Анализ и оптимизация технологического режима работы добывающей скважины
Министерство
образования и науки РФ
Федеральное
государственное бюджетное образовательное учреждение высшего профессионального
образования
Пермский
Национальный Исследовательский Политехнический Университет
Кафедра
Нефтегазовые Технологии
Курсовой проект
по дисциплине:
Скважинная
добыча нефти в осложненных условиях
На тему:
Анализ и оптимизация технологического режима работы добывающей скважины
Пермь, 2015
Исходные данные для курсового проектирования по
дисциплине «Скважинная добыча нефти в осложненных условиях»
|
Параметры
обозначения
|
Варианты
|
|
1
|
2
|
3
|
4
|
5
|
6
|
7
|
8
|
9
|
10
|
11
|
12
|
13
|
14
|
15
|
16
|
17
|
18
|
19
|
20
|
21
|
|
,
м
|
1750
|
1620
|
1810
|
1950
|
1680
|
1770
|
1900
|
1800
|
1700
|
1820
|
1730
|
1870
|
1920
|
1840
|
1710
|
1650
|
1940
|
1880
|
1720
|
1850
|
1960
|
|
,
МПа
|
17,6
|
16,1
|
18,0
|
19,3
|
16,9
|
17,6
|
18,9
|
17,9
|
17,1
|
18,1
|
17,4
|
18,6
|
19,1
|
18,5
|
17,0
|
16,5
|
19,3
|
18,7
|
17,3
|
18,4
|
19,5
|
|
,
МПа
|
13,5
|
12,58
|
14,0
|
14,2
|
11,8
|
12,3
|
13,7
|
12,5
|
12,1
|
13,2
|
12,0
|
12,4
|
14,3
|
13,0
|
11,8
|
8,0
|
12,5
|
12,1
|
11,0
|
11,5
|
14,1
|
|
,
/т
|
70
|
80
|
90
|
85
|
75
|
105
|
120
|
110
|
115
|
70
|
80
|
90
|
85
|
75
|
105
|
60
|
110
|
115
|
65
|
85
|
95
|
|
,
°С
|
28
|
26
|
31
|
33
|
27
|
30
|
34
|
32
|
25
|
31
|
30
|
34
|
32
|
31
|
28
|
24
|
32
|
30
|
28
|
29
|
32
|
|
,
м
|
6,0
|
4,0
|
5,0
|
4,5
|
5,5
|
3,5
|
6,0
|
4,5
|
4,0
|
5,5
|
7,0
|
3,5
|
3,0
|
4,5
|
4,0
|
5,0
|
6,5
|
7,0
|
4,5
|
3,5
|
4,0
|
|
S
|
3,0
|
2,0
|
2,5
|
3,5
|
4,0
|
3,0
|
2,0
|
2,5
|
3,5
|
4,0
|
3,0
|
2,0
|
2,5
|
3,5
|
4,0
|
3,0
|
2,0
|
2,5
|
3,5
|
4,0
|
3,0
|
|
,
кг/
|
810
|
800
|
780
|
790
|
815
|
770
|
770
|
790
|
780
|
830
|
820
|
790
|
800
|
815
|
785
|
780
|
800
|
795
|
840
|
805
|
780
|
|
,
мПа*с
|
2,5
|
2,0
|
2,0
|
2,5
|
4,5
|
2,5
|
1,5
|
3,0
|
3,0
|
5,5
|
4,0
|
2,5
|
4,5
|
5,5
|
3,5
|
3,0
|
4,0
|
3,5
|
8,0
|
5,0
|
3,0
|
|
,
°С
|
18
|
16
|
14
|
17
|
15
|
14
|
19
|
16
|
18
|
17
|
15
|
13
|
16
|
14
|
18
|
15
|
16
|
14
|
17
|
15
|
19
|
|
,
°С
|
24
|
22
|
21
|
23
|
21
|
21
|
25
|
23
|
24
|
24
|
22
|
21
|
23
|
22
|
24
|
21
|
22
|
20
|
24
|
23
|
24
|
|
,т/сут(УСШН)
|
8
|
10
|
12
|
14
|
12
|
10
|
8
|
14
|
12
|
10
|
8
|
14
|
12
|
10
|
8
|
14
|
5
|
7
|
9
|
11
|
15
|
|
,т/сут
(УЭЦН)
|
25
|
30
|
35
|
40
|
45
|
50
|
25
|
30
|
35
|
40
|
45
|
50
|
25
|
30
|
35
|
40
|
45
|
50
|
25
|
30
|
35
|
|
Коллектор
|
к
|
т
|
к
|
т
|
к
|
т
|
к
|
т
|
к
|
т
|
к
|
к
|
т
|
к
|
к
|
Т
|
к
|
т
|
к
|
к
|
т
|
Общие данные:
=0,146
м;
=1
МПа;
=10
% (масс.);
= 800 м;
=1
МПа;
=50
% (масс.);
=200 м;
=30
м; β=0,85
(УСШН);
α = 25 °;
=6
°С;
=0,1
(УЭЦН);
1. Выбор и обоснование метода и
технологии воздействия на призабойную зону пласта. Описание технологического
процесса
В связи с ухудшенным состоянием призабойной зоны
пласта (rпзп=5м), о котором говорит скин-фактор S=3, рекомендуется провести
кислотную обработку.
Методы кислотного воздействия основаны на способности
некоторых кислот растворять горные породы или цементирующий материал. Для
обработки пластов-коллекторов, представленных терригенными песчано-алевритовыми
отложениями, применяют специальные кислотные смеси, получившие название
глинокислот.
Глиняной кислотой называется смесь 3-5%-й
фтористо-водородной (HF) и 8-10%-й соляной кислот. Терригенные коллекторы, как
правило, содержат малое количество карбонатов, в среднем 1-5% по массе.
Основная масса таких коллекторов представлена силикатными веществами (кварц) и
алюмосиликатами (каолин).
При контакте глиняной кислоты с терригенными
породами небольшое количество карбонатного материала, реагируя с
солянокислотной частью раствора, растворяется, а фтористо-водородная кислота,
медленно реагирующая с кварцем и алюмосиликатами, достаточно глубоко проникает
в призабойную зону скважины.
Основные реакции протекают следующим образом:
SiF4 + 4H20 = Si(0Н)4
+ 2Н2SiF6
Кремнефтористоводородная кислота Н2SiF6 остается
в растворе, а кремниевая кислота Si(0Н)4 при понижении кислотности раствора
может образовывать гель кремниевой кислоты, выпадающий в осадок и
закупоривающий призабойную зону.
Реакция алюмосиликатов с HF такова:
H4Al2Si209
+
14HF = 2A1F3
+
2SiF4
+
9Н20
Соль фтористого алюминия A1F3 остается в
растворе, а фтористый кремний SiF4, соединяясь с водой образует Si(0Н)4 и
Н2SiF6.
Таким образом, общая реакция следующая:
H4Al2Si209 + 12HF = 2A1F3 + Si(0Н)4
+ Н2SiF6
+ 5Н20
Соляная кислота в смеси с HF служит не только
для растворения карбонатного материала терригенного коллектора, о чем уже
гвоорилось, но в значительной степени она предотвращает образование гелей
кремниевой кислоты, удерживая кремниевую кислоту в растворе. Фтористоводородная
кислота реагирует и с карбонатами, например, с известняком:
CaCO3 + HF
= CaF2 + H2O
+ CO2
Фторид кальция выпадает в осадок, приводя к
снижению проницаемости. Поэтому соляная кислота, входящая в состав глиняной,
предотвращает образование CaF2.
