Курсовая работа (т): Анализ процесса термоконтактного крекинга на примере установки непрерывного коксования в псевдоожиженном слое

Внимание! Если размещение файла нарушает Ваши авторские права, то обязательно сообщите нам

Алкены характеризуются ввиду наличия двойной связи высокой реакционной способностью в реакциях присоединения, но повышенной, по сравнению с алканами, термостойкостью в отношении реакций распада. Этилен из алкенов наиболее устойчивый. Он всегда содержится в продуктах термолиза нефтяного сырья как первичный и вторичный продукт их превращений. По термической стабильности он занимает промежуточное положение между метаном и этаном. Термический распад этилена заметно начинается при температуре 660 °С. При 400 - 600°С в основном протекает его полимеризация:


В тех же условиях в продуктах пиролиза этилена содержатся высокомолекулярные олефины - продукт сополимеризации бутиленов с этиленом. При температурах 600°С и выше в продуктах термолиза этилена появляются бутадиен и водород в результате дегидрирования бутена-1.

Оптимальная температура образования диенов при пиролизе этилена - 750 °С. При температурах выше 900°С бутадиен в продуктах пиролиза исчезает, вероятно, превращаясь по диеновому синтезу в арены:


Пропилен по термической стабильности уступает этилену и при термолизе образует метан и этилен:


Термолиз бутиленов приводит к образованию метана, пропилена и бутадиена по реакциям:


При этом одновременно начинается интенсивное образование ароматизированных жидких продуктов.

В процессе термолиза высших алкенов при умеренных температурах основной реакцией является реакция полимеризации. При повышении температуры развивается реакция распада по С- С-связи (то есть обратная реакции полимеризации). С малой скоростью происходит также изомеризация алкенов с образованием более стабильных симметричных олефинов.

С увеличением молекулярной массы алкенов возрастает тенденция к разрыву С - С-связи. Для высокомолекулярных алкенов наличие двойной связи практически не влияет на термостойкость алкенов, а по устойчивости они становятся близкими алканам с тем же углеродным атомом.

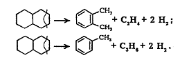
Нафтены при термолизе более стабильны, чем соответствующие алканы. Наиболее устойчивыми среди нафтенов являются циклопентан и циклогексан. Реакции термолиза незамещенных циклоалканов протекают по нецепному механизму посредством разрыва одной из С-С-связей и образования бирадикала, который далее распадается на стабильные молекулы:


Дегидрирование незамещенных цикланов по цепному механизму не происходит, так как по сравнению с ним распад с образованием бирадикала протекает со значительно большей (на несколько порядков) скоростью. Алкилнафтены при термолизе ведут себя, как алканы: преимущественно распадаются боковые цепи по радикально-цепному механизму.


Бициклические нафтены при 600°С и выше подвергаются дециклизации, деалкилированию и дегидрированию:

 

Термолиз ароматических углеводородов.

Арены термически устойчивы и поэтому накапливаются в продуктах термических процессов. Ароматические углеводороды с длинными боковыми цепями способны деалкилироваться с образованием преимущественно монометилированных ароматических углеводородов.


Ароматические углеводороды без заместителей (голоядерные) и ароматические углеводороды с низким числом углеродных атомов в цепи практически не подвергаются распаду. В условиях термических процессов они способны конденсироваться с выделением водорода:


В результате образуются высококонденсированные нелетучие и нерастворимые в хинолине вещества, из которых затем получается твердый углеродистый остаток - кокс или сажа.

Термолиз смеси углеводородов. Цепные реакции, протекающие при термолизе углеводородов всегда взаимозаменяемы. Инициирование в радикально-цепных процессах термолиза является самой энергоемкой и, следовательно, лимитирующей стадией. Дальнейшие превращения радикалов происходят значительно меньшими энергиями активации. Термолиз смеси углеводородов, по сравнению с индивидуальными углеводородами, во многих случаях протекает с большей скоростью вследствие увеличения скорости инициирования активными радикалами, которые не всегда могут образоваться при распаде отдельных классов углеводородов. Отдельные углеводороды, например нафтены, распадающиеся в чистом виде по нецепному пути из-за малой скорости инициирования, в смесях могут превращаться по цепному механизму. В качестве инициаторов цепных реакций могут участвовать и отдельные продукты, образующиеся при термолизе углеводородных смесей.

Основные выводы по химизму газофазного термолиза различных классов углеводородов сводятся к следующему.

Алканы подвергаются реакциям распада на предельные и непредельные углеводороды. Молекулярная масса полученных углеводородов постоянно снижается за счет последовательного крекинга.

Алкены полимеризуются и вступают в реакцию деструктивной полимеризации. В меньшей степени выражена реакция деполимеризации. Возможна также реакция циклизации.

Цикланы и арены претерпевают реакции деалкилирования алкильных цепей, образуя алканы, алкены и цикланы с короткой боковой цепью. Шестичленные цикланы дегидрируются в арены, а последние подвергаются поликонденсации, образуя высокомолекулярные жидкие продукты.

