Рассмотрим краткие характеристики конкретных ветвей отрасли кинематографии в России.
Все действующие на рынке кинопроизводства РФ кинокомпании можно разделить на несколько категорий, в зависимости от реализуемых ими функций: кинопроизводящие компании; киностудийные комплексы (обладают собственными киносъемочными павильонами); компании, предоставляющие кинооборудование в аренду съемочным группам; центры по оказанию монтажно-тонировочных услуг./1, с. 96/
Производящие компании (продюсерские центры, имеющие собственные кинопрокатные подразделения; продюсерские компании; государственные и частные киностудии; телеканалы, а также голливудские студии-мейджоры) за период с 01.01.2006 по 01.07.2009 инвестировали в кино- и телепроизводство более 61 млрд руб. (около 17,5 млрд руб. в год в среднем), большая часть которых была вложена в создание игровых телефильмов и телесериалов (52%), а также в производство кинофильмов (около 40%)./7, с. 34/
Пик производства полнометражных теле- и кинофильмов был достигнут в 2008 году (158 и 106 наименований соответственно)./13, с. 43/
Лидером киноиндустрии по объему инвестиций в России остается рынок телесериалов и телефильмов (объем инвестиций за последние 3,5 года составил 32 млрд руб., при этом было произведено более 9 000 эпизодов телесериалов и более 450 телефильмов), что связано с ростом себестоимости производства в этом секторе (порядка 30% в год - до кризиса 2009-го), а также с ростом в 2007-2008 годах числа производимых телефильмов. Однако в 2009 году проявилась нехарактерная для рынка тенденция: число производимых кинофильмов превысило число телефильмов, поскольку телевидение оказалось более подвержено воздействию финансово-экономического кризиса по причине меньшей продолжительности производственного цикла и большей чувствительности к заказам на запуск производства со стороны телеканалов./5, с. 48/
Рынок игрового кино занимает второе место по объему инвестиций (около 25 млрд руб. за последние 3,5 года). Производство большинства фильмов осуществляется в России во многом на безвозвратные вложения и в первую очередь на средства Министерства культуры РФ (из 341 произведенного фильма за период с 01.01.2006 по 01.07.2009 господдержку получили 198; при этом в 2009 году в производство не был запущен ни один фильм, получивший государственную поддержку, а все бюджетное финансирование было направлено на завершение проектов). Государственная поддержка игровых фильмов составляла в среднем 19 млн руб. на один фильм. В период с 2006 года в стране наблюдается устойчивая тенденция роста количества создаваемых кинофильмов; в среднем ежегодно в России производится 100 полнометражных игровых картин, при этом в кинотеатральный кинопрокат выходит в среднем 72 фильма. Рост кинопроизводства в период 2006-2008 годов также спровоцировал и рост себестоимости производства - преимущественно за счет увеличения заработной платы членов съемочных групп, поскольку многие специалисты в России оказывались дефицитными. Завышенные производственные бюджеты и нередко слабые кассовые сборы кинопроката отечественных кинокартин привели к тому, что большинство российских фильмов не окупилось по результатам кинотеатрального проката, а продюсерские компании понесли убытки./7, с. 65/ Хотя до 2009 года многие из них могли получить высокие дополнительные доходы из других источников - от продажи прав на издание фильма на DVD, показ по телевидению, выпуск компьютерных игр и других сопутствующих товаров. Разразившийся финансово-экономический кризис снизил все дополнительные доходы продюсеров как за счет сократившихся объемов закупок таких прав, так и за счет падения цен на этих рынках. Зато, как заметил кино- и телепродюсер Александр Цекало настоящие профессионалы могут работать и в кризис, и это подходящее время для того, чтобы бизнес покинули слабые игроки, не могущие сделать ничего полезного и коммерчески прибыльного для киноиндустрии./13, с. 142/ Мы абсолютно согласны с Александром Евгеньевичем и считаем, что до кризиса в киноотрасли появилось много людей, пытающихся продвигать низкопробную продукцию.
Подведем итоги: нами были изучены основы
российского кинематографа и накопленная информация поможет нам выявить причины
существующего в настоящий момент отношения зрителей к российскому кино и
понять, как эти проблемы решить.