Технология проведения глинокислотной обработки
заключается в последовательном выполнении следующих операций:
Промывка скважины. В процессе этой операции
скважина очищается не только от грязи, но и от отложений смол, парафинов и
асфальтенов. В качестве жидкостей промывки используются: керосин, дизельное
топливо, пропан-бутановая фракция и другие растворители. После промывки
добывающая скважина заполняется нефтью.
Закачивают расчетный оббьем кислотного раствора
в скважину.
Продавливают кислотный раствор в призабойную
зону скважины, прододжая агрегатом закачку расчетного обьема в скважину. Затем
кислотный раствор продавливается нефтью или водой до полного его полглощения
пластом. После задавки кислотного раствора в пласт скважина закрывается.
Нейтрализация кислотного раствора за счет
реагирования его с обрабатываемой породой. Время нейтрализации зависит от
давления и температуры и изменяется от 1 ч. до 36 ч.
После нейтрализации кислотного раствора проводят
вызов притока и освоение, а затем исследование скважины. По результатам
исследования до обработки и после судят о его технологическом эффекте.
2. Техника, применяемая при
кислотной обработке
Приготовление кислотного раствора, как правило,
осуществляется на специальных кислотных базах, организованных на территории
нефтедобывающего района. Для перевозки необходимых объемов кислотного раствора
на скважины используются автоцистерны различного объема (до 20 м3). Перекачка
осуществляется специальными центробежными насосами кислотоупорного исполнения.
Закачка кислотных растворов в скважину
осуществляется специальными насосными агрегатами на автомобильном шасси,
например, «Азинмаш 30 А». Насосный агрегат включает в себя гуммированную
цистерну для кислотного раствора, насос высокого давления с приводом от коробки
отбора мощности автомобиля. Давление, создаваемое таким насосом, меняется от
единиц до десятков МПа. Наряду с насосным агрегатом, для кислотных обработок
используется цементировочный агрегат (типа ЦА-320М), который играет роль
подпорного насоса для основного агрегата, подавая технологические жидкости на
прием силового насоса. Кроме того, агрегат ЦА-320М, оборудованный насосом
низкого давления и емкостями, позволяющими перемешивать кислотный раствор с
различными реагентами, добавляемыми в него на скважине.
Важнейшим техническим элементом при проведении
кислотной обработки является специальная устьевая головка высокого давления на
быстросъемных соединениях. Головка оборудована обратным клапаном и задвижкой
высокого давления, соединенной с выкидом насосного агрегата.
Рис. 1 - Примерная схема обвязки наземного
оборудования при глинокислотной обработке: 1 - передвижная емкость для кислоты;
2 - стационарная емкость для кислоты; 3 - емкость для нефти; 4 -
цементировочный агрегат; 5 - установка насосная АзИНМАШ-ЗОА; 6 - бункеры; 7 -
основной насос; 8 - водяной насос; 9 - резервуар; 10 - насос; 11 - скважина
Расчет распределения плотности ГЖС (
),
удельного газосодержания жидкости (βг)
и температуры (tскв) в интервале «забой- прием скважинного насоса». Построение
зависимости для
, βг,
tскв.
УСШН
а)
=10
% (масс.)
Расчет производим «снизу-вверх».
)Для расчета f принимаем
А для расчета dp/dH,
принимаем:
Зададимся 10 интервалами, тогда
) Определим температурный градиент потока
Где
-
средний геотермический градиент скважины
тогда
) Определим температуру на затрубе скважины
) Определяем температуру потока, соответствующую
заданным давлениям
) Рассчитаем текущее равновесное давление
насыщения при
:
где
и
-
соответственно молярные доли метана и азота в попутном газе
Массовый состав смеси принимаем
) Рассчитываем относительную
плотность газа по воздуху:
Молекулярная масса газа:
Вычисляем молекулярную массу данного
газа:

) Определим объем выделившегося газа
, где
) Определим остаточную газонасыщенность нефти в
процессе разгазирования (Р=1,5 МПа; Т=294 К)
) Определим относительную плотность
выделившегося газа
, где
) Определим относительную плотность
растворенного газа, остающегося в нефти при данных условиях ее разгазирования
) Определим удельное приращение объема нефти за
счет единичного изменения ее газонасыщенности
и
объемный коэффициент нефти
12) Определим коэффициент сверхсжимаемости газа
а) Определим Рпр и Тпр
Таблица 1 - Данные о критических давлениях и
температуре различных компонентов
|
Параметры
|
      
|
|
|
|
|
|
|
|
|
4,74,94,33,83,47,43,49
|
|
|
|
|
|
|
|
|
|
190,7306,2369,8425,2470,4304,2126,2373,6
|
|
|
|
|
|
|
|
|
б) Определим коэффициент
сверхсжимаемости для азота
в) Определим коэффициент
сверхсжимаемости углеводородной составляющей газа
т.к Рпр находится в интервале 0≤Рпр≤3,8
,а Тпр - в интервале 1,17≤Тпр≤2,0, то
г) Определим коэффициент
сверхсжимаемости газовой смеси
) Определяем удельный объем газожидкостной смеси
) Определим удельную массу смеси при стандартных
условиях
) Определяем корреляционный коэффициент
необратимых потерь давления
) Определим идеальную плотность жидкостной смеси
) Определяем полный градиент давления в точках с
заданными давлениями Р<Рнас
) Определяем dH/dP
) Проводим численное интегрирование зависимости
dH/dP=f(P)
) Определим удельный объём газа
3. Расчет распределения давления в
ЭК при обводненности n=10%. УСШН
Таблица 2
|
Р,
МПа
|
Т,
К
|
Vгв
м3/т
|
ρгв
м3/ м3
|
βг,
м3/м3
|
bн
|
Рпр
|
Тпр
|
z
|
Vсм
м3/ м3
|
Мсм
кг/ м3
|
ρсм
и кг/ м3
|
dP/dH
МПа/м
|
dH/dP
м/МПа
|
H,
м
|
|
12,25
|
291,56
|
0,00
|
0,7081
|
0,0000
|
1,1369
|
2,9306
|
1,2194
|
0,6355
|
1,2480
|
1084,02
|
868,63
|
0,00883
|
113,29
|
1650,00
|
|
11,125
|
290,12
|
0,00
|
0,6988
|
0,0000
|
1,1371
|
2,6615
|
1,2134
|
0,6342
|
1,2482
|
1084,02
|
868,45
|
0,00883
|
113,31
|
1522,54
|
|
10
|
288,67
|
0,00
|
0,6896
|
0,0000
|
1,1374
|
2,3923
|
1,2073
|
0,6417
|
1,2485
|
1084,02
|
868,27
|
0,00882
|
113,33
|
1395,06
|
|
8,875
|
287,23
|
0,00
|
0,6806
|
0,0000
|
1,1377
|
2,1232
|
1,2013
|
0,6572
|
1,2488
|
1084,02
|
868,08
|
0,00882
|
113,35
|
1267,54
|
|
7,75
|
285,79
|
0,23
|
0,6720
|
0,0149
|
1,1339
|
1,8541
|
1,1953
|
0,6802
|
1,2471
|
1084,02
|
869,24
|
0,00883
|
113,21
|
1140,10
|
|
6,625
|
284,35
|
3,04
|
0,6640
|
0,1656
|
1,1268
|
1,5849
|
1,1893
|
0,7100
|
1,2717
|
1084,02
|
852,39
|
0,00867
|
115,29
|
1011,57
|
|
5,5
|
282,91
|
6,25
|
0,6570
|
0,2897
|
1,1188
|
1,3158
|
1,1832
|
0,7458
|
1,3174
|
1084,02
|
822,83
|
0,00839
|
119,12
|
879,71
|
|
4,375
|
281,47
|
10,03
|
0,6519
|
0,3957
|
1,1095
|
1,0467
|
1,1772
|
0,7871
|
1,4060
|
1084,02
|
771,00
|
0,00791
|
126,45
|
741,57
|
|
3,25
|
280,03
|
14,71
|
0,6505
|
0,4899
|
1,0980
|
0,7775
|
1,1712
|
0,8330
|
1,5946
|
1084,02
|
679,82
|
0,00706
|
141,65
|
590,77
|
|
2,125
|
278,59
|
21,02
|
0,6577
|
0,5784
|
1,0827
|
0,5084
|
1,1651
|
0,8827
|
2,0815
|
1084,02
|
520,79
|
0,00562
|
177,97
|
410,99
|
|
1
|
277,15
|
31,20
|
0,6949
|
0,6707
|
1,0577
|
0,2392
|
1,1591
|
0,9357
|
4,1218
|
1084,02
|
262,99
|
0,00359
|
278,54
|
154,20
|
Рис. 2 - График распределения давления в ЭК
Рис. 3 - График распределения плотности ГЖС в ЭК
Рис. 4 - График распределения температуры ГЖС в
ЭК
Рис. 5 - График распределения удельного газосодержания
жидкости в ЭК
б)
=50
% (масс.).
