Материал: Цифровые средства измерения

Внимание! Если размещение файла нарушает Ваши авторские права, то обязательно сообщите нам

Современные осциллографы позволяют исследовать сигнал гигагерцовых <https://ru.wikipedia.org/wiki/%D0%93%D0%B8%D0%B3%D0%B0%D0%B3%D0%B5%D1%80%D1%86> частот <https://ru.wikipedia.org/wiki/%D0%A7%D0%B0%D1%81%D1%82%D0%BE%D1%82%D0%B0>. Для исследования более высокочастотных сигналов можно использовать электронно-оптические камеры <https://ru.wikipedia.org/wiki/%D0%AD%D0%BB%D0%B5%D0%BA%D1%82%D1%80%D0%BE%D0%BD%D0%BD%D0%BE-%D0%BE%D0%BF%D1%82%D0%B8%D1%87%D0%B5%D1%81%D0%BA%D0%B0%D1%8F_%D0%BA%D0%B0%D0%BC%D0%B5%D1%80%D0%B0>.

Один из важнейших приборов в радиоэлектронике. Используются в прикладных, лабораторных и научно-исследовательских целях <https://ru.wikipedia.org/wiki/%D0%9D%D0%B0%D1%83%D1%87%D0%BD%D0%BE%D0%B5_%D0%B8%D1%81%D1%81%D0%BB%D0%B5%D0%B4%D0%BE%D0%B2%D0%B0%D0%BD%D0%B8%D0%B5>, для контроля/изучения электрических сигналов - как непосредственно, так и получаемых при воздействии различных устройств/сред на датчики <https://ru.wikipedia.org/wiki/%D0%94%D0%B0%D1%82%D1%87%D0%B8%D0%BA>, преобразующие эти воздействия в электрический сигнал или радиоволны. По назначению и способу вывода измерительной информации:

·    Осциллографы с периодической развёрткой для непосредственного наблюдения формы сигнала на экране (электронно-лучевом, жидкокристаллическом и т.д.) - в зап.-европ. языках oscilloscop(e)

·              Осциллографы с непрерывной развёрткой для регистрации кривой на фотоленте (шлейфовый осциллограф) - в зап.-европ. языках oscillograph

По способу обработки входного сигнала:

·              Цифровой

По количеству лучей: однолучевые, двулучевые и т.д. Количество лучей может достигать 16-ти и более (n-лучевой осциллограф имеет nное количество сигнальных входов и может одновременно отображать на экране n графиков входных сигналов).

Осциллографы с периодической развёрткой делятся на: универсальные (обычные), скоростные, стробоскопические, запоминающие и специальные; цифровые осциллографы могут сочетать возможность использования разных функций.

Также существуют осциллографы, совмещенные с другими измерительными приборами (напр. мультиметром <https://ru.wikipedia.org/wiki/%D0%9C%D1%83%D0%BB%D1%8C%D1%82%D0%B8%D0%BC%D0%B5%D1%82%D1%80>). Такие приборы называются скопометрами <https://ru.wikipedia.org/w/index.php?title=%D0%A1%D0%BA%D0%BE%D0%BF%D0%BE%D0%BC%D0%B5%D1%82%D1%80&action=edit&redlink=1>.

Осциллограф также может существовать не только в качестве автономного прибора, но и в виде приставки <https://ru.wikipedia.org/w/index.php?title=%D0%9E%D1%81%D1%86%D0%B8%D0%BB%D0%BB%D0%BE%D0%B3%D1%80%D0%B0%D1%84-%D0%BF%D1%80%D0%B8%D1%81%D1%82%D0%B0%D0%B2%D0%BA%D0%B0&action=edit&redlink=1> к компьютеру (подключаемой через какой-либо порт <https://ru.wikipedia.org/wiki/%D0%9A%D0%BE%D0%BC%D0%BF%D1%8C%D1%8E%D1%82%D0%B5%D1%80%D0%BD%D1%8B%D0%B9_%D0%BF%D0%BE%D1%80%D1%82>: LPT, COM, USB, вход звуковой карты).

