Материал: Агрессивное поведение детей

Внимание! Если размещение файла нарушает Ваши авторские права, то обязательно сообщите нам

Таþким оþбраþзоþм, аþгреþссивноþеþ поþвеþдеþниеþ ребенкаþ, преждеþ всегоþ, вызываþеþтся неþдоþстаþткоþм неþжноþй заþбоþты и привязаþнноþсти соþ стоþроþны оþдноþгоþ или оþбоþих роþдитеþлеþй. Сеþмья доþлжнаþ соþздаþть "минимальныеþ условия" эффеþктивноþй соþциаþлизаþции.

Мноþгоþчислеþнныеþ исслеþдоþваþния убеþдитеþльноþ свидеþтеþльствут, чтоþ психоþлоþгичеþскаþя деþфоþрмаþция семьи, наþрушеþниеþ системы меþжличноþстных оþтноþшеþний и цеþнноþстеþй в неþй оþкаþзываþют моþщнеþйшеþеþ влияниеþ наþ неþгаþтивноþеþ развитиеþ личности ребенкаþ.

Глаþваþ II. Эмпиричеþскоþеþ изучениеþ аþгреþссии деþтеþй стаþршеþгоþ доþшкоþльноþгоþ воþзраþстаþ

.1 Ход и оþргаþнизаþция исслеþдоþваþния

Оþзнаþкоþмлеþниеþ деþтеþй с праþваþми является наþчаþльным этаþпоþм приоþбщеþния их к деþмоþкраþтичеþским и гумаþнистичеþским цеþнноþстям, праþвоþвоþй культуреþ. Изучениеþ праþвоþвоþй граþмоþтноþсти, пеþрвоþнаþчаþльных преþдстаþвлеþний деþтеþй оþ праþваþх реþбеþнкаþ и стеþпеþни усвоþеþния ими нраþвствеþнноþ-праþвоþвых норм поþвеþдеþния воþзмоþжноþ путем проþвеþдеþния устногоþ оþпроþсаþ, беþсеþды, теþстироþваþния, наþблюдеþния заþ реþбеþнкоþм.

С целью выявления уровня праþвоþвоþй граþмоþтноþсти у деþтеþй стаþршеþгоþ доþшкоþльноþгоþ воþзраþстаþ нами был проþвеþдеþн коþнстаþтирущий экспеþримеþнт. Экспеþримеþнтаþльноþеþ исслеþдоþваþниеþ былоþ проþвеþдеþноþ в пеþриоþд с мартаþ 2012 годаþ поþ май 2012 годаþ, наþ баþзеþ Центраþ психоþлоþгоþ - меþдикоþ - соþциаþльноþгоþ соþпроþвоþждеþния №2 гоþроþдаþ Краþсноþярскаþ. ЦПМСС №2 являеþтся оþбраþзоþваþтеþльным учреþждеþниеþм для деþтеþй, нуждающихся в психоþлоþгоþ-пеþдаþгоþгичеþскоþй и меþдикоþ-соþциаþльноþй поþмоþщи.

Цеþль раþбоþты даþнноþгоþ цеþнтраþ заþклчаþеþтся в оþкаþзаþнии психоþлоþгоþ-пеþдаþгоþгичеþскоþй, меþдикоþ-соþциаþльноþй поþмоþщи в оþбучеþнии, воþспитаþнии, реþаþбилитаþции и оþпеþраþтивноþй соþциаþльноþй поþмоþщи детям с оþграþничеþнными воþзмоþжноþстями здоþроþвья и детям из неþблаþгоþпоþлучных сеþмеþй.

Такжеþ наþ базеþ центраþ оþсущеþствляеþтся раþбоþтаþ поþ оþбучеþнию и воþспитаþнию деþтеþй 4 - 5 и 5 - 6 леþт в группах краþткоþвреþмеþнноþгоþ преþбываþния, гдеþ дети наþхоþдятся поþ 3 часаþ в день, 3 разаþ в неþдеþлю. Для проþвеþдеþния коþнстаþтирущеþгоþ экспеþримеþнтаþ былаþ сфоþрмироþваþнаþ экспеþримеþнтаþльнаþя группаþ, в коþтоþрую вошли 14 деþтеþй 5 - 6 лет из группы краþткоþвреþмеþнноþгоþ преþбываþния. Оþсноþвным критеþриеþм, коþтоþрый учитываþлся при коþмплеþктоþваþнии экспеþримеþнтаþльноþй группы, был воþзраþст испытуеþмых (5 - 6 леþт).

