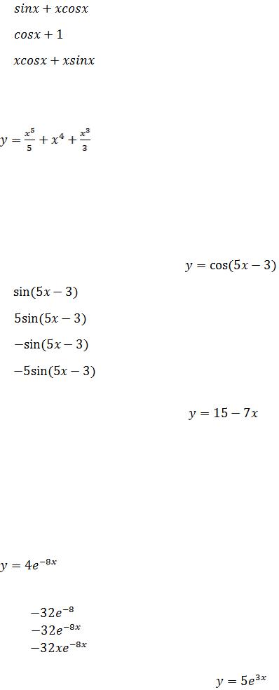
Найдите производную функции

 

а)

 

б)

 

в)

 

г)

 

 

1.3

Найдите производную функции

 

а)

 

 

 

б)

 

в)

 

г)

 

 

1.4

Вычислите значение производной функции

 

в точке хо=-2.

 

а) 12

 

б) -4

 

в) -12

 

г) 16

 

 

1.5

Найдите производную функции

 

а)

 

б)

 

в)

 

г)

 

 

1.6

Найдите производную функции

 

а) -7x

 

б) -7

 

в) 7

 

г) -8

 

 

1.7

Задана функция

 

Найти производную функции.

 

а)

 

б)

 

в)

 

 

1.8

Найти дифференциал функции

 

 

 

а)

 

б)

 

в)

 

г)

 

 

 

Тема 2. Интеграл функции

 

 

2.1

Укажите функцию, для которой

 

является первообразной:

 

а)

 

б)

 

в)

 

г)

 

 

2.2

Укажите первообразную функции

 

а)

 

б)

 

в)

 

г)

 

 

2.3

Найдите неопределенный интеграл

 

а)

 

 

 

б)

 

в)

 

г)

 

 

2.4

 

 

а) 12

 

б) 2

 

в) 6

 

г) 3

 

 

2.5

 

 

Найдите неопределенный интеграл

 

а)

 

б)

 

в)

 

 

2.6

Найдите неопределенный интеграл

 

а)

 

б)

 

в)

 

 

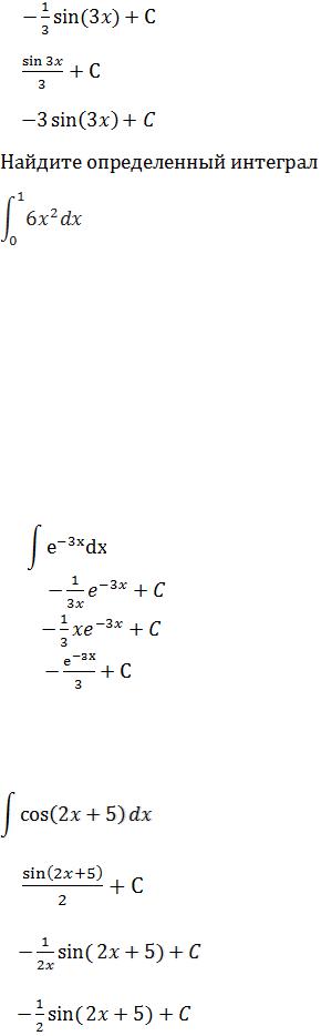
2.7

Найдите площадь под

 

кривой

, x изменяется от 0 до 1

 

а) 1/3

 

 

б) 1/8

 

 

в) 1

 

 

Тема 3. Дифференциальные уравнения

 

 

3.1

Порядок дифференциального уравнения – это

 

а) степень функции

 

б) наименьший порядок производных, входящих в него

 

в) наивысший порядок производных, входящих в него

 

г) максимальная степень аргумента

 

 

3.2

Содержит ли частное решение дифференциального уравнения

 

первого порядка произвольные постоянные?

 

а) нет

 

 

б) содержит 1 произвольную постоянную

 

в) содержит бесконечное количество произвольных постоянных

 

 

3.3

Какое количество произвольных постоянных содержит общее

 

решение дифференциального уравнения первого порядка?

 

а) 1

 

 

б) 2

 

 

в) 0

 

 

 

3.4

Укажите общее решение дифференциального уравнения

 

а)