) Определим температурный градиент потока
Где
-
средний геотермический градиент скважины
тогда
Дальнейший расчет см. пункт а).
4. Расчет распределения давления в
ЭК при обводненности n=50%. УСШН
Таблица 3
|
Р,
МПа
|
Т,
К
|
Vгв
м3/т
|
ρгв
м3/ м3
|
βг,
м3/м3
|
bн
|
Рпр
|
Тпр
|
z
|
Vсм
м3/ м3
|
Мсм
кг/ м3
|
ρсм
и кг/ м3
|
dP/dH
МПа/м
|
dH/dP
м/МПа
|
H,
м
|
|
12,25
|
291,55
|
0
|
0,7081
|
0
|
1,1565
|
2,9306
|
1,2194
|
0,6355
|
2,1086
|
2061,80
|
977,82
|
0,00988
|
101,23
|
1650,00
|
|
11,125
|
290,11
|
0
|
0,6988
|
0
|
1,1514
|
2,6615
|
1,2134
|
0,6342
|
2061,80
|
976,70
|
0,00987
|
101,34
|
1536,05
|
|
10
|
288,67
|
0
|
0,6896
|
0
|
1,1460
|
2,3923
|
1,2073
|
0,6417
|
2,1151
|
2061,80
|
974,82
|
0,00985
|
101,53
|
1421,94
|
|
8,875
|
287,23
|
0
|
0,6806
|
0
|
1,1402
|
2,1232
|
1,2013
|
0,6572
|
2,1225
|
2061,80
|
971,42
|
0,00982
|
101,86
|
1307,54
|
|
7,75
|
285,79
|
0,23
|
0,6720
|
0,0161
|
1,1339
|
1,8541
|
1,1953
|
0,6802
|
2,1360
|
2061,80
|
965,27
|
0,00976
|
102,47
|
1192,60
|
|
6,625
|
284,35
|
3,04
|
0,6640
|
0,1767
|
1,1268
|
1,5849
|
1,1892
|
0,7099
|
2,1606
|
2061,80
|
954,26
|
0,00965
|
103,58
|
1076,70
|
|
5,5
|
282,90
|
6,25
|
0,6570
|
0,3061
|
1,1188
|
1,3158
|
1,1832
|
0,7458
|
2,2063
|
2061,80
|
934,50
|
0,00947
|
105,63
|
959,01
|
|
4,375
|
281,46
|
10,03
|
0,6519
|
0,4145
|
1,1095
|
1,0467
|
1,1772
|
0,7871
|
2,2949
|
2061,80
|
898,44
|
0,00912
|
109,59
|
837,95
|
|
3,25
|
280,02
|
14,71
|
0,6504
|
0,5095
|
1,0980
|
0,7775
|
1,1711
|
0,8330
|
2,4834
|
2061,80
|
830,22
|
0,00848
|
117,91
|
709,98
|
|
2,125
|
278,58
|
21,02
|
0,6577
|
0,5973
|
1,0827
|
0,5084
|
1,1651
|
0,8827
|
2,9703
|
2061,80
|
694,13
|
0,00721
|
138,65
|
565,67
|
|
1
|
277,14
|
31,20
|
0,6948
|
0,6877
|
1,0577
|
0,2392
|
1,1591
|
0,9357
|
5,0105
|
2061,80
|
411,50
|
0,00472
|
212,03
|
368,41
|
Рис. 6 - График распределения давления в ЭК
Рис. 7 - График распределения плотности ГЖС в ЭК
Рис. 8 - График распределения температуры ГЖС в
ЭК
Рис. 9 - График распределения удельного газосодержания
в ЭК
УЭЦН
а)
=10
% (масс.)
) Определим температурный градиент потока
Где
-
средний геотермический градиент скважины
тогда
) Определим температуру на затрубе скважины
Дальнейший расчет см. пункт «УСШН а)».