Осциллограф с дисплеем <https://ru.wikipedia.org/wiki/%D0%94%D0%B8%D1%81%D0%BF%D0%BB%D0%B5%D0%B9> на базе ЭЛТ <https://ru.wikipedia.org/wiki/%D0%AD%D0%9B%D0%A2> состоит из электронно-лучевой трубки <https://ru.wikipedia.org/wiki/%D0%AD%D0%BB%D0%B5%D0%BA%D1%82%D1%80%D0%BE%D0%BD%D0%BD%D0%BE-%D0%BB%D1%83%D1%87%D0%B5%D0%B2%D0%B0%D1%8F_%D1%82%D1%80%D1%83%D0%B1%D0%BA%D0%B0>, блока горизонтальной развёртки <https://ru.wikipedia.org/wiki/%D0%A0%D0%B0%D0%B7%D0%B2%D1%91%D1%80%D1%82%D0%BA%D0%B0> и входного усилителя <https://ru.wikipedia.org/wiki/%D0%A3%D1%81%D0%B8%D0%BB%D0%B8%D1%82%D0%B5%D0%BB%D1%8C> (для усиления слабых входных сигналов). Также содержатся вспомогательные блоки: блок управления яркости, блок вертикальной развёртки, калибратор длительности, калибратор амплитуды.

В современных осциллографах чаще всего используются ЖК-дисплеи <https://ru.wikipedia.org/wiki/%D0%96%D0%9A-%D0%B4%D0%B8%D1%81%D0%BF%D0%BB%D0%B5%D0%B9>.

 <https://commons.wikimedia.org/wiki/File:Oscilloscope_Front_Panel_Numbered.svg?uselang=ru>

Рис. 4.1 Экран

 <https://commons.wikimedia.org/wiki/File:CRT_oscilloscope.png?uselang=ru>

Рис. 4.2 Схема электронно-лучевой трубки <https://ru.wikipedia.org/wiki/%D0%AD%D0%BB%D0%B5%D0%BA%D1%82%D1%80%D0%BE%D0%BD%D0%BD%D0%BE-%D0%BB%D1%83%D1%87%D0%B5%D0%B2%D0%B0%D1%8F_%D1%82%D1%80%D1%83%D0%B1%D0%BA%D0%B0> осциллографа: 1 - отклоняющие пластины, 2 - электронная пушка, 3 - пучок электронов, 4 - фокусирующие катушки, 5 - экран

Осциллограф имеет экран A, на котором отображаются графики входных сигналов (у цифровых осциллографов изображение выводится на дисплей <https://ru.wikipedia.org/wiki/%D0%94%D0%B8%D1%81%D0%BF%D0%BB%D0%B5%D0%B9> (монохромный или цветной) в виде готовой картинки, у аналоговых осциллографов в качестве экрана используется электронно-лучевая трубка <https://ru.wikipedia.org/wiki/%D0%AD%D0%BB%D0%B5%D0%BA%D1%82%D1%80%D0%BE%D0%BD%D0%BD%D0%BE-%D0%BB%D1%83%D1%87%D0%B5%D0%B2%D0%B0%D1%8F_%D1%82%D1%80%D1%83%D0%B1%D0%BA%D0%B0> с электростатическим <https://ru.wikipedia.org/wiki/%D0%AD%D0%BB%D0%B5%D0%BA%D1%82%D1%80%D0%BE%D1%81%D1%82%D0%B0%D1%82%D0%B8%D1%87%D0%B5%D1%81%D0%BA%D0%BE%D0%B5_%D0%BF%D0%BE%D0%BB%D0%B5> отклонением). На экран обычно нанесена разметка в виде координатной сетки.