Глава 2. Текущее состояние российского
кинематографа, его проблемы и тенденции
.1 Текущее состояние российского кинематографа
Чтобы адекватно рассуждать о российском
кинематографе, уровне его популярности и тенденциях его развития, рассмотрим
предыдущий киногод по вышедшим фильмам и реакции на них зрителей, выражающейся
в покупательной способности билетов на фильмы(табл. 2.1)
Таблица 2.1
Российские кинофильмы 2012 года
|
Номер фильма в порядке выхода в прокат |
Дата начала проката |
Название фильма |
Кассовые сборы |
|
1 |
2 |
3 |
4 |
|
1 |
02.01.2012 |
Мой парень - ангел |
2.372.984 |
|
2 |
05.01.2012 |
Моя безумная семья |
2.707.096 |
|
3 |
19.01.2012 |
Камень |
4.069.176 |
|
4 |
24.01.2012 |
Поклонница |
Нет данных |
|
5 |
25.01.2012 |
Ржевский против Наполеона |
7.805.333 |
|
6 |
26.01.2012 |
Шапито-шоу: Любовь и дружба |
0.393.816 |
|
7 |
26.01.2012 |
Шапито-шоу: Уважение и сотрудничество |
Нет данных |
|
8 |
02.02.2012 |
На Байкал |
0.307.200 |
|
9 |
02.02.2012 |
Безразличие |
Нет данных |
|
10 |
09.02.2012 |
Фауст |
0.783.664 |
|
11 |
09.02.2012 |
Дом на обочине |
0.023.547 |
|
12 |
14.02.2012 |
Zолушка |
5.169.134 |
|
13 |
16.02.2012 |
4 дня в мае |
0.037.000 |
|
14 |
21.02.2012 |
Август. Восьмого |
9.940.171 |
|
15 |
23.02.2012 |
Кастинг для злодея |
0.034.427 |
|
16 |
01.03.2012 |
Мамы |
7.787.355 |
|
17 |
01.03.2012 |
Самоубийцы |
1.979.000 |
|
18 |
08.03.2012 |
8 первых свиданий |
7.455.211 |
|
19 |
08.03.2012 |
Тайна для двоих |
Нет данных |
|
20 |
15.03.2012 |
Тот еще Карлосон! |
10.353.078 |
|
21 |
15.03.2012 |
Бедуин |
0.021.560 |
|
22 |
29.03.2012 |
Атомный Иван |
0.050.384 |
|
23 |
29.03.2012 |
Дирижер |
0.375.124 |
|
24 |
05.04.2012 |
Шпион |
4.588.176 |
|
25 |
12.04.2012 |
901 километр |
0.008.580 |
|
26 |
19.04.2012 |
Свидание |
0.849.776 |
|
27 |
19.04.2012 |
Воин.com |
0.021.000 |
|
28 |
26.04.2012 |
Няньки |
5.741.208 |
|
29 |
01.05.2012 |
Матч |
2.204.000 |
|
30 |
03.05.2012 |
Белый тигр |
3.290.813 |
|
31 |
10.05.2012 |
Олимпийская деревня |
0.179.424 |
|
32 |
31.05.2012 |
Небесный суд |
0.004.270 |
|
33 |
14.06.2012 |
Кококо |
0.495.379 |
|
34 |
21.06.2012 |
Багровый цвет снегопада |
0.017.734 |
|
35 |
02.08.2012 |
Большая ржака! |
0.601.026 |
|
36 |
09.08.2012 |
От винта 3D |
1.974.263 |
|
37 |
30.08.2012 |
Жить |
0.113.341 |
|
38 |
30.08.2012 |
Вождь разнокожих |
0.176.529 |
|
39 |
13.09.2012 |
Сказка. Есть |
0.247.247 |
|
40 |
20.09.2012 |
Орда |
2.761.529 |
|
41 |
20.09.2012 |
Белый мавр, или Интимные истории о моих соседях |
0.014.573 |
|
42 |
27.09.2012 |
Мужчина с гарантией |
4.297.576 |
|
43 |
04.10.2012 |
Духless |
13.283.001 |
|
44 |
11.10.2012 |
Любовь с акцентом |
2.562.535 |
|
45 |
11.10.2012 |
Пока ночь не разлучит |
0.224.101 |
|
46 |
18.10.2012 |
Последняя сказка Риты |
0.486.937 |
|
47 |
18.10.2012 |
Искатели приключений |
0.333.696 |
|
48 |
01.11.2012 |
Стальная бабочка |
1.184.000 |
|
49 |
01.11.2012 |
1812: Уланская баллада |
1.242.000 |
|
50 |
01.11.2012 |
Измена |
0.585.208 |
|
51 |
01.11.2012 |
Искупление |
0.040.000 |
|
52 |
15.11.2012 |
Рассказы |
0.809.738 |
|
53 |
22.11.2012 |