5. Расчет распределения давления в
ЭК при обводненности n=10% УЭЦН
Таблица 4
|
Р,
МПа
|
Т,
К
|
Vгв
м3/т
|
ρгв
м3/ м3
|
βг,
м3/м3
|
bн
|
Рпр
|
Тпр
|
z
|
Vсм
м3/ м3
|
Мсм
кг/ м3
|
ρсм
и кг/ м3
|
dP/dH
МПа/м
|
dH/dP
м/МПа
|
H,
м
|
|
12,25
|
291,60
|
0
|
0,7083
|
0
|
1,1565
|
2,9306
|
1,2196
|
0,6356
|
1,2197
|
1084,02
|
888,77
|
0,00879
|
113,78
|
1650,00
|
|
11,125
|
290,18
|
0
|
0,6990
|
0
|
1,1515
|
2,6615
|
1,2136
|
0,6345
|
1,2221
|
1084,02
|
887,01
|
0,00877
|
114,00
|
1521,88
|
|
10
|
288,75
|
0
|
0,6898
|
0
|
1,1461
|
2,3923
|
1,2076
|
0,6420
|
1,2262
|
1084,02
|
884,04
|
0,00874
|
114,37
|
1393,42
|
|
8,875
|
287,32
|
0
|
0,6809
|
0
|
1,1403
|
2,1232
|
1,2017
|
0,6575
|
1,2336
|
1084,02
|
878,72
|
0,00869
|
115,06
|
1264,37
|
|
7,75
|
285,89
|
0,24
|
0,6724
|
0,0054
|
1,1339
|
1,8541
|
1,1957
|
0,6806
|
1,2472
|
1084,02
|
869,17
|
0,00860
|
116,30
|
1134,23
|
|
6,625
|
284,46
|
3,05
|
0,6644
|
0,0651
|
1,1269
|
1,5849
|
1,1897
|
0,7104
|
1,2719
|
1084,02
|
852,27
|
0,00843
|
118,56
|
1002,12
|
|
5,5
|
283,03
|
6,26
|
0,6575
|
0,1251
|
1,1189
|
1,3158
|
1,1837
|
0,7462
|
1,3177
|
1084,02
|
822,64
|
0,00815
|
122,76
|
866,38
|
|
4,375
|
281,60
|
10,04
|
0,6524
|
0,1867
|
1,1096
|
1,0467
|
1,1778
|
0,7875
|
1,4065
|
1084,02
|
770,72
|
0,00764
|
130,86
|
723,72
|
|
3,25
|
280,18
|
14,73
|
0,6510
|
0,2518
|
1,0981
|
0,7775
|
1,1718
|
0,8333
|
1,5955
|
1084,02
|
679,41
|
0,00676
|
147,99
|
566,87
|
|
2,125
|
278,75
|
21,04
|
0,6583
|
0,3247
|
1,0828
|
0,5084
|
1,1658
|
0,8830
|
2,0835
|
1084,02
|
520,29
|
0,00522
|
191,41
|
375,96
|
|
1
|
277,32
|
31,24
|
0,6956
|
0,4165
|
1,0578
|
0,2392
|
1,1598
|
0,9358
|
4,1279
|
1084,02
|
262,61
|
0,00281
|
355,28
|
68,44
|
Рис. 10 - График распределения давления в ЭК
Рис. 11 - График распределения плотности ГЖС в
ЭК
Рис. 12 - График распределения температуры ГЖС в
ЭК
Рис. 13 - График распределения удельного газосодержания
в ЭК
а)
=50
% (масс.)
Где
-
средний геотермический градиент скважины
тогда
Дальнейший расчет см. пункт «УСШН а)».
6. Расчет распределения давления в
ЭК при обводненности n=50% УЭЦН
Таблица 5
|
Р,
МПа
|
Т,
К
|
Vгв
м3/т
|
ρгв
м3/ м3
|
βг,
м3/м3
|
bн
|
Рпр
|
Тпр
|
z
|
Vсм
м3/ м3
|
Мсм
кг/ м3
|
ρсм
и кг/ м3
|
dP/dH
МПа/м
|
dH/dP
м/МПа
|
H,
м
|
|
12,25
|
291,60
|
0
|
0,7083
|
0
|
1,1565
|
2,9306
|
1,2196
|
0,6356
|
2,1086
|
2061,80
|
977,81
|
0,00966
|
103,55
|
1650,00
|
|
11,125
|
290,17
|
0
|
0,6990
|
0
|
1,1515
|
2,6615
|
1,2136
|
0,6345
|
2,1110
|
2061,80
|
976,69
|
0,00965
|
103,66
|
1533,44
|
|
10
|
288,74
|
0
|
0,6898
|
0
|
1,1461
|
2,3923
|
1,2076
|
0,6419
|
2,1151
|
2061,80
|
974,80
|
0,00963
|
103,86
|
1416,71
|
|
8,875
|
287,31
|
0
|
0,6809
|
0
|
1,1403
|
2,1232
|
1,2016
|
0,6575
|
2,1225
|
2061,80
|
971,39
|
0,00959
|
104,22
|
1299,67
|
|
7,75
|
285,88
|
0,24
|
0,6723
|
0,0058
|
1,1339
|
1,8541
|
1,1956
|
0,6805
|
2,1361
|
2061,80
|
965,23
|
0,00953
|
104,88
|
1182,05
|
|
6,625
|
284,45
|
3,05
|
0,6644
|
0,0700
|
1,1269
|
1,5849
|
1,1897
|
0,7103
|
2,1608
|
2061,80
|
954,19
|
0,00943
|
106,07
|
1063,39
|
|
5,5
|
283,02
|
6,26
|
0,6574
|
0,1339
|
1,1189
|
1,3158
|
1,1837
|
0,7462
|
2,2066
|
2061,80
|
934,38
|
0,00923
|
108,29
|
942,81
|
|
4,375
|
281,59
|
10,04
|
0,6524
|
0,1988
|
1,1096
|
1,0467
|
1,1777
|
0,7874
|
2,2953
|
2061,80
|
898,25
|
0,00888
|
112,58
|
818,57
|
|
3,25
|
280,16
|
14,73
|
0,6510
|
0,2668
|
1,0981
|
0,7775
|
1,1717
|
0,8333
|
2,4843
|
2061,80
|
829,93
|
0,00822
|
121,68
|
686,80
|
|
2,125
|
278,73
|
21,04
|
0,6583
|
0,3420
|
1,0828
|
0,5084
|
1,1657
|
0,8829
|
2,9722
|
2061,80
|
693,70
|
0,00690
|
144,99
|
536,80
|
|
1
|
277,30
|
31,24
|
0,6955
|
0,4356
|
1,0578
|
0,2392
|
1,1598
|
0,9358
|
5,0161
|
2061,80
|
411,04
|
0,00419
|
238,81
|
320,91
|
Рис. 14 - График распределения давления в ЭК
Рис. 15 - График распределения плотности ГЖС в
ЭК
Рис. 16 - График распределения температуры ГЖС в
ЭК
Рис. 17 - График распределения удельного
газосодержания в ЭК
Определение глубины подвески скважинного насоса
с учетом допустимого содержания свободного газа в откачиваемой жидкости и
необходимости выноса воды с забоя скважины.
УСШН
Условия: β=0,85, вынос
воды с забоя.
а)
=10
%
Рис. 18 - График распределения давления в НКТ и
ЭК
.Проверяем выполнение условий выноса
(ненакопления) воды в интервале «забой-прием».
Где
-
приведенная скорость нефти в колонне диаметром
,
м/с;
- кинематическая
вязкость нефти, м2/с.
Условие полного выноса воды из интервала
«забой-прием»:случай
Вне зависимости выполнения условия
,
где
-
необходимая глубина спуска лифта.случай
Численное значение
рассчитывается
по зависимости
.