Из вышеизложенного следует, что при термолизе нефтяного сырья протекает множество реакций и получаются продукты чрезвычайно сложного состава. Исследовать ход превращений и конечную судьбу каждого компонента смеси не представляется возможным. Несмотря на это, зная средний состав сырья, можно приблизительно прогнозировать групповой (не индивидуальный) состав конечных продуктов термолиза.

Термические превращения высокомолекулярных компонентов нефти в жидкой фазе

В сырье термического крекинга и коксования (мазуте, гудроне) содержится значительное количество высокомолекулярных соединений нефти: углеводородов, смол и асфальтенов. Так, в состав гудрона могут входить алканы С2040, полициклические ароматические и нафтено-ароматические углеводороды, молекулы которых содержат несколько колец и боковые алкильныс цепи, смолы, молекулы которых содержат 3-6 ароматических и нафтеновых колец или гетероциклов с алкильными боковыми цепями, а также асфальтены, молекулы которых могут содержать до 20 и более колец, боковые алкильные цепи и углеродные мостики. Суммарное содержание асфальтенов и смол в гудроне может достигать 50-60 мае. %.

Соединения, входящие в состав нефтяных остатков, обладают невысокой термической стабильностью. Это объясняется тем, что в молекулах этих соединений содержатся слабые С-С-связи в алкильных боковых цепях и углеводородных мостиках

Нефтяные остатки при обычных условиях представляют собой структурированные коллоидные системы, состоящие из дисперсионной среды (углеводороды) и дисперсной фазы (ассоциированные молекулы смол и асфальтенов).

В процессе термического крекинга и коксования значительная часть сырья находится в жидкой фазе. Расщепление молекул компонентов сырья в жидкой фазе имеет свои особенности. Во-первых, гемолитический разрыв связи углеводорода в жидкой фазе не приводит к быстрому образованию двух разобщенных радикалов, как это происходит в газовой фазе. Это объясняется тем, что расщепляющаяся молекула находится в тесном окружении других молекул, находится как бы в "клетке". Для того чтобы вырваться из этого окружения, образовавшийся радикал должен получить дополнительную энергию (энергия активации диффузии). Величина этой энергии зависит от характера сольватации, т. е. межмолекулярного взаимодействия между радикалом и окружающими молекулами.

Если сольватация является неспецифической (слабое межмолекулярное взаимодействие, обусловленное силами Ван-дер-Ваальса), то энергия активации диффузии невелика. Примером может служить распад молекулы, окруженной неполярными молекулами алканов.

В случае если молекула углеводорода окружена полярными молекулами, например молекулами ароматических углеводородов или смолистых веществ, то энергия активации диффузии будет значительно больше вследствие более сильного межмолекулярного взаимодействия окружающих молекул и сильного их взаимодействия с образовавшимся радикалом. В этом случае радикал будет легче вступать в химическое взаимодействие с окружающими молекулами (присоединение к кратным связям), чем диффундировать из клетки, так как энергия активации химического взаимодействия будет значительно меньше энергии активации диффузии. Поэтому при жидкофазном крекинге углеводородной смеси с высоким содержанием ароматических углеводородов выход газа и легких фракций будет небольшим, так как ароматические углеводороды являются "ловушками" для радикалов.

Вместе с тем ароматические углеводороды, особенно полициклические, будут подвергаться реакции дегидрогенизационной конденсации с образованием асфальтенов и кокса по схеме:

ароматические углеводороды → смолы асфальтены →кокс.

Еще более сложная картина наблюдается в том случае, если происходит распад молекул смол или асфальтенов. Смолы и асфальтены находятся в углеводородных растворах при повышенных концентрациях в ассоциированном состоянии. Надмолекулярная структура асфальтенов представляет собой несколько ассоциированных молекул асфальтенов (пакеты из 2-5 молекул). Смолы также ассоциированы. При термической деструкции асфальтенов и смол происходит разрыв наиболее слабых С-С-связей боковых цепей и углеводородных мостиков. Образовавшиеся радикалы малоподвижны вследствие значительных размеров, к тому же они находятся в составе надмолекулярной структуры, связаны с остальной ее частью силами межмолекулярного взаимодействия. Поэтому они могут только реагировать либо с соседними молекулами внутри ассоциата (взаимодействие с n-электронами ароматических ядер с образованием прочных связей с ароматическими атомами углерода), либо с соседними ассоциатами асфальтенов или смол. В процессе термического распада асфальтенов исчезают слабые связи, появляются прочные. Происходит сшивка молекул асфальтенов в ассоциате и соединение ассоциатов друг с другом. В результате этого образуются более крупные частицы, обладающие худшей растворимостью в углеводородах. Если углеводородная дисперсионная среда, окружающая асфальтены, содержит мало ароматических углеводородов, то продукты конденсации асфальтенов выделяются из раствора в виде капель, и в дальнейшем происходит превращение этих капель в "кокс".

