Материал: Аналит задачи на экзамен

Внимание! Если размещение файла нарушает Ваши авторские права, то обязательно сообщите нам

молярную концентрацию титранта в растворе и его титриметрический фактор пересчета по натрия йодиду.

29. Навеску анализируемого вещества массой 0.2510 г, содержащего бромид натрия, растворили в воде и прибавили 25.00 мл 0.1101 М раствора AgNO3 . Избыток нитрата серебра оттитровали 5.20 мл 0.1158 М раствора аммония тиоцианата. Рассчитайте массовую долю натрия бромида в анализируемом веществе.

30.Навеску калия йодата массой 1,7834 г растворили в воде и получили 500,0 мл раствора. Рассчитать молярную концентрацию эквивалента соли в полученном растворе и его титриметрический фактор пересчета по олову (II).

32. В каком объеме раствора содержится 1,226г калия дихромата, если молярная концентрация эквивалента соли в этом растворе равна 0,0500 моль/л?

33. Вычислите pH буферной системы, содержащей в 1000 мл раствора 0.01моль аммиака кислоты и 0.1 моль хлорида аммония (рК- 4.76)

pH=14-pOH=14-5,76=8,24

34. Рассчитайте рH 0.1M раствора масляной кислоты (рК- 4.82)

35. К 2,5 мл раствора хлората калия KClO3, прибавили 25 мл 0,1200М раствора сульфата железа (II), избыток которого затем оттитровали 5,00 мл раствора перманганата калия с молярной концентрацией эквивалента 0, 1100 моль/л.; 36. Рассчитать массовую долю KClO3 в растворе, если плотность этого раствора 1,020 г/мл.

*********

40. Рассчитать массовую долю цинка в образце, если на титрование раствора, приготовленного из его навески массой 0,4501 г затрачено 19,51 мл 0,1015 М раствора ЭДТА.

41. Определите молярную концентрацию, молярную концентрацию эквивалента, титр и титриметрический фактор пересчета по свинцу (II) раствора, в 0,5 л которого содержится 8,4053 г безводного ЭДТА.

42. Вычислите объем 36,5%-ного концентрированного раствора хлороводородной кислоты (плотность 1,198 г/мл), необходимый для приготовления 250 мл титранта с молярной концентрацией 0,1 М.

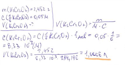
43. В каком объеме раствора содержится 2,452 г калия дихромата, если молярная концентрация эквивалента соли в этом растворе равна 0,05 М?