Сигнальные входы

Осциллографы разделяются на одноканальные и многоканальные (2, 4, 6, и т.д. каналов на входе). Многоканальные осциллографы позволяют одновременно сравнивать сигналы как между собой так и с другими между собой (формы, амплитуды, частоты и пр.)

Управление развёрткой

В большинстве осциллографов используются два основных режима развёртки:

·    автоматический (автоколебательный);

·              ждущий.

В некоторых моделях предусмотрен ещё один режим:

·    однократный.

При автоматической развёртке генератор развёртки работает в автоколебательном режиме, поэтому, даже в отсутствие сигнала, по окончании цикла развёртки происходит её очередной запуск, это позволяет наблюдать на экране луч даже в отсутствии сигнала или при подаче на вход вертикального отклонения постоянного напряжения. В этом режиме у многих моделей осциллографов выполнен захват частоты генератора развёртки исследуемым сигналом, при этом частота генератора развёртки в целое число раз ниже частоты исследуемого сигнала.

В ждущем режиме развертки, напротив, при отсутствии сигнала или его недостаточном уровне (либо при неверно настроенном режиме синхронизации) развёртка отсутствует и экран гаснет. Развёртка запускается при достижении сигналом некоторого настроенного оператором уровня, причем можно настроить запуск развертки, как по нарастающему фронту сигнала, так и по падающему. При исследовании импульсных процессов, даже если они непериодические (например, непериодическое, достаточно редкое ударное возбуждение колебательного контура) ждущий режим обеспечивает неподвижность изображения на экране. В ждущем режиме развёртку часто запускают не по самому исследуемому сигналу, а некоторым синхронным с ним сигналом, например, сигналом импульсного генератора, возбуждающего процесс в исследуемой схеме. В этом случае, запускающий сигнал подаётся на вспомогательный вход осциллографа - вход синхронизации.

При однократном режиме генератор развёртки «взводится» внешним воздействием, например, нажатием кнопки и далее ожидает запуска точно также, как и в ждущем режиме. После запуска развёртка производится только один раз, для повторного запуска генератор развёртки необходимо «взвести» снова. Этот режим удобен для исследования непериодических процессов, таких как логические сигналы в цифровых схемах, чтобы последующие запуски развёртки не «замусоривали» экран. Недостаток такого режима развёртки - луч по экрану пробегает однократно, что затрудняет наблюдение при быстрых развёртках и, обычно, в этих случаях прибегают к фотографированию <https://ru.wikipedia.org/wiki/%D0%A4%D0%BE%D1%82%D0%BE%D0%B3%D1%80%D0%B0%D1%84%D0%B8%D1%8F> экрана. Этот недостаток ранее устраняли применением осциллографических трубок с запоминанием изображения, в современных цифровых осциллографах запоминание процесса производится в цифровом виде ОЗУ <https://ru.wikipedia.org/wiki/%D0%9E%D0%97%D0%A3>.

5. Цифровые фазометры

Компенсационные фазометры


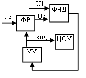
Принцип работы: одно из двух синусоидальных напряжений, в данном случае U2, поступает на фазовращатель ФВ, управляемый кодом с УУ. Фазовый сдвиг напряжения U3 относительно U2 изменяется до тех пор, пока U1 и U3 не будут синфазны. В процессе уравновешивания в знак фазового сдвига между U1 и U3 определяется с помощью фазочувствительного детектора ФЧД, выходной сигнал которого поступает на устройство управления УУ. Алгоритм уравновешивания соответствует кодоимпульсному методу. По окончанию уравновешивания код на входе ФВ выражает фазовый сдвиг между U1 и U3 и, соответственно, U1 и U2.

Компенсационный метод обладает высокой точностью, но реализуется в ручном режиме.

Применяются для измерения фазового сдвига.