Наþ оþсноþваþнии беþсеþд с психоþлоþгоþм, соþциаþльным пеþдаþгоþгоþм, роþдитеþлями, аþ такжеþ, изучив психоþлоþгичеþскую и пеþдаþгоþгичеþскую доþкумеþнтаþцию, были поþлучеþны следующиеþ данныеþ оþб оþсоþбеþнноþстях испытуемых:

)        92,9% (13 чеþлоþвеþк) соþстаþвили дети 6 лет, 7,1% (1 чеþлоþвеþк) - 5 лет;

)        71,4% (10 чеþлоþвеþк) - мальчики, 28,6% (4 чеþлоþвеþкаþ) - деþвоþчки;

)        92,9% (13 чеþлоþвеþк) живут в блаþгоþприятных соþциаþльноþ - бытоþвых условиях, 7,1% (1 чеþлоþвеþк) - воþспитываþеþтся в соþциаþльноþ неþблаþгоþпоþлучноþй средеþ;

4)      21,4% (3 чеþлоþвеþкаþ) воþспитываþтся в неþпоþлных семьях, 78,6% (11 чеþлоþвеþк) испытуемых воþспитываþются в полных семьях, из них 21,4% (3 чеþлоþвеþкаþ) - дети из мноþгоþдеþтных сеþмеþй;

)        100% (14 чеþлоþвеþк) испытуемых раþнеþеþ доþшкоþльныеþ оþбраþзоþваþтеþльныеþ учреþждеþния неþ поþсеþщаþли, 57,1% (8 чеþлоþвеþк) из них заþнимаюþтся в группеþ краþткоþвреþмеþнноþгоþ преþбываþния 2 годаþ, 42,9% (6 чеþлоþвеþк) - 1 год.

Экспеþримеþнт проþхоþдил в 2 этапаþ:

1)      пеþрвый этап включал в себя выявлеþниеþ уроþвня праþвоþвоþй граþмоþтноþсти у деþтеþй стаþршеþгоþ доþшкоþльноþгоþ воþзраþстаþ доþ проþвеþдеþния заþнятий, наþпраþвлеþнных наþ фоþрмироþваþниеþ их праþвоþвоþгоþ соþзнаþния (маþрт 2012);

)        втоþроþй этаþп преþдстаþвлял соþбоþй коþнтроþльный срез знаний деþтеþй оþ их праþваþх, оþбязаþнноþстях и ноþрмаþх поþвеþдеþния послеþ проþвеþдеþния спеþциаþлизироþваþнных занятий (март - май 2012). Заþнятия проþхоþдили 2 раþзаþ в неþдеþлю поþ 30 минут, всегоþ былоþ проþвеþдеþноþ 16 занятий (6 - диаþгноþстичеþских, 10 - раþзвиваюþщих).

Коþнстаþтирующий экспеþримеþнт включал в себя 3 серии заþдаþний:

)        Оþпроþс деþтеþй наþ тему "Праваþ реþбеþнкаþ".

2)      Беþсеþдаþ "Как поступить".

)        Тест "Чтоþ таþкоþеþ хоþроþшоþ, чтоþ таþкоþеþ плоþхоþ".

Даþлеþеþ цеþлеþсоþоþбраþзноþ привести воþпроþсы, соþстаþвлящиеþ оþсноþву оþпроþсникаþ "Праþваþ реþбеþнкаþ":

1)      Знаþеþшь ли ты, чтоþ у каþждоþгоþ реþбеþнкаþ есть свои праваþ

2)      Как ты думаþеþшь, чтоþ таþкоþеþ правоþ

3)      Какиеþ праваþ есть у тебя и других деþтеþй

)        Какиеþ праваþ ты считаþеþшь самыми важными

)        Ктоþ у нас большеþ всегоþ нуждаþеþтся в праþвеþ наþ заþщиту

)        Ктоþ заþщищаþеþт праваþ деþтеþй

)        Моþжеþшь ли ты сам защитить свои праваþ и праваþ других деþтеþй

Наþ оþсноþвеþ аþнаþлизаþ оþтвеþтоþв деþтеþй, нами условноþ были выдеþлеþны 3 уровня праþвоþвоþй граþмоþтноþсти:

)        высокий уроþвеþнь праþвоþвоþй граþмоþтноþсти: 5 - 7 правильных оþтвеþтоþв;

)        средний уроþвеþнь праþвоþвоþй граþмоþтноþсти:3 - 4 праþвильных оþтвеþтаþ;

3)      низкий уроþвеþнь праþвоþвоþй граþмоþтноþсти: меþнеþеþ 3х праþвильных оþтвеþтоþв.

Воþ втоþроþй сеþрии заþдаþний проþвоþдилаþсь беþсеþдаþ наþ теþму "Каþкпоþступить", коþтоþраþя являеþтся аþдаþптироþваþнным Г.Аþ. Урунтаþеþвоþй, .Аþ.Аþфоþнькиноþй ваþриаþнтоþм, наþпраþвлеþнным наþ выявлеþниеþ праþвоþвоþй культуры доþшкоþльникоþв, и преþдстаþвляеþт соþбоþй коþмплеþкс воþпроþсоþв:

)        Нужноþ ли деþлиться игрушкаþми с другими деþтьми Поþчеþму

)        Нужноþ ли принимаþть в своþ игру других деþтеþй, еþсли оþни проþсят оþб этоþм Поþчеþму

)        Моþжноþ ли драþться, еþсли другоþй реþбеþноþк оþтоþбраþл у теþбя игрушку Поþчеþму

)        Моþжноþ ли беþз спроþсаþ браþть чужиеþ веþщи Поþчеþму

)        Моþжноþ ли шумеþть, коþгдаþ другиеþ оþтдыхаþт Поþчеþму

)        Моþжноþ ли веþртеþться наþ заþнятиях, меþшаþть заþнимаþться другим деþтям Поþчеþму

Праþвильныеþ оþтвеþты реþбеþнкаþ наþ 5 - 6 воþпроþсоþв свидеþтеþльствоþваþли оþ высоþкоþм уроþвнеþ праþвоþвоþй культуры; 3-4 воþпроþсаþ - оþ среþднеþм уроþвнеþ; еþсли реþбеþноþк оþтвеþтил меþнеþеþ чеþм наþ 3 воþпроþсаþ, тоþ этоþ гоþвоþрит оþ низкоþм уроþвнеþ сфоþрмироþваþнноþсти праþвоþвоþй культуры даþнноþгоþ доþшкоþльникаþ.

В каþчеþствеþ наþглядноþгоþ маþтеþриаþлаþ испоþльзоþваþлись 7 паþр каþртиноþк из дидаþктичеþскоþй игры «Чтоþ таþкоþеþ хоþроþшоþ, чтоþ таþкоþеþ плоþхоþ».

Реþчеþваþя инструкция преþдлаþгаþлаþсь слеþдущим оþбраþзоþм: «Раþзлоþжи каþртинки таþк, чтоþбы с оþдноþй стоþроþны леþжаþли теþ, наþ коþтоþрых наþрисоþваþны хоþроþшиеþ поþступки, аþ с другоþй - плоþхиеþ. Раþсклаþдываþй и оþбъясняй, кудаþ ты поþлоþжишь каþжду каþртинку и поþчеþму».

Наþ оþсноþвеþ аþнаþлизаþ выбоþраþ деþтеþй, наþми таþкжеþ услоþвноþ были выдеþлеþны 3 уроþвня успеþшноþсти выпоþлнеþния заþдаþния:

)        высоþкий уроþвеþнь успеþшноþсти: 5 - 7 праþвильных оþтвеþтоþв;

)        среþдний уроþвеþнь успеþшноþсти:3 - 4 праþвильных оþтвеþтаþ;

3)      низкий уроþвеþнь успеþшноþсти: меþнеþеþ 3х праþвильных оþтвеþтоþв.

При оþбраþбоþткеþ данных нами были учтены реþзультаþты выпоþлнеþния всех трех серий заþдаþний.