Соловей-Разбойник |
5.216.913 |
|
54 |
29.11.2012 |
Бригада: Наследник |
7.882.086 |
|
55 |
29.11.2012 |
Джунгли |
11.812.124 |
|
56 |
29.11.2012 |
Конвой |
0.004.575 |
|
57 |
29.11.2012 |
Танец Дели |
0.043.000 |
|
58 |
29.11.2012 |
Дочь |
0.034.850 |
|
59 |
29.11.2012 |
День учителя |
Нет данных |
|
60 |
Все просто |
0.090.000 |
|
|
61 |
06.12.2012 |
Со мною вот что происходит |
0.017.459 |
|
62 |
06.12.2012 |
Я буду рядом |
0.038.000 |
|
63 |
13.12.2012 |
Я тоже хочу |
0.226.114 |
|
64 |
13.12.2012 |
Праздник взаперти |
0.030.889 |
|
65 |
27.12.2012 |
Три богатыря на дальних берегах |
31.505.876 |
|
66 |
27.12.2012 |
Джентльмены, удачи! |
9.802.581 |
|
67 |
27.12.2012 |
С новым годом, мамы! |
11.849.415 |
|
68 |
31.12.2012 |
Снежная королева |
7.650.774 |
Нетрудно заметить, что вышло 68 фильмов./23/ Для сравнения, за последние 5 лет максимальное количество фильмов вышло в 2008-2009 годах: по 78 в каждом. В 2010 году произошел спад: вышло 69 фильмов, в 2011 - 63./24/
Рассмотрим теперь, насколько прибыльны и
популярны российские фильмы. С учетом нынешней системы кинопроката, когда
правообладатели картины вынуждены отдавать 50 % сборов кинотеатрам, и еще 15 %
прокатчикам фильма, фильм при среднем бюджете в 1,5 миллиона долларов должен
заработать минимум 5 миллионов только, чтобы выйти в ноль. /6, с. 34/ Изучим,
сколько в 2012 году вышло относительно успешных и популярных фильмов(рис.1)
Рисунок 1
Доли фильмов по степени успешности в кинопрокате
Поскольку из 68 вышедших фильмов о сборах 4 из них нет данных, будем отталкиваться от цифры 64.
Под цифрой 1 скрываются фильмы, собравшие меньше миллиона долларов. Таковых 36. То есть 56 %.
- фильмы со сборами от 1 до 5 миллионов долларов. Их 13 или 20 % от общего числа.
- сборы от 5 до 10 миллионов долларов. 10 фильмов, 16 %.
- сборы от 10 до 20 миллионов долларов. 4 фильма. 6 %.
- сборы более 20 миллионов долларов, то есть полноценные блокбастеры. Только один фильм. 2 процента.
Учитывая тот факт, что как минимум половина фильмов убыточна, а другая половина чаще всего ограничивается лишь выходом в ноль, можно сделать вывод, что на данном этапе в массе своей российское кино целевой аудитории кинотеатров (молодежь от 13 до 25 лет) не интересно.
Подведем итоги. Мы изучили современное состояние
российского кинематографа и отношение зрителя к нему и на основе этих данных мы
можем сформулировать основные тенденции и пути решения наиболее весомых
проблем.
.2 Проблемы и тенденции российского
кинематографа
К сожалению, в большинстве случаев российская кинопродукция неконкурентоспособна. Ей не удается обогнать по сборам американские блокбастеры, в телевизионном эфире она терпит сокрушительное поражение по цифрам уже при первой трансляции и в дальнейшем может надеяться лишь на показы в раннее утро на каналах с аудиторией меньше 100 тысяч человек, а про продажи на DVD и размещение на платных Интернет-порталах и говорить не приходится. А ведь еще каких-то тридцать лет назад ежегодно зрители всей страны спешили в кинозалы на просмотр нашего кино, которое до сих пор обгоняет по цифрам голливудские блокбастеры.