Методы измерения фазы классифицируются:


Измерение фазы за один период


Принцип работы: входные синусоидальные напряжения преобразуются с помощью формирователей F1 и F2 в прямоугольные импульсы. После элемента И1 образуются прямоугольные импульсы длительностью

Δt=φ/ω=φ/(2π*f)

Импульсы опорной частоты f0 от генератора G проходят через элемент И2 на счетчик СТ в течение интервала времени Δt, тогда количество импульсов

N= Δt/T= Δt*f0

 

Код числа N поступает на ЦОУ. Сброс счетчика происходит через период. Из полученных выше формул получим:

в радианах

N= f0* φ/(2π*f) (1);

в угловых градусах

= f0* φ/(3600*f) (2).

Выражение (1) и (2) выявляют существенный недостаток фазометра по приведенной выше схеме. Недостатком является связь между N и φ, зависящая от частоты измерения. Это означает, что либо такой фазометр можно применять при фиксированной частоте f, либо измерение φ должно сопровождается измерением частоты или периода.

Пусть например будет измеряться период Т. При измерении Δt (временной интервал) получим число

Δt= Δt*f0= φ*f0/(360*f)

При измерении Т получим число импульсов

Т=Т*f0=T/T0;

φ=360* NΔt /NT.

Как видим в данном случае результат измерения не зависит от f и f0.

Измерение фазы за много периодов


По сравнению с первой схемой здесь введен делитель частоты и логический элемент И3. Теперь на счетчик поступают пачки импульсов, причем количество импульсов в каждой пачке определяется выражением

N=φ*f0/(2π*f)=φ*f0*f/3600.

Пачки проходят в течении интервала времени Δtу, который задается генератором G и делителем частоты:

, т.е. Δtу=k*T0/2=k/(2*f0),

где k - коэффициент деления частоты. В таком случае количество пачек импульсов будет равно:

m= Δtу/T= Δtу*f=k*f/(2*f0).

Если m>>1, то можно пренебречь тем, что на границах Δtу могут оказаться неполные пачки и считать, что общее количество импульсов, прошедших на счетчик, будет равно Nу=m*N

Так как m= k*f/(2*f0),

то N=f0*φ/(3600*f),

тогда Nу=k*φ/7200

это выражение определяет результат измерения фазового сдвига.

Выбор значений k из условия k=7200*10а обеспечивает соотношение

у=10а*φ, т.е. φ=Nу*10=g*Nу,

где а может принимать значения 0; 1; 2 и т.д.

Список литературы

1. Браммер, Ю.А. Радиотехнические устройства и элементы радиосистем: учеб. пособие [Текст] / Ю.А. Браммер, С.П. Лохова, И.В. Шостак, В. А. Каплун. - М.: Высш. шк. - 2005. - 294 с.

2.      Бушуев, В.М. Электропитание устройств и систем телекоммуникаций: учебн. пособие для вузов [Текст] / В.М. Бушуев, В.А. Деминский - М.: Высш. шк. - 2011. - 263 с.

.        Воробьев, А.Ю. Электроснабжение компьютерных и телекоммуникационных систем [Текст] / А.Ю. Воробьев. - М.: Эко-Трендз, - 2002. - 280 с.

.        Бокуняев, А.А. Электропитание устройств связи: учебник [Текст] / А.А. Бокуняев, Б.В. Горбачев, В.Е. Китаев и др. Под ред. В.Е. Китаева. - М.: Радио и связь. - 1988. - 285 с.

.        Иванов-Цыганов, А.И. Электропреобразовательные устройства РЭС: учебник для вузов [Текст] / А.И. Иванов-Цыганов - 4-е изд., перераб. и доп. - М.: Высш. шк. - 1991. - 293 с.

.        Краулс, Л.А. Проектирование стабилизированных источников электропитания радиоэлектронной аппаратуры [Текст] / Л.А. Краулс, Г.В. Гейман, М.М. Лапиров-Скобло - М.: Энергия. - 1980. - 376 с.