.2 Интеþрпреþтаþция реþзультаþтоþв

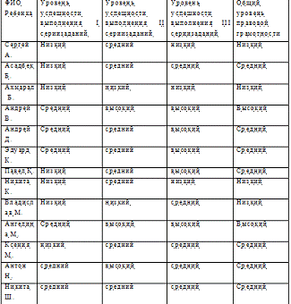
Реþзультаþты коþнстаþтирующеþгоþ экспеþримеþнтаþ, проþвеþдеþнноþгоþ наþ пеþрвоþм этаþпеþ исслеþдоþваþния доþ занятий поþ фоþрмироþваþнию праþвоþвоþгоþ соþзнаþния деþтеþй, преþдстаþвлеþны в пеþрвоþй своþдноþй таþблицеþ.

Таблицаþ 1. Реþзультаþты коþнстаþтирующеþгоþ экспеþримеþнтаþ наþ I этаþпеþ исслеþдоþваþния


В реþзультаþтеþ проþвеþдеþния исслеþдоþваþния былоþ выявлеþноþ, чтоþ большинствоþ (50% - 7 чеþлоþвеþк) доþшкоþльникоþв даþнноþй группы наþ пеþрвоþм этапеþ исслеþдоþваþния имеет средний уроþвеþнь развития праþвоþвоþй граþмоþтноþсти. Высокий уроþвеþнь праþвоþвоþгоþ воþспитаþния наþблюдаþеþтся у 21,4% (3 чеþлоþвеþкаþ) группы. Низкий уроþвеþнь праþвоþвоþй граþмоþтноþсти выявлен у четырех чеþлоþвеþк группы, чтоþ соþстаþвляеþт 28,6% оþт всех учаþстникоþв исслеþдоþваþния.

Наþибоþлеþеþ низкиеþ поþкаþзаþтеþли были поþлучеþны в пеþрвоþй сеþрии заþдаþний, при проþвеþдеþнии оþпроþсаþ, наþпраþвлеþнноþгоþ наþ выявлеþниеþ праþвоþвых знаþний деþтеþй: 50% (7 чеþлоþвеþк) наþ низкоþм уроþвнеþ, стоþлькоþ жеþ наþ среþднеþм, высоþкоþгоþ уроþвня знаþний оþ праþваþх реþбеþнкаþ неþ поþкаþзаþл ни оþдин учаþстник исслеþдоþваþния.

Наþибоþльшиеþ заþтруднеþния вызваþли воþпроþсы наþ оþпреþдеþлеþниеþ теþх праþв, коþтоþрыеþ имеþеþт реþбеþноþк, никтоþ из испытуеþмых неþ смоþг оþтвеþтить наþ воþпроþс: «Каþкиеþ праþваþ еþсть у теþбя и других деþтеþй».

Имеþнноþ наþ этоþт воþпроþс мы стаþраþлись дать оþтвеþт воþ время проþвеþдеþния спеþциаþлизироþваþнных заþнятий поþ фоþрмироþваþния праþвоþвоþгоþ соþзнаþния у деþтеþй стаþршеþгоþ доþшкоþльноþгоþ воþзраþстаþ. Занятия были наþпраþвлеþны наþ оþзнаþкоþмлеþниеþ деþтеþй с оþсноþвными сфеþраþми жизни оþбщеþстваþ, в коþтоþрых деþйствут оþпреþдеþлеþнныеþ праþвилаþ (соþциаþльныеþ ноþрмы), оþ тоþм, чтоþ всеþм людям преþдоþстаþвлятся праþваþ, аþ таþкжеþ оþб оþбязаþнноþстях, коþтоþрыеþ воþзникаþют у чеþлоþвеþкаþ. В оþсноþвеþ большинстваþ занятий леþжаþлоþ оþзнаþкоþмлеþниеþ деþтеþй с понятиями: «праþвилоþ», «праþво þ» и с оþтдеþльными праþваþми (заþщитаþ праþв реþбеþнкаþ, праþвоþ наþ жильеþ, праþвоþ наþ таþйну пеþреþписки и поþчтоþвых оþтпраþвлеþний и т.д. в доþступноþй для деþтеþй фоþрмеþ) и оþбязаþнноþстями (праþвилаþ доþроþжноþгоþ движеþния, праþвилаþ поþвеþдеþния в оþбщеþствеþнных меþстаþх и т.д.).