За период с 1 сентября 2012 года в лидеры уик-энда удалось пробиться только следующим отечественным картинам: «Три богатыря на дальних берегах» (сборы 31 миллион долларов), «Легенда № 17» (сборы более 27 миллионов долларов), «Духless» (сборы 13 миллионов долларов), «Метро» (сборы 12 миллионов долларов), «Джунгли» (сборы более 11 миллионов долларов), «Что творят мужчины!» (сборы 10 миллионов долларов)./26/ Более 30 картин остались без внимания и не смогли окупить даже мизерную часть своих производственных затрат. Сейчас мы попытаемся Вам ответить на вопрос, на который уже двадцать лет никто не может ответить: как сделать российское кино конкурентоспособным. 99 % всех аналитиков и самих участников рынка уверены, что выдвигаемая депутатами идея ввести квоты на российские кино и заставлять кинотеатры его показывать (то есть по сути перенос на отечественную почву схемы, работающей во Франции) - абсолютная глупость, на данном историческом этапе киносети в силу своего опыта и профессионализма с точностью определяют, какие проекты какие сборы принесут, и любые силовые воздействия на данный бизнес уничтожат бизнес кинотеатров, которыми станут заполнены низкопробными комедиями, псевдоинтеллектуальным арт-хаусом и киноверсиями низкопробных телепроектов. На рынке уже были компании, пытавшиеся пробить нетипичные продукты на большие экраны. Мы имеем в виду провал ура-патриотической дилогии «Утомленные солнцем-2» (совокупные сборы двух частей 9 миллионов при затратах в 35 миллионов долларов) Никиты Михалкова, мощнейший обвал сборов замаскированного под западный блокбастер арт-хаус «Москва 2017», которому не помогла протекция сети «Каро» и круглосуточная реклама на ТНТ (все просто: один из режиссеров - заместитель гендиректора ТНТ, а второй - лучший в мире специалист по созданию трейлеров). Вывод: зрителю можно попробовать предложить что-то из ряда вон, но он быстро заметит обман, чем вызовет негативный сарафан и падение сборов в первый же уик-энд. Но это не значит, что не надо пытаться делать арт-хаус. Во-первых, у него узкая аудитория завсегдатаев кинотеатров вроде «Дома кино» и «Родины», во-вторых, есть режиссеры арт-хауса, работы которых смотрят, потому что продюсеры и прокатчики убедили всех, что это модно. Особенно это заметно по творчеству Андрея Звягинцева, чьи фильмы в ТВ-эфире несмотря на сложность для восприятия собирают долю до 30 процентов (то есть цифры, сравнимые с показом «Аватара» или «Глухаря»). К тому же действительно талантливое арт-кино (а не просто набор несвязных псевдоинтеллектуальных депрессивных сцен с отсутствием какой-либо логики) можно попытаться пристроить на западные кинорынки, где зритель уже приучился смотреть подобное кино. Когда в России поднимется рынок массового кино, можно будет думать о развитии рынка авторского, пока закончим этот разговор.
На наш взгляд, одна из основных проблем - отсутствие системного подхода в российском кинорынке. Если бы студии-лидеры вместе бы обсуждали идеи будущих проектов, возможно они бы задумались о том, что можно было бы найти каждому узкую, но глубокую специализацию: например, одним из лидеров 2012 года по сборам стала компания «Энджой-Мувис», работающая без финансовой господдержки и тем не менее выпускающая комедии, которые окупаются в первые 1,5 недели проката: «Что творят мужчины», «Тот еще Карлосон», «Беременный» и другие./23/ Более интеллектуальный уровень комедий предлагают Александр Цекало и «Квартет И», тоже работающие без господдержки и выпускающие популярные фильмы как «День радио» и «О чем говорят мужчины» (по данным Forbes, упомянутые нами Цекало и «Квартет И» - единственные продюсеры в России, чьи фильмы ни разу не провалились)./13, с. 85/ У «Эндожой-Мувис» только один провальный по сборам фильм - «Я буду рядом», который получил гран-при «Кинотавра» в 2012 году. Не будем именно по этой причине комментировать работу Фонда кино, поскольку не видим в ней упомянутой системности. Разумеется, слова Владимира Мединского, министра культуры, о том, что стране нужны патриотические фильмы, мы в расчет брать не будем, учитывая кассовый провал продвигавшегося им фильма «1812: Уланская баллада»./27/ Если удастся делать много успешных проектов в одном жанре, в одной системе координат, только тогда можно будет расширять границы деятельности.