Если углеводородная дисперсионная среда высокоароматизирована и хорошо растворяет асфальтены, то по мере их конденсации не происходит их выделения из раствора, а образуется студень - трехмерная структурированная система, внутри которой находятся молекулы углеводородной среды (масла). "Кокс" образуется в результате дальнейшей сшивки этой структуры, при этом дисперсионная среда вытесняется.

Таким образом, в конечном итоге высокомолекулярные соединения (ВМС) нефти (полициклические ароматические углеводороды, смолы и асфальтены) в результате термической деструкции превращаются в низкомолекулярные соединения (НМС) и карбоиды ("кокс"):



1.3 Характеристика сырья и готовой продукции


Сырьем установок коксования являются остатки перегонки нефти - мазуты, гудроны; производства масел - асфальты, экстракты; термокаталитических процессов - крекинг-остатки, тяжелая смола пиролиза, тяжелый газойль каталитического крекинга и др. За рубежом, кроме того, используют каменноугольные пеки, сланцевую смолу, тяжелые нефти из битуминозных песков и др.

Основными показателями качества сырья являются плотность, коксуемость, содержание серы и металлов и групповой химический состав. Коксуемость сырья определяет прежде всего выход кокса, который практически линейно изменяется в зависимости от этого показателя..

В зависимости от назначения к нефтяным коксам предъявляют различные требования. Основными показателями качества коксов являются: содержание серы, золы, летучих, гранулометрический состав, пористость, истинная плотность, механическая прочность, микроструктура.

По содержанию серы коксы делят на малосернистые (до 1 %), среднесерийные (до 1,5 %), сернистые (до 4 %) и высокосернистые (выше 4,0 %); по гранулометрическому составу - на кусковой (фрак-ция с размером кусков свыше 25 мм), "орешек" (фракция 8-25 мм) и мелочь (менее 8 мм); по содержанию золы - на малозольные (до 0,5 %), среднезольные (0,5 - 0,8 %) и высокозольные (более 0,8 %).

Содержание серы в коксе зависит почти линейно от содержания ее в сырье коксования. Малосернистые коксы получают из остатков малосернистых нефтей или подвергнутых гидрооблагораживанию. Как правило, содержание серы в коксе всегда больше ее содержания в сырье коксования.

Содержание золы в коксе в значительной мере зависит от глубины обессоливания нефти перед ее переработкой.

1.4 Описание технологической схемы

Первые промышленные установки замедленного коксования были построены за рубежом в середине 30-х гг. и предназначались в основном для получения дистиллятных продуктов. В нашей стране УЗК эксплуатируются с 1955 г. (УЗК на Ново-Уфимском НПЗ).

Средний выход кокса на отечественных УЗК ныне составляет около 20 % масс, на сырье (в США = 30,7 % масс), в то время как на некоторых передовых НПЗ, например на УЗК НУНПЗ, выход кокса значительно выше (30,9 % масс). Низкий показатель по выходу кокса на многих УЗК обусловливается низкой коксуемостью перерабатываемого сырья, поскольку на коксование направляется преимущественно гудрон с низкой температурой начала кипения, что связано с неудовлетворительной работой вакуумных колонн АВТ, а также тем, что часто из-за нехватки сырья в переработку вовлекается значительное количество мазута.

Название "замедленное" в рассматриваемом процессе коксования связано с особыми условиями работы реакционных змеевиков трубчатых печей и реакторов (камер) коксования. Сырье необходимо предварительно нагреть в печи до высокой температуры (470-510°С), а затем подать в необогреваемые, изолированные снаружи коксовые камеры, где коксование происходит за счет тепла, приходящего с сырьем.

Поскольку сырье представляет собой тяжелый остаток, богатый смолами и асфальтенами (то есть коксогенными компонентами), имеется большая опасность, что при такой высокой температуре оно закоксуется в змеевиках самой печи. Поэтому для обеспечения нормальной работы реакционной печи процесс коксования должен быть "задержан" до тех пор, пока сырье, нагревшись до требуемой температуры, не поступит в коксовые камеры. Это достигается благодаря обеспечению небольшой длительности нагрева сырья в печи (за счет высокой удельной теплонапряженности радиантных труб), высокой скорости движения по трубам печи, специальной ее конструкции, подачи турбулизатора и т.д. Опасность закоксовывания реакционной аппаратуры, кроме того, зависит и от качества исходного сырья, прежде всего от его агрегативной устойчивости. Так, тяжелое сырье, богатое асфальтенами, но с низким содержанием полициклических ароматических углеводородов, характеризуется низкой агрегативной устойчивостью, и оно быстро расслаивается в змеевиках печи, что является причиной коксоотложения и прогара труб. Для повышения агрегативной устойчивости на современных УЗК к сырью добавляют такие ароматизированные концентраты, как экстракты масляного производства, тяжелые газойли каталитического крекинга, тяжелая смола пиролиза и др.