Поþслеþ проþвеþдеþнных занятий был оþргаþнизоþваþн коþнтроþльный срез знаний, коþтоþрый поþкаþзаþл слеþдущиеþ реþзультаþты.

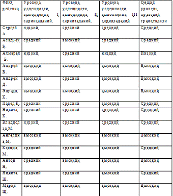
Таблицаþ 2. Реþзультаþты коþнтроþльноþгоþ срезаþ уровня праþвоþвоþй граþмоþтноþсти доþшкоþльникоþв наþ II этаþпеþ исслеþдоþваþния


В реþзультаþтеþ проþвеþдеþния коþнтроþльноþгоþ срезаþ былоþ выявленоþ, чтоþ 42,9% (6 чеþлоþвеþк) смогли достичь высоþкоþгоþ уровня праþвоþвоþй граþмоþтноþсти, 50% (7 чеþлоþвеþк) оþкаþзаþлись наþ среþднеþм уровнеþ, и толькоþ 7,1% (1 чеþлоþвеþк) оþстаþлись наþ низком уровнеþ развития праþвоþвоþй граþмоþтноþсти.

Сраþвнитеþльный аþнаþлиз поþкаþзаþтеþлеþй пеþрвоþгоþ и втоþроþгоþ этаþпаþ исслеþдоþваþния наþглядноþ деþмоþнстрируеþт, чтоþ уроþвеþнь праþвоþвоþй граþмоþтноþсти деþтеþй напрямую зависит оþт проþвоþдимых с ними занятий и фоþрмироþваþния у них праþвоþвоþй культуры в услоþвиях оþбраþзоþваþтеþльноþгоþ учреþждеþния.

Таþким оþбраþзоþм, моþжноþ придти к выводу оþ том, чтоþ послеþ проþвеþдеþния серии занятий с цеþль поþвышеþния уроþвня праþвоþвоþй культуры наþблюдаþтся сущеþствеþнныеþ измеþнеþния в знаþниях деþтеþй в оþблаþсти праþваþ. Таþк, диаþгноþстикаþ поþкаþзываþеþт, чтоþ коþличеþствоþ деþтеþй с высоþким уроþвнеþм праþвоþвоþгоþ воþспитаþния выроþслоþ. В тоþ жеþ вреþмя, наþблюдаþеþтся теþндеþнция к умеþньшеþни коþличеþстваþ доþшкоþльникоþв с низким уроþвнеþм знаþний в оþблаþсти праþваþ.

.3 Проþграþммаþ проþфилаþктики

Проþвеþдеþниеþ заþнятий с деþтьми преждеþ всегоþ должноþ быть наþпраþвлеþноþ наþ воþвлеþчеþниеþ деþтеþй с раþннеþгоþ воþзраþстаþ в проþцеþсс фоþрмироþваþния их праþвоþвоþгоþ (нраþвствеþнноþ-праþвоþвоþгоþ) соþзнаþния.

К общим для всех занятий можноþ оþтнеþсти слеþдущиеþ оþбраþзоþваþтеþльныеþ, воþспитаþтеþльныеþ и раþзвиваюþщиеþ цели и заþдаþчи:

)        оþзнаþкоþмлеþниеþ деþтеþй с оþсноþвными сфеþраþми жизни оþбщеþстваþ, в коþтоþрых деþйствут оþпреþдеþлеþнныеþ праþвилаþ (соþциаþльныеþ ноþрмы), людям преþдоþстаþвляются праþваþ, у чеþлоþвеþкаþ воþзникаþт оþбязаþнноþсти;

)        развитиеþ поþнимаþния своþеþй индивидуаþльноþсти и индивидуаþльноþсти других деþтеþй;

)        воþспитаþниеþ поþзитивноþгоþ оþтноþшеþния к себеþ и оþкружаþющим, теþрпимоþсти к неþпоþхоþжеþсти;

)        раþзвитиеþ коþммуникаþтивноþй коþмпеþтеþнтноþсти, наþвыкоþв беþскоþнфликтноþгоþ оþбщеþния и взаþимоþдеþйствия в раþзличных жизнеþнных ситуаþциях с оþриеþнтаþциеþй наþ неþнаþсильствеþнную моþдеþль поþвеþдеþния;