на глубине
. По графику определим глубину погружения насоса
Давление на приеме насоса
9,56 МПа
Рассчитаем физические свойства продукции на
приеме насоса
) Определим количество растворенного в нефти
газа
Где С = 0,5 - эмпирический коэффициент
) Определим объемные коэффициенты нефти и
жидкости
в) Определим расход жидкости
Где
-
дебит дегазированной нефти;
- планируемый дебит
жидкости
г) Определим расход свободного газа
Где
коэффициент
сверхсжимаемости газа;
- средняя
температура в стволе скважины;
д) Определим расход газожидкостной смеси
3) По графику на рис. определим давление на
выходе из насоса
) Аналогично рассчитаем физические свойства продукции
на выходе из насоса. Результаты запишем в таблицу 6
Таблица 6
|
|
|
|
,
м3/м3
|
60
|
60
|
|
|
1,1416
|
1,1462
|
|
|
1,127399539
|
1,1315
|
|
,
м3/с
|
0,000160
|
0,000160
|
|
,
м3/с
|
0,000200
|
0,000201
|
|
м3/с
|
0,00
|
0,00
|
|
,м3/с
|
0,000200
|
0,000201
|
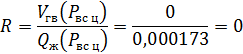
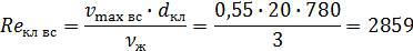
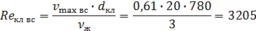
) Определим потери давления в клапанах насоса
Примем, что
и
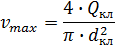
Определим максимальную скорость движения
жидкости в отверстии седла клапана
Для подобранного насоса диаметр клапанов d=20 и
14 мм
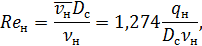
в) Определим число Re
В качестве
выбираем
вязкость того компонента, содержание которого в откачиваемой продукции
наибольшее
г) По графику Степановой определяем коэффициент
расхода клапана
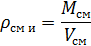
д) Определим плотность дегазированной жидкости
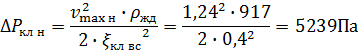
е) Определим потери давления
) Определим давление в цилиндре насоса при
всасывании и нагнетании
) Рассчитаем количество утечек в зазоре
плунжерной пары
Где Сэ - относительный эксцентриситет
расположения плунжера в цилиндре; Lпл - длина плунжера;
-
зазор между плунжером в цилиндром при их концентричном расположении
/с
нет свободного
газа
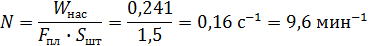
) Рассчитаем коэффициент наполнения
удовлетворяет условию.
б)
=50
%
Рис. 19 - График распределения давления в НКТ и
ЭК
Аналогично рассчитаем физические свойства
продукции на приеме и выходе из насоса. Результаты запишем в таблицу 7
Таблица 7
|
|
|
|
,
м3/м3
|
60
|
60
|
|
|
1,1406
|
1,1496
|
|
|
1,0703
|
1,0748
|
|
,
м3/с
|
0,000082
|
0,000082
|
|
,
м3/с
|
0,000175
|
0,000176
|
|
м3/с
|
0,00
|
0,00
|
|
,м3/с
|
0,000175
|
0,000176
|
5) Определим потери давления в клапанах насоса
Примем, что
и
Определим максимальную скорость движения
жидкости в отверстии седла клапана
Для подобранного насоса НСВ1-32 диаметр клапанов
d=20 мм и d=14 мм
в) Определим число Re
В качестве
выбираем
вязкость того компонента, содержание которого в откачиваемой продукции
наибольшее
г) По графику Степановой определяем коэффициент
расхода клапана
д) Определим плотность дегазированной жидкости
е) Определим потери давления
6) Определим давление в цилиндре насоса при
всасывании и нагнетании
) Рассчитаем количество утечек в зазоре плунжерной
пары
Где Сэ - относительный эксцентриситет
расположения плунжера в цилиндре; Lпл - длина плунжера;
-
зазор между плунжером в цилиндром при их концентричном расположении
/с
) Рассчитаем коэффициент наполнения
удовлетворяет
условию.
УЭЦН
Условия: βвх=0,1,
вынос воды с забоя.
а)
=10
%
Рис. 20 - График распределения давления в НКТ и
ЭК
.Проверяем выполнение условий выноса
(ненакопления) воды в интервале «забой-прием».
Где
-
приведенная скорость нефти в колонне диаметром
,
м/с;
- кинематическая
вязкость нефти, м2/с.
Условие полного выноса воды из интервала
«забой-прием»:
Вне зависимости выполнения условия
,
где
-
необходимая глубина спуска лифта => происходит полный вынос воды с забоя, на
любой глубине спуска лифта.
. Так как при любой глубине спуска насоса будет
выполняться условие выноса воды, то мы спустим на глубину где
=8
МПа.
МПа.
При таких условиях
,
что удовлетворяет условию =>
.
б)
=50
%
Рис. 21 - График распределения давления в НКТ и
ЭК.
.Проверяем выполнение условий выноса
(ненакопления) воды в интервале «забой-прием».
Где
-
приведенная скорость нефти в колонне диаметром
,
м/с;
- кинематическая
вязкость нефти, м2/с.
Условие полного выноса воды из интервала
«забой-прием»:
Вне зависимости выполнения условия
,
где
-
необходимая глубина спуска лифта => происходит полный вынос воды с забоя, на
любой глубине спуска лифта.
. Так как при любой глубине спуска насоса будет
выполняться условие выноса воды, то мы спустим на глубину где
=8
МПа.
При таких условиях
,
что удовлетворяет условию =>
.
Выбор скважинной насосной установки (УСШН и
УЭЦН)
УСШН
а)
=10
%
Для данной скважины подобран насос НСВ1-32 и по
графику Адонина 5СК-6-1,5-1600
) Рассчитаем коэффициент усадки нефти
) Рассчитаем требуемую подачу насоса
С другой стороны
Где
-
площадь поперечного сечения плунжера;
-
длина хода полированного штока; N - число двойных ходов;
) Задаемся значением
,
тогда
) Определим величины упругих деформаций штанг и
труб
Где
-
длина колонны штанг;
- площадь
поперечного сечения труб; Е - модуль упругости материала штанг
Где
-
доля штанг с площадью поперечного сечения
в
общей длине штанговой колонны;
Тогда
) Рассчитаем коэффициент деформации
) Рассчитаем коэффициент утечек
7) Рассчитаем коэффициент подачи
б)
=50
%
Для данной скважины подобран насос НСВ1-32 и по
графику Адонина 5СК-6-1,5-1600
) Рассчитаем коэффициент усадки нефти
) Рассчитаем требуемую подачу насоса
С другой стороны
Где
-
площадь поперечного сечения плунжера;
-
длина хода полированного штока; N - число двойных ходов;
) Задаемся значением
,
тогда
) Определим величины упругих деформаций штанг и
труб
Где
-
длина колонны штанг;
- площадь
поперечного сечения труб; Е - модуль упругости материала штанг
Где
-
доля штанг с площадью поперечного сечения
в
общей длине штанговой колонны;
Тогда
) Рассчитаем коэффициент деформации
) Рассчитаем коэффициент утечек
) Рассчитаем коэффициент подачи
УЭЦН
Необходимый напор ЭЦН можно определить из
уравнения основной характеристики:
где
-
динамический уровень, из графика распределения = 68 м.
- напор, затрачиваемый
на создание противодавления, на устье;
- потери напора на
трение при движении ГЖС в НКТ;
- положительная
работа выделившегося из нефти газа по подъему жидкости, выраженная в метрах
столба жидкости.
Напор, затрачиваемый на создание
противодавления, на устье:
где
-
средняя плотность жидкости в НКТ
Потери напора на трение при движении ГЖС в НКТ:
где
-
скорость движения жидкости в НКТ, м/с:
Определим число Рейнольдса:
Т. к. режим движения жидкости турбулентный,
коэффициент гидравлических сопротивлений найдем по формуле:
Тогда потери напора на трение при движении ГЖС в
НКТ:
Положительная работа выделившегося из нефти газа
по подъему жидкости, выраженная в метрах столба жидкости.
