Материал: bzhd

Внимание! Если размещение файла нарушает Ваши авторские права, то обязательно сообщите нам

Защита временем предусматривает ограничение времени пребывания человека в электромагнитном поле и применяется, когда нет возможности снизить интенсивность излучения до допустимых значений.

Защита расстоянием применяется в том случае, если не возможно ослабить интенсивность излучения другими мерами, в том числе и сокращением времени пребывания человека в опасной зоне. В этом случае прибегают к увеличению расстояния между излучателем и обслуживающим персоналом.

Уменьшение мощности излучения непосредственно в самом источнике излучения достигается за счёт применения специальных устройств. С целью предотвращения излучения в рабочее помещение в качестве нагрузки генераторов вместо открытых излучателей применяют поглотители мощности (эквивалент антенны и нагрузки источников ЭМИ РЧ), при этом интенсивность излучения ослабляется до 60 дБ и более. Промышленностью выпускаются эквиваленты антенн, рассчитанные на поглощение излучения мощностью 5, 10, 30, 50, 100 и 250 Вт с длинами волн 3,1…3,5 и 6…1000 см.

Снижение уровня мощности может быть достигнуто с помощью аттенюаторов, которые позволяют ослабить в пределах от 0 до 120 дБ излучение мощностью 0,1; 0,5; 1,5; 10; 50 и 100 Вт и длинами волн 0,4…0,6; 0,8…300 см.

Экранирование источников излучения используется для снижения интенсивности электромагнитного поля на рабочем месте или устранении опасных зон излучения. В этом случае применяются экраны из металлических листов или сеток в виде замкнутых камер, шкафов и кожухов.

Толщина экрана, обеспечивающего заданное ослабление поля, определяется по формуле

(15)

где Э - заданное ослабление поля ( - напряженность электрического поля без экрана и с экраном соответственно); f - частота поля (Гц); - абсолютная магнитная проницаемость экрана, Гц/м; - удельная проницаемость материала, Ом/м.

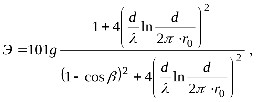
Ослабление поля сетчатым экраном определяется по формуле

(16)

где - радиус проволоки, из которой сделана сетка, м; - шаг сетки, м; - угол падения волны на сетку, град; - длина волны, м.

Формула справедлива при следующих соотношениях:

Контрольная задача 10

Определить толщину металлического экрана δ, обеспечивающего заданное ослабление электромагнитного поля при следующих значениях исходных данных:

Параметры

Номер варианта

1

2

3

4

5

6

7

8

9

10

Заданное ослабление ЭМП Э, дБ

30

40

50

60

60

50

40

30

40

50

Частота поля f, ГГц

3,0

3,5

4,0

4,5

4,0

3,5

3,0

2,5

2,5

3,0

Абсолютная магнитная проницаемость μ, мкГ/м

0,4

0,42

0,44

0,46

0,4

0,45

0,5

0,55

0,37

0,35

Удельная проводимость материала σ, МОм/м

35,4

40

45

50

35

40

45

40

35

42,5

Пример решения.

Рассчитать величину δ для следующих значений исходных данных:

Решение.

Расчет выполняем по формуле (15)

Ответ:

Контрольная задача 11

Определить ослабление поля Э сетчатым экраном при следующих значениях исходных данных:

Параметры

Номер варианта

1

2

3

4

5

6

7

8

9

10

Радиус проволоки r0, м·10-3

2

1,5

1

0,7

0,5

2

2,5

1,5

1

0,5

Шаг сетки d, м·10-3

25

20

15

10

8

20

30

25

20

10

Длина волны λ, м·10-3

50

30

25

20

15

25

40

50

30

40

Угол падения волны на сетку β, град

45

50

60

65

70

45

50

65

70

60

Пример расчета.

Рассчитать величину Э для следующих значений исходных данных:

r0 = 1,75·10-3 м; d = 35·10-3 м; λ = 45·10-3 м; β = 55°.

Решение.

Проверяем соотношения, для которых справедлива расчетная формула (16)

Следовательно, формула справедлива. Расчет выполняем по формуле (16)

Ответ: Э = 0,93 дБ.