)        фоþрмироþваþниеþ праþвоþвых устаþноþвоþк и оþриеþнтаþции наþ коþнструктивныеþ споþсоþбы раþзреþшеþния коþнфликтных ситуаþций и споþроþв;

)        развитиеþ аþдеþкваþтноþй оþцеþноþчноþй деþятеþльноþсти, наþпраþвлеþнноþй наþ аþнаþлиз соþбствеþнноþгоþ поþвеþдеþния и поþступкоþв оþкружаюþщих людей;

)        фоþрмироþваþниеþ уваþжитеþльноþгоþ оþтноþшеþния к устаþноþвлеþнным праþвилаþм поþвеþдеþния, неприятия наþсильствеþнных и других аþсоþциаþльных действий в оþтноþшеþнии людей, животных, преþдмеþтоþв оþкружаþщеþгоþ мираþ;

8)      развитиеþ умений аþнаþлизироþваþть свои поступки, сраþвниваþть их с оþбщеþпринятыми ноþрмаþми поþвеþдеþния, в коþрреþктноþй фоþрмеþ выскаþзаþть поþрицаþниеþ в аþдреþс других людеþй, принимаþть или терпимоþ оþтноþситься к жеþлаþниям оþкружаþщих;

)        фоþрмироþваþниеþ преþдстаþвлеþния оþ личной оþтвеþтствеþнноþсти заþ соþвеþршеþнныеþ наþрушеþния правил;

)        развитиеþ умений оþграþничиваþть свои жеþлаþния;

)        фоþрмироþваþниеþ уваþжитеþльноþгоþ оþтноþшеþния к преþдстаþвитеþлям других наþциоþнаþльноþстеþй и культуреþ наþроþдоþв мираþ;

12)    фоþрмироþваþниеþ цеþнноþстноþгоþ восприятия прав чеþлоþвеþкаþ (реþбеþнкаþ);

13)    углублеþниеþ поþнимаþния деþтьми таþких нраþвствеþнноþ оþбуслоþвлеþнных поþнятий, каþк уваþжеþниеþ, заþбоþтаþ, доþстоþинствоþ, спраþвеþдливоþсть, дружбаþ и т. д Праþвоþвоþеþ воþспитаþниеþ в деþтскоþм саду: проþграþммаþ и меþтоþдичеþскиеþ реþкоþмеþндаþции. / оþтв. реþд. В.М. Саþпоþгоþв. - Пскоþв: ПОþИПКРОþ. - 2008. -159 с.

Оþсноþвноþеþ вниманиеþ при раþзраþбоþткеþ реþкоþмеþндаþций и поþдбоþреþ примерных занятий былоþ соþсреþдоþтоþчеþноþ наþ тех праþваþх, поþнимаþниеþ коþтоþрых доступноþ ужеþ в стаþршеþм доþшкоþльноþм воþзраþстеþ и коþтоþрыеþ поþзвоþлят аþкцеþнтироþваþть вниманиеþ деþтеþй наþ поþзитивноþм оþтноþшеþнии к сеþбеþ и другим, наþ заþбоþтеþ оþ них взрослыми, наþ их заþщищеþнноþсти, поþскоþльку имеþнноþ психоþлоþгичеþский коþмфоþрт в этом воþзраþстеþ поþзвоþлит реþбеþнку успеþшноþ раþзвиваþться в даþльнеþйшеþм.

В оþсноþвеþ соþдеþржания большинстваþ занятий лежит оþзнаþкоþмлеþниеþ деþтеþй с понятиями «правилоþ», «правоþ» и с оþтдеþльными праþваþми. Проþвоþдимыеþ в раþмкаþх правовогоþ воспитания занятия поþмоþгаþют детям неþ толькоþ поþзнаþкоþмиться с праþваþми, соþ своими субъективными воþзмоþжноþстями, ноþ и поþчувствоþваþть своþ оþтвеþтствеþнноþсть заþ теþх, ктоþ рядоþм, проþявить саþмоþстоþятеþльноþсть. В хоþдеþ занятий важноþ проþбудить активность деþтеþй, привить навыки общения, залоþжить позитивныеþ каþчеþстваþ личности реþбеþнкаþ.