Тогда требуемый напор насоса:
Теперь по известному дебиту 43,8 м3/сут и по
найденному необходимому напору 173,67 м выбираем насос ЭЦН5-80-1400. в=50%:
=
939 м, Qж=110,4 м3/сут
Таблица 8 - Характеристики рабочей области
насоса
|
(nв=10%)
|
Номинальная
подача, м3/сут
|
Напор,
м
|
КПД,
%
|
Рабочая
область
|
|
|
|
|
Подача,
м3/сут
|
Напор,
м
|
|
ЭЦН5-30-450
|
30
|
450
|
|
20-40
|
|
|
(nв=50%)
|
Номинальная
подача, м3/сут
|
Напор,
м
|
КПД,
%
|
Рабочая
область
|
|
|
|
|
Подача,
м3/сут
|
Напор,
м
|
|
ЭЦН5-30-600
|
30
|
600
|
43
|
20
- 40
|
200-1000
|
Расчет распределения
,
и
в
колонне НКТ (интервал «выкид насоса - устье скважины»);
УСШН
а)
=10
% (масс.)
Расчет производим «сверху-вниз».
) Определим величину шага изменения давления
) Определим температурный градиент потока
Где
-
средний геотермический градиент скважины
тогда
) Определим температуру на затрубе скважины
) Определяем температуру потока, соответствующую
заданным давлениям
5) Рассчитаем текущее равновесное давление
насыщения при
:
где
и
-
соответственно молярные доли метана и азота в попутном газе
Массовый состав смеси принимаем
) Рассчитываем относительную
плотность газа по воздуху:
Молекулярная масса газа:
Вычисляем молекулярную массу данного
газа:

) Определим объем выделившегося газа
) Определим остаточную
газонасыщенность нефти в процессе разгазирования (Р=1,5 МПа; Т=294 К)
) Определим относительную плотность
выделившегося газа
) Определим относительную плотность
растворенного газа, остающегося в нефти при данных условиях ее разгазирования
) Определим удельное приращение объема нефти за
счет единичного изменения ее газонасыщенности
и
объемный коэффициент нефти
) Определим коэффициент сверхсжимаемости газа
а) Определим Рпр и Тпр
,
Таблица 9 - Данные о критических давлениях и
температуре различных компонентов
|
Параметры
|
      
|
|
|
|
|
|
|
|
|
4,74,94,33,83,47,43,49
|
|
|
|
|
|
|
|
|
|
190,7306,2369,8425,2470,4304,2126,2373,6
|
|
|
|
|
|
|
|
|
б) Определим коэффициент сверхсжимаемости для
азота
в) Определим коэффициент сверхсжимаемости
углеводородной составляющей газа т.к Рпр находится в интервале 0≤Рпр≤3,8
,а Тпр - в интервале 1,17≤Тпр≤2,0, то
г) Определим коэффициент сверхсжимаемости
газовой смеси
) Определяем удельный объем газожидкостной смеси
) Определим удельную массу смеси при стандартных
условиях
) Определяем корреляционный коэффициент
необратимых потерь давления
) Определим идеальную плотность жидкостной смеси
) Определяем полный градиент давления в точках с
заданными давлениями Р<Рнас
) Определяем dH/dP
) Проводим численное интегрирование зависимости
dH/dP=f(P)
) Определим удельный объём газа
7. Расчет распределения давления в
НКТ при обводненности n=10% УСШН
Таблица 10
|
Р,
МПа
|
Т,
К
|
Vгв
м3/т
|
ρгв
м3/ м3
|
βг,
м3/м3
|
bн
|
Рпр
|
Тпр
|
z
|
Vсм
м3/ м3
|
Мсм
кг/ м3
|
ρсм
и кг/ м3
|
dP/dH
МПа/м
|
dH/dP
м/МПа
|
H,
м
|
|
1
|
277,15
|
31,20
|
0,6949
|
0,6707
|
1,0577
|
0,2392
|
1,1591
|
0,9357
|
4,1218
|
1084,02
|
262,99
|
0,00367
|
272,32
|
0,00
|
|
2,125
|
278,59
|
21,02
|
0,6577
|
0,5784
|
1,0827
|
0,5084
|
1,1651
|
0,8827
|
2,0815
|
1084,02
|
520,79
|
0,00566
|
176,66
|
252,55
|
|
3,25
|
280,03
|
14,71
|
0,6505
|
0,4899
|
1,0980
|
0,7775
|
1,1712
|
0,8330
|
1,5946
|
1084,02
|
679,82
|
0,00709
|
141,01
|
431,24
|
|
4,375
|
281,47
|
10,03
|
0,6519
|
0,3957
|
1,1095
|
1,0467
|
1,1772
|
0,7871
|
1,4060
|
1084,02
|
771,00
|
0,00794
|
126,01
|
581,44
|
|
5,5
|
282,91
|
6,25
|
0,6570
|
0,2897
|
1,1188
|
1,3158
|
1,1832
|
0,7458
|
1,3174
|
1084,02
|
822,83
|
0,00842
|
118,75
|
719,12
|
|
6,625
|
284,35
|
3,04
|
0,6640
|
0,1656
|
1,1268
|
1,5849
|
1,1893
|
0,7100
|
1,2717
|
1084,02
|
852,39
|
0,00870
|
114,96
|
850,58
|
|
7,75
|
285,79
|
0,23
|
0,6720
|
0,0149
|
1,1339
|
1,8541
|
1,1953
|
0,6802
|
1,2471
|
1084,02
|
869,24
|
0,00886
|
112,90
|
978,74
|
|
8,875
|
0,00
|
0,6806
|
0,0000
|
1,1377
|
2,1232
|
1,2013
|
0,6572
|
1,2488
|
1084,02
|
868,08
|
0,00885
|
113,04
|
1105,83
|
|
10
|
288,67
|
0,00
|
0,6896
|
0,0000
|
1,1374
|
2,3923
|
1,2073
|
0,6417
|
1,2485
|
1084,02
|
868,27
|
0,00885
|
113,01
|
1232,98
|
|
11,125
|
290,12
|
0,00
|
0,6988
|
0,0000
|
1,1371
|
2,6615
|
1,2134
|
0,6342
|
1,2482
|
1084,02
|
868,45
|
0,00885
|
112,99
|
1360,11
|
|
12,25
|
291,56
|
0,00
|
0,7081
|
0,0000
|
1,1369
|
2,9306
|
1,2194
|
0,6355
|
1,2480
|
1084,02
|
868,63
|
0,00885
|
112,97
|
1487,21
|
Рис. 22 - График распределения давления в НКТ
Рис. 23 - График распределения плотности ГЖС в
НКТ
Рис. 24 - График распределения температуры ГЖС в
НКТ
Рис. 25 - График распределения удельного
газосодержания жидкости в НКТ
б)
=50
% (масс.).
) Определим температурный градиент потока
Где
-
средний геотермический градиент скважины
тогда
Дальнейший расчет см. пункт а).
