Материал: Аналит задачи на экзамен

Внимание! Если размещение файла нарушает Ваши авторские права, то обязательно сообщите нам

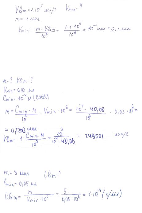
1.Предельное разбавление реакции обнаружения ионов натрия одной из аналитических реакций равно 1*10^5 мл/г, предел обнаружения равен 1 мкг. Определите минимальный объем раствора, требуемый для обнаружения ионов натрия с помощью данной реакции.

2.Вычислите предел обнаружения и предельное разбавление для реакции обнаружения иона кальция в виде кальция оксалата, если реакция получается с 0,03 мл 1*10^-4 М раствора кальция хлорида.

3.Предел обнаружения ионов калия перхлората равен 5 мкг в объеме раствора 0,05 мл. Вычислите предельную концентрацию ионов калия для этой реакции.

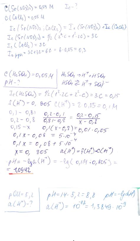
4.Рассчитайте ионную силу раствора, содержащего в 1 л по 0,05 моль стронция нитрата и кальция хлорида.

5. Рассчитайте рН серной кислоты с концентрацией 0.05 М с учетом ионной силы раствора.

6. Рассчитайте активность ионов водорода в растворе, рОН которого равен 5.2.

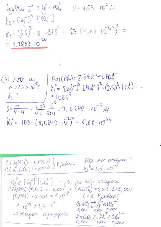
7.Вычислите произведение растворимости серебра фосфата, если растворимость его в насыщенном растворе равна 4.68 10-6 М.

8.Вычислите произведение растворимости бария фосфата, если в 500мл его насыщенного раствора содержится 2.73 10-5 г соли.

9.Смешали равные объемы растворов нитрата серебра и оксалата калия с концентрациями по 0.002М. Образуется ли осадок серебра оксалата? (Кs0 = 3.5 10-11). Ответ подтвердите необходимыми расчетами.

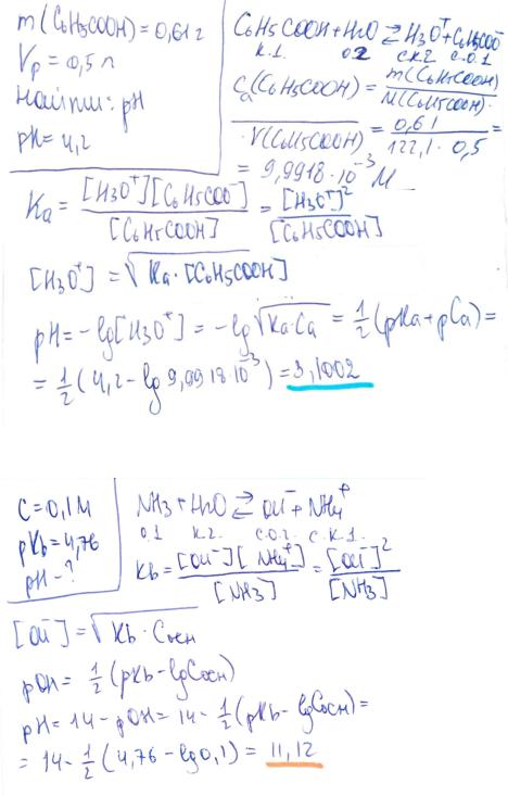
10.Рассчитайте pH раствора, содержащего 0,61 г бензойной кислоты в 0,5 л раствора

(pK=4,2).

11. Рассчитайте pH 0,1М раствора аммиака (pK=4,76).

12. Рассчитайте pH 0,1М раствора триметиламина (pK=4,2)

13. Рассчитайте pH 0,1М раствора уксусной кислоты (pK=4,76).

14.Рассчитайте молярную концентрацию азотистой кислоты в растворе, в котором концентрация нитрит-ионов равна 1,02 10-2 моль/л. (рК = 3.29, Ka=5,1*10-4).

15. Рассчитайте pH 0,1М раствора калия формиата (pK=3,75).