Материал: Блок-схема алгоритма и программа разветвленной структуры

Внимание! Если размещение файла нарушает Ваши авторские права, то обязательно сообщите нам

Блок-схема алгоритма и программа разветвленной структуры

Некоммерческое акционерное общество

«АЛМАТИНСКИЙ УНИВЕРСИТЕТ ЭНЕРГЕТИКИ И СВЯЗИ»

Факультет электроэнергетики

Кафедра “Информационные системы”






Лабораторная работа №6

По дисциплине: Информатика

На тему: Блок-схема алгоритма и программа разветвленной структуры

Вариант-13-28


Специальность: Электроэнергетика

Выполнил: Турдахунов А.А.

Группа: Э-15-07

Принял: Сыдыков Р.А.




Алматы 2015

Тема: Блок-схема алгоритма и программа разветвленной структуры

Есть языки программирования, ориентированные на определенную область применения. Практика показала, что Паскаль в широком смысле слова- универсальный язык. Язык программирования должен облегчать создание больших программ, разрабатываемых, возможно, несколькими программистами, что также обеспечивает язык программирования Паскаль.

Присущий языку Паскаль стиль программирования полностью определяется используемыми в нем типами данных, их организацией. Чтобы овладеть навыками программирования, необходимо понять концепцию организации данных, принятую в языке, как важнейший аспект программирования.

Данные - это информация, представленная в формальном виде, который обеспечивает возможность ее хранения, обработки и передачи. В языке Паскаль любая константа, переменная, значение функции или выражения характеризуется своим типом. Используемые различные типы данных в PASCAL имеют огромное значение при программировании, так как определяют способы и алгоритмы обработки этих данных.

Под типом данных понимается множество допустимых значений переменных, а также совокупность операции над ними.

Константа (англ. constant) - это величина, значения которой не изменяются в период ее существования. Значения переменных предварительно описываются в разделе описания переменных CONST.

Переменная (англ. variable) - это некоторая величина, значения которой могут изменяться, принимая в процессе изменения некоторые значения.

Приступая к решению задач , следует помнить, что:

-              каждая переменная программы должна быть объявлена;

-              объявления переменных помещают в раздел описания переменных, который начинается словом Var;

-              инструкция объявления переменной выглядит так: Имя Переменной: Тип;

-              в имени переменной можно использовать буквы латинского алфавита и цифры (первым символом должна быть буква);

-              основными числовыми типами языка Turbo Pascal являются Integer (целый), Real (вещественный);

-              после инструкции объявления переменной рекомендуется указывать назначение переменной.

  

Для составления записи в Паскале использую данную таблицу.

Математическая запись или ее назначение

Запись на Паскале

sin x, x - в радианах

Sin(x)

cos x, x - в радианах

Cos(x)

arctg x

Arctan(x)

ln x - значение натурального логарифма

Ln(x)

ex или exp(x)

Exp(x)

 - абсолютное значение величины хAbs(x)


, x>=0Sqrt(x)


x2

Sqr(x)

дробная часть числа х

Frac(x)

целая часть числа х, получаемая путем отбрасывания дробной части

Trunc(x)

целая часть числа х, получаемая путем округления до ближайшего меньшего целого

Int(x)

целая часть числа х, получаемая путем округления до ближайшего большего целого по абсолютной величине

Round(x)

случайное число от 0 до х

Random(x)

случайное число от 0 до 1

Random

Выдает значение True, если целое число х нечетно

Odd(x)

Примечания 1 В Паскале нет операции возведения в произвольную степень n, поэтому используют выражение xn = enlnx.  2 Для получения tg x, ctg x, arcsin x, arccos x, arcctg x, logax могут быть использованы известные математические соотношения.



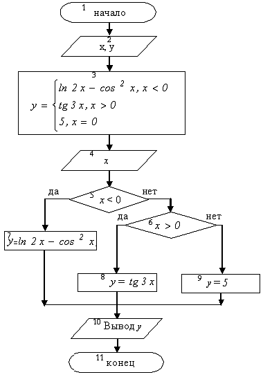
Составим алгоритм решения подобных задач:

) Прочитать задачу.

) Выписать известные и неизвестные нам переменные в «дано».

) Вписать необходимые формулы.

) Составить блок-схему.

) Записать решение на языке программирования Pascal.

Program p213;

Var x,y:real;

Begin

if(x<0) then y:=ln(2*x)-sqr(cos(x))

else(x>0) then y:=(sin(3*x))/(cos(3*x))

else(x=0) then y:=5;('y=',y:10:4);;

end.

Если программа написана правильно она потребует задать x


Основываясь тому же алгоритму совершаю действия.

1)Прочитать задачу.

) Выписать известные и неизвестные нам переменные в «дано».

) Вписать необходимые формулы.

) Составить блок-схему.

) Записать решение на языке программирования Pascal.

Program p228;

Var x,y:real;

Begin алгоритм разветвленный функция паскаль

Writeln('zadaite x');(x);

if(x>=1) then y:=exp(3*ln(x))+5*x+3

else(0<=x)and(x<1) then y:=Abs(12*x-2*sqr(x))+exp((1/4)*ln(4*x))

else(x<0) then y:=sqrt(4*sqr(x)+5);('y=',y:10:4);;

end.

Если программа написана правильно она потребует задать x и y.



Вывод

Выполнив данную лабораторную работу научился составлять блок-схему, по данной блок-схеме программировать программу для вычисления функции.

Научился базовым навыкам языка программирования Pascal, при выполнении заданий использовал PascalABC.NET . При выполнении второго задания, основываясь на опыте первого задания, с первого раза программа запустилась без ошибок, считаю, что это значит ,что базовые навыки языка программирования Pascal получены.

Список использованной литературы

.        Культин Н.Б. Turbo Pascal в задачах и примерах.-СПб.:БХВ-Петербург,2005-256с.:ил.

.        Мастекбаева Г.А. Сябина Н.В. Информатика. Язык Turbo Pascal. Методические указания к выполнению лабораторных работ (для студентов всех специальностей). Часть 3.-Алматы: АУЭС,2005.-29с.