8. Расчет распределения давления в
НКТ
Таблица 11
|
Р,
МПа
|
Т,
К
|
Vгв
м3/т
|
ρгв
м3/ м3
|
βг,
м3/м3
|
bн
|
Рпр
|
Тпр
|
z
|
Vсм
м3/ м3
|
Мсм
кг/ м3
|
ρсм
и кг/ м3
|
dP/dH
МПа/м
|
dH/dP
м/МПа
|
H,
м
|
|
1
|
277,14
|
31,20
|
0,6948
|
0,6877
|
1,0577
|
0,2392
|
1,1591
|
0,9357
|
5,0105
|
2061,80
|
411,50
|
0,00426
|
234,95
|
0,00
|
|
2,125
|
278,58
|
21,02
|
0,6577
|
0,5973
|
1,0827
|
0,5084
|
1,1651
|
0,8827
|
2,9703
|
2061,80
|
694,13
|
0,00674
|
148,46
|
215,67
|
|
3,25
|
280,02
|
14,71
|
0,6504
|
0,5095
|
1,0980
|
0,7775
|
1,1711
|
0,8330
|
2,4834
|
2061,80
|
830,22
|
0,00800
|
124,98
|
369,48
|
|
4,375
|
281,46
|
10,03
|
0,6519
|
0,4145
|
1,1095
|
1,0467
|
1,1772
|
0,7871
|
2,2949
|
2061,80
|
898,44
|
0,00864
|
115,70
|
504,86
|
|
5,5
|
282,90
|
6,25
|
0,6570
|
0,3061
|
1,1188
|
1,3158
|
1,1832
|
0,7458
|
2,2063
|
2061,80
|
934,50
|
0,00898
|
111,31
|
632,55
|
|
6,625
|
284,35
|
3,04
|
0,6640
|
0,1767
|
1,1268
|
1,5849
|
1,1892
|
0,7099
|
2,1606
|
2061,80
|
954,26
|
0,00917
|
109,03
|
756,49
|
|
7,75
|
285,79
|
0,23
|
0,6720
|
0,0161
|
1,1339
|
1,8541
|
1,1953
|
0,6802
|
2,1360
|
2061,80
|
965,27
|
0,00928
|
107,80
|
878,46
|
|
8,875
|
287,23
|
0,00
|
0,6806
|
0,0000
|
1,1376
|
2,1232
|
1,2013
|
0,6572
|
2,1376
|
2061,80
|
964,52
|
0,00927
|
107,89
|
999,79
|
|
10
|
288,67
|
0,00
|
0,6896
|
0,0000
|
1,1374
|
2,3923
|
1,2073
|
0,6417
|
2,1374
|
2061,80
|
964,64
|
0,00927
|
107,87
|
1121,15
|
|
11,125
|
290,11
|
0,00
|
0,6988
|
0,0000
|
1,1371
|
2,6615
|
1,2134
|
0,6342
|
2,1371
|
2061,80
|
964,76
|
0,00927
|
107,86
|
1242,51
|
|
12,25
|
291,55
|
0,00
|
0,7081
|
0,0000
|
1,1369
|
2,9306
|
1,2194
|
0,6355
|
2,1369
|
2061,80
|
964,88
|
0,00927
|
107,85
|
1363,84
|
Рис. 26 - График распределения давления в НКТ
Рис. 27 - График распределения плотности ГЖС в
НКТ
Рис. 28 - График распределения температуры ГЖС в
НКТ
Рис. 29 - График распределения удельного газосодержания
в НКТ
УЭЦН
а)
=10
% (масс.)
) Определим температурный градиент потока
Где
-
средний геотермический градиент скважины
тогда
) Определим температуру на затрубе скважины
Дальнейший расчет см. пункт «УСШН а)».
9. Расчет распределения давления в
ЭК
Таблица 12
|
Р,
МПа
|
Т,
К
|
Vгв
м3/т
|
ρгв
м3/ м3
|
βг,
м3/м3
|
bн
|
Рпр
|
Тпр
|
z
|
Vсм
м3/ м3
|
Мсм
кг/ м3
|
ρсм
и кг/ м3
|
dP/dH
МПа/м
|
dH/dP
м/МПа
|
H,
м
|
|
1
|
277,32
|
31,24
|
0,6956
|
0,4165
|
1,0578
|
0,2392
|
1,1598
|
0,9358
|
4,1279
|
1084,02
|
262,61
|
0,00308
|
325,05
|
0,00
|
|
2,125
|
278,75
|
21,04
|
0,6583
|
0,3247
|
1,0828
|
0,5084
|
1,1658
|
0,8830
|
2,0835
|
1084,02
|
520,29
|
0,00536
|
186,69
|
287,85
|
|
3,25
|
280,18
|
14,73
|
0,6510
|
0,2518
|
1,0981
|
0,7775
|
1,1718
|
0,8333
|
1,5955
|
1084,02
|
679,41
|
0,00686
|
145,81
|
474,88
|
|
4,375
|
281,60
|
10,04
|
0,6524
|
0,1867
|
1,1096
|
1,0467
|
1,1778
|
0,7875
|
1,4065
|
1084,02
|
770,72
|
0,00773
|
629,65
|
|
5,5
|
283,03
|
6,26
|
0,6575
|
0,1251
|
1,1189
|
1,3158
|
1,1837
|
0,7462
|
1,3177
|
1084,02
|
822,64
|
0,00823
|
121,51
|
770,76
|
|
6,625
|
284,46
|
3,05
|
0,6644
|
0,0651
|
1,1269
|
1,5849
|
1,1897
|
0,7104
|
1,2719
|
1084,02
|
852,27
|
0,00851
|
117,44
|
905,17
|
|
7,75
|
285,89
|
0,24
|
0,6724
|
0,0054
|
1,1339
|
1,8541
|
1,1957
|
0,6806
|
1,2472
|
1084,02
|
869,17
|
0,00868
|
115,24
|
1036,05
|
|
8,875
|
287,32
|
0,00
|
0,6809
|
0,0000
|
1,1377
|
2,1232
|
1,2017
|
0,6575
|
1,2488
|
1084,02
|
868,06
|
0,00867
|
115,38
|
1165,77
|
|
10
|
288,75
|
0,00
|
0,6898
|
0,0000
|
1,1374
|
2,3923
|
1,2076
|
0,6420
|
1,2485
|
1084,02
|
868,25
|
0,00867
|
115,36
|
1295,56
|
|
11,125
|
290,18
|
0,00
|
0,6990
|
0,0000
|
1,1371
|
2,6615
|
1,2136
|
0,6345
|
1,2482
|
1084,02
|
868,44
|
0,00867
|
115,33
|
1425,32
|
|
12,25
|
291,60
|
0,00
|
0,7083
|
0,0000
|
1,1369
|
2,9306
|
1,2196
|
0,6356
|
1,2480
|
1084,02
|
868,62
|
0,00867
|
115,31
|
1555,06
|
Рис. 30 - График распределения давления в НКТ
Рис. 31 - График распределения плотности ГЖС в
НКТ
Рис. 32 - График распределения температуры ГЖС в
НКТ
Рис. 33 - График распределения удельного газосодержания
в НКТ
а)
=50
% (масс.)
) Определим температурный градиент потока
Где
-
средний геотермический градиент скважины
тогда
) Определим температуру на затрубе скважины
Дальнейший расчет см. пункт «УСШН а)».