б). Лазерное излучение

Лазерное излучение (ЛИ) представляет собой особый вид электромагнитного излучения, генерируемого в диапазоне длин волн 0,1…1000 мкм. Отличие ЛИ от других видов излучения заключается в монохроматичности, когерентности и высокой степени направленности. При оценке биологического действия следует различать прямое, отраженное и рассеянное ЛИ. Эффекты воздействия определяются механизмом взаимодействия ЛИ с тканями (тепловой, фотохимический, ударно-акустический и др.) и зависят от длины волны излучения, длительности импульса (воздействия), частоты следования импульсов, площади облучаемого участка, а также от биологических и физико-химических особенностей облучаемых тканей и органов. ЛИ с длиной волны 380…1400 нм представляют наибольшую опасность для сетчатки глаза, а излучение с длиной волны 180… 380 нм и свыше 1400 нм - для передних сред глаза.

Повреждение кожи может быть вызвано лазерным излучением любой длины волны в спектральном диапазоне . При воздействии ЛИ в непрерывном режиме преобладают в основном тепловые эффекты, следствием которых является коагуляция (свертывание) белка, а при больших мощностях – испарение биоткани. Степень повреждения кожи зависит от первоначально поглощенной энергии. Повреждения могут быть различными: от покраснения до поверхностного обугливания и образования глубоких дефектов кожи. Значительные повреждения развиваются на пигментированных участках кожи (родимых пятнах, местах с сильным загаром). Минимальное повреждение кожи развивается при плотности энергии от .

Лазерное излучение особенно дальней инфракрасной области (свыше 1400 нм) способно проникать через ткани тела на значительную глубину, поражая внутренние органы (прямое ЛИ).

Импульсный режим воздействия ЛИ с длительностью импульса меньше 10-2 с связан с преобразованием энергии излучения в энергию механических колебаний, в частности ударной волны. Ударная волна состоит из группы импульсов различной длительности и амплитуды. Максимальную амплитуды имеет первый импульс сжатия, который является определяющим в возникновении повреждения глубоких тканей. Например, прямое облучение поверхности брюшной стенки вызывает повреждение печени, кишечника и других органов брюшной полости; при облучении головы возможны внутричерепные и внутримозговые кровоизлияния. Обычно различают локальное и общее повреждения организма.

Лазерное излучение представляет особую опасность для тех тканей, которые максимально поглощают излучение. Сравнительно легкая уязвимость роговицы и хрусталика глаза, а также способность оптической системы глаза увеличивать плотность энергии (мощности) излучения видимого и ближнего ИК-диапазона (750…14000 нм) на глазном дне до раз по отношению к роговице делают глаз наиболее уязвимым органом. Степень повреждения глаза может изменяться от слабых ожогов сетчатки до полной потери зрения.

Зеркально-отраженное излучение опасно в той же мере, что и прямое. Кроме того, зеркально-отраженный луч лазера может многократно зеркально или диффузно отражаться от различных поверхностей.

Длительное хроническое действие диффузно отраженного лазерного излучения вызывает неспецифические, преимущественно вегетативно-сосудистые нарушения; функциональные сдвиги могут наблюдаться со стороны нервной, сердечно - сосудистой систем, желез внутренней секреции.

При нормировании ЛИ устанавливаю предельно допустимые уровни ЛИ для двух условий облучения - однократного и хронического, для трех диапазонов длин волн: 180…300 нм, 380…1400 нм, 1400…100 000 нм. Нормируемыми параметрами являются энергетическая экспозиция H и облученность E.

При разработке и монтаже лазерных установок необходимо знать интенсивность облучения, определить зоны безопасности и обеспечить необходимую защиту. Наиболее опасно прямое попадание лазерного луча в глаз. При этом различают ближнюю и дальнюю зоны.

Интенсивность лазерного излучения в ближней зоне I при прямом попадании луча в глаз определяется по формуле

где P ­- мощность, излучаемая лазером, Вт; - угол расходимости луча, рад; R - расстояние до расчетного сечения, см.

Безопасное расстояние R6 определяется соответственно по формуле

где - предельно допустимая интенсивность излучения в расчетном сечении (табл.П7).

Интенсивность отраженного излучения рассчитывается по формуле

(17)

где - коэффициент отражения от поверхности (табл.П6); - угол между направлением на расчетную точку и нормалью к поверхности, на которую падает луч (луч перпендикулярен к поверхности); r - расстояние от точки отражения до расчетной точки, см.