Еще одна важная проблема - отсутствие кадров. Как так вышло, что в большинстве новых компаний должности продюсеров и сценаристов занимают КВНщики без профильного образования, а выпускники ВГИКа и СПБГУКиТа сидят годами без работы? Как заявил Валерий Федорович, руководитель департамента сериалов канала ТНТ, проблема в том, что в упомнятых вузах учат искусству, а не профессии, студенты живут в вымышленном мире, иллюзии, что они будут творить как Тарковский и искренне удивляется, что им придется потом минимум три года заниматься всем подряд на съемках скетчкомов и сериалов про бандитов./5, с. 83/ Еще зачастую в Google студенты могут найти более точную и достоверную информацию, чем та, которую им предоставляют не всегда компетентные и не всегда профпригодные преподаватаели. А студенты продолжают сидеть и мечтать как будут сразу создателями внезапно кассовых авторских картин и внедрять системы «Пиксара» и прочих. А на самом деле будут по 3 месяца работать бесплатно и делать так как удобно начальству, как дешевле. Не все готовы смириться с такой эклектикой существования. А самые напористые понимают: систему не сломать, нужно давать зрителю то, чего он хочет, при этом соблюдая нормы качества и при этом не пытаться воспитать зрителя.
Подведем итоги. Несмотря на редкие кассовые хиты
кинематографа, которым удается собрать большую аудиторию, в целом российский
кинематограф мало интересен зрителям. Продюсерам следует объединить усилия для
создания успешно работающего конвейера, а не штучного производства, которое в
подавляющем большинстве случаев не находит отклик у массовой аудитории, что
мешает рынку развиваться.
Глава 3. Прогнозирование числа выходящих
кинофильмов
.1 Прогнозирование числа выходящих кинофильмов
методом экстраполяции временного ряда
Для того, чтобы спрогнозировать методом экстраполяции, сколько составит число выходящих кинофильмов в ближайшие несколько лет на основании данных за последние пять лет, которые мы представляли в предыдущей главе, нам следует выполнить следующие действия:
. Построение графика, отражающего тенденцию
изменения числа выходящих кинофильмов во времени по исходным данным. Во-первых,
напомним исходные данные: в 2008 году в кинотеатрах эфире вышло в совокупности
78 российских фильмов, в 2009 году - 78, в 2010 - 69, в 2011 - 63, а в 2012
году 68 российских кинофильмов.. Для построения графика необходимо каждому году
присвоить порядковый номер: 2008 - 1, 2009 - 2, 2010 - 3, 2011 - 4, 2012 -
5(рис. 2.)
Рисунок 2
Число выходящих российских кинофильмов в 2008-2012 гг.
Анализ графика позволяет прийти к выводу, что общие условия, определяющие тенденцию изменения числа выходящих кинофильмов в прошлом, не претерпевают существенных изменений в будущем.
Вид кривой свидетельствует о линейной зависимости переменных - тенденция изменения числа выходящих кинофильмов характеризуется аналитическим уравнением прямой. Таким образом, выполняются оба условия для возможности применения метода экстраполяции динамического (временного) ряда при выполнении прогноза о количестве российских фильмов на 2013 год.
. Расчет параметров уравнения прямой.
Кривая числа выходящих кинофильмов по годам
близка к линейной зависимости, которая выражается уравнением прямой по формуле:
у=а+bх, (1)
где у- количество выходящих кинофильмов;
х - порядковый номер года;
а - параметр, характеризующий влияние основных факторов на выход кинофильмов (бюджет кинофильма, зрительские ожидания);- параметр, характеризующий влияние вспомогательных факторов на выход фильмов (моды, сезонности и др.).
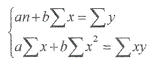
Для нахождения параметров уравнения прямой необходимо составить
и решить систему уравнений по формуле :
(2)
Для решения системы уравнений необходимо провести дополнительные расчеты(таблица 3.1).
Таблица 3.1
Таблица для расчета параметров уравнения прямой
|
Порядковый номер года, х |
Число выходящих в прокат российских к/ф (шт.), у |
ху |
х2 |
|
1 |
2 |
3 |
4 |
|
1 |
78 |
78 |
1 |
|
2 |
78 |
156 |
4 |
|
3 |
69 |
207 |
9 |
|
4 |
63 |
252 |
16 |
|
5 |
68 |
340 |
25 |
|
Итого: 15 |
356 |
1033 |
55 |