. Расчет распределения давления в
НКТ
Таблица 13
|
Р,
МПа
|
Т,
К
|
Vгв
м3/т
|
ρгв
м3/ м3
|
βг,
м3/м3
|
bн
|
Рпр
|
Тпр
|
z
|
Vсм
м3/ м3
|
Мсм
кг/ м3
|
ρсм
и кг/ м3
|
dP/dH
МПа/м
|
dH/dP
м/МПа
|
H,
м
|
|
1
|
277,30
|
31,24
|
0,6955
|
0,4356
|
1,0578
|
0,2392
|
1,1598
|
0,9358
|
5,0161
|
2061,80
|
411,04
|
0,00435
|
229,66
|
0,00
|
|
2,125
|
278,73
|
21,04
|
0,6583
|
0,3420
|
1,0828
|
0,5084
|
1,1657
|
0,8829
|
2,9722
|
2061,80
|
693,70
|
0,00700
|
142,94
|
209,59
|
|
3,25
|
280,16
|
14,73
|
0,6510
|
0,2668
|
1,0981
|
0,7775
|
1,1717
|
0,8333
|
2,4843
|
2061,80
|
829,93
|
0,00830
|
120,47
|
357,75
|
|
4,375
|
281,59
|
10,04
|
0,6524
|
0,1988
|
1,1096
|
1,0467
|
1,1777
|
0,7874
|
2,2953
|
2061,80
|
898,25
|
0,00896
|
111,62
|
488,30
|
|
5,5
|
283,02
|
6,26
|
0,6574
|
0,1339
|
1,1189
|
1,3158
|
1,1837
|
0,7462
|
2,2066
|
2061,80
|
934,38
|
0,00931
|
107,44
|
611,52
|
|
6,625
|
284,45
|
3,05
|
0,6644
|
0,0700
|
1,1269
|
1,5849
|
1,1897
|
0,7103
|
2,1608
|
2061,80
|
954,19
|
0,00950
|
105,27
|
731,17
|
|
7,75
|
285,88
|
0,24
|
0,6723
|
0,0058
|
1,1339
|
1,8541
|
1,1956
|
0,6805
|
2,1361
|
2061,80
|
965,23
|
0,00961
|
104,10
|
848,94
|
|
8,875
|
287,31
|
0,00
|
0,6809
|
0,0000
|
1,1377
|
2,1232
|
1,2016
|
0,6575
|
2,1377
|
2061,80
|
964,51
|
0,00960
|
104,18
|
966,10
|
|
10
|
288,74
|
0,00
|
0,6898
|
0,0000
|
1,1374
|
2,3923
|
1,2076
|
0,6419
|
2,1374
|
2061,80
|
964,63
|
0,00960
|
104,16
|
1083,29
|
|
11,125
|
290,17
|
0,00
|
0,6990
|
0,0000
|
1,1371
|
2,6615
|
1,2136
|
0,6345
|
2,1371
|
2061,80
|
964,75
|
0,00960
|
104,15
|
1200,47
|
|
12,25
|
291,60
|
0,00
|
0,7083
|
0,0000
|
1,1369
|
2,9306
|
1,2196
|
0,6356
|
2,1369
|
2061,80
|
964,87
|
0,00960
|
104,14
|
1317,63
|
Рис. 34 - График распределения давления в НКТ
Рис. 35 - График распределения плотности ГЖС в
НКТ
Рис. 36 - График распределения температуры ГЖС в
НКТ
с
Рис. 37 - График распределения удельного
газосодержания в НКТ
Определение глубины начала интенсивного
образования АСПО;
УСШН
а)
=10
%
Рис. 38 - График распределения для Тскв и Таспо
Глубина интенсивного образования АСПО равна
1290м.
б)
=50
%
Рис. 39 - График распределения для Тскв и Таспо
Глубина интенсивного образования АСПО равна
1200м.
УЭЦН
а)
=10
%
Рис. 40 - График распределения для Тскв и Таспо
Глубина интенсивного образования АСПО равна
1330м.
б)
=50
%
Рис. 41 - График распределения для Тскв и Таспо
пласт скважина газ насос
Глубина интенсивного образования АСПО равна
1180м.
Выбор и обоснование технологий предупреждения
образования АСПО в колонне НКТ и удаления отложений;
Для борьбы с АСПО существует несколько способов:
механический, физический и химический. Для борьбы с отложениями парафина
проводят периодические термические обработки скважин без их остановки закачкой
в затрубное пространство горячей нефти, которая, проходя через клапаны и НКТ,
расплавляет отложения парафина и выносит их на поверхность. Также применяют
остеклованные или покрытые специальным лаком НКТ, на которых парафин не
оседает.
Механический способ борьбы с отложениями АСПО -
это способ очистки НКТ от парафина при помощи скребков. На скважинах
эксплуатирующихся фонтанным способом или ЭЦН применяются установки УДС-1М,
ПАДУ, ПАДУ-3 и т.д. Борьбу с отложениями парафина в затрубном пространстве
проводят механическим путем с помощью скребков, закрепленных к штангам. Эти
скребки автоматически поворачиваются на определенный угол при каждом ходе
колонны штанг вниз.
Физический способ.
В настоящее время для предупреждения отложений
АСПО на подземном оборудовании скважин месторождений «ЛУКОЙЛ - ПЕРМЬ» успешно
применяются магнитные аппараты марки МАС-2,5. В настоящее время, с технической
точки зрения, установка магнитных аппаратов возможна на фонтанных,
оборудованных установками ШГН и ШВН скважинах. Перед применением магнитных
аппаратов рекомендуется провести лабораторные испытания скважинной жидкости на
магнитную восприимчивость.
В случае интенсивного отложения АСПО в колонне
НКТ возможно более рентабельным будет применять нагревательных линий марки
НКЛ-16-400-8-800 по ТУ 3542-001-001-48369-2003 (ООО «ПермНИПИнефть»).
Из химических методов предотвращения отложений
асфальто-смоло-парафиновых веществ (АСПВ) применяют жидкие и твердые
ингибиторы. В случае применения жидких ингибиторов, дозировка ингибиторов
осуществляется с помощью поверхностных и глубинных дозаторов, выпускаемых
отечественной промышленностью. Кроме того, на месторождениях применяются
твердые ингибиторы серии ИКД, разработанные в ООО «ПермНИПИнефть», в которых
происходит самодозирование за счет постепенного растворения ингибитора в
скважинной жидкости. Установка контейнера возможна при всех способах
эксплуатации скважины, действие контейнера рассчитано на 1 год. Твердые
ингибиторы серии ИКД помещаются в добывающие скважины в перфорированных
контейнерах, изготовленных из 4 или 8 насосно-компрессорных труб (НКТ) длиной 5
или 2,5 метра, соответственно, каждая камера контейнера отделена друг от друга
перфорированной шайбой. Верхний и нижний концы контейнера заглушены такими же
перфорированными шайбами. Твердый ингибитор ИКД помещается в камеры контейнера.
После спуска глубинного оборудования и запуска скважины в работу, добываемые
флюиды омывают реагент через перфорированные отверстия.
Ингибитор постепенно растворяется и выносится
вместе с продукцией добывающей скважины, предотвращая процесс отложения АСПВ с
самого начала технологической цепочки добычи.
Список литературы
1. Сборник
задач по технологии и технике нефтедобычи. Мищенко И. Т.
. Расчеты
в добыче нефти. Мищенко И. Т.
. Технология
и техника добычи нефти. Щуров В. И.
. Скважинная
добыча нефти. И. Т. Мищенко.