Материал: ZAChET_ShUMAKOVA

Внимание! Если размещение файла нарушает Ваши авторские права, то обязательно сообщите нам

1. Дискретизация по времени и квантование по уровню и 2 Пояснить понятия аналоговый сигнал , дискретный сигнал , цифровой сигнал. Пояснить графически.

Теорема Котельникова гласит: если аналоговый сигнал x(t) имеет спектр, ограниченный верхней граничной частотой fmax, то сигнал может быть однозначно восстановлен по последовательности дискретных отсчетов x(iTд), взятых через интервалы времени Tд= Отметим, что в зарубежной литературе частота fд=  часто называется частотой Найквиста.

3. Аналогово-цифровое преобразование и амплитудно-импульсная модуляция (аим)

Аналого-цифровой преобразователь — устройство, преобразующее входной аналоговый сигнал в дискретный код (цифровой сигнал).

Обратное преобразование осуществляется при помощи цифро-аналогового преобразователя (ЦАП, DAC).

Как правило, АЦП — электронное устройство, преобразующее напряжение в двоичный цифровой код. Тем не менее, некоторые неэлектронные устройства с цифровым выходом следует также относить к АЦП, например, некоторые типы преобразователей угол-код. Простейшим одноразрядным двоичным АЦП является компаратор.

Амплитудно-импульсная модуляция — вид импульсной модуляции (модулируется последовательность импульсов одинаковой формы, обычно прямоугольной), при которой управление средним значением выходного параметра осуществляется путём изменения амплитуды импульсов

Это когда 1 и 0 передаются разными амплитудами

4. Аналогово-цифровое преобразование и импульсно-кодовая модуляция (икм)

Иимпульсно-кодовая модуляция - используется для оцифровки аналоговых сигналов. Практически все виды аналоговых данных допускают применение ИКМ.

При импульсно-кодовой модуляции аналоговый передаваемый сигнал преобразуется в цифровую форму посредством трёх операций: дискретизации по времени, квантования по амплитуде и кодирования.

Для преобразования аналогового сигнала в цифровой используется аналого-цифровой преобразователь (АЦП).

5. Аналогово-цифровое преобразование и широтно-импульсная модуляция (шим).

Широтно-импульсная модуляция (ШИМ, англ. pulse-width modulation (PWM)) — процесс управления мощностью, подводимой к нагрузке, путём изменения скважности импульсов, при постоянной частоте. Различают аналоговую ШИМ и цифровую ШИМдвоичную (двухуровневую) ШИМ и троичную (трёхуровневую) ШИМ[1].

От длительности импульса зависит значение комбинации бит (чем больше значение четверки бит, тем больше длительность импульса)

6. Аналогово-цифровое преобразование и время-импульсная модуляция (вим).

От положения импульса в такте зависит величина четверки битов

7. Методы форматирования цифровых сигналов и формат nrz (бвн без возврата к нулю).

NRZ (non return to zero) код (иногда в литературе встречается в зависимости от модификации как "Униполярный код NRZ[1]", "Биполярный код NRZ[1]") — один из способов линейного кодирования (физического кодирования, канального кодирования, манипуляция), при котором в канал связи формируется сигнал в соответствие с которым логическому нулю соответствует нижний уровень сигнала, логической единице соответствует верхний уровень сигнала. Информационные переходы происходят на границах значащего интервала.

Достоинства

  • Простота реализации кода [4]

  • Минимальная пропускная способность [4]

Недостатки

  • Плохая синхронизация [4]

8. Методы форматирования цифровых сигналов и формат манчестерский и дифференциальный манчестерский код.

8.  Манчестерский код - самосинхронизирующийся двухуровневый код, является одним из способов линейного кодирования (физического кодирования), используемого в канале связи. При кодировании ноль представлен переходом от высокого напряжения к низкому, а единица - от низкого к высокому в центре значащей позиции.

Диф. Манч. Код – В дифференциальном варианте манчестерского кодирование наличие перехода в начале бита указывает на «1», а отсутствие перехода – на «0» (или наоборот) . В середине бита обязательно есть переход. Поэтому код – самосинхронизирующийся.

9. Методы форматирования цифровых сигналов и формат формат rz (свн с возвратом к нулю).

RZ (return to zero) — один из способов линейного кодирования (физического кодирования, канального кодирования, цифровое кодирование, манипуляция сигнала). Служит для передачи оцифрованных данных в виде сигнала, форма которого формируется по правилу, называемым кодированием. Формирование сигнала происходит по следующему правилу: код является трехуровневым, при котором, обеспечивается возврат к нулевому уровню после передачи значащего интервала. Информационный переход осуществляется в начале значащего интервала (значащий момент[1]), возврат к нулевому уровню — в середине значащего интервала, возврат к нулевому уровню — в конце значащего интервала. Возврат к нулю обеспечивает синхронизация сигналов передатчика и приемника. Логическому нулю соответствует переход на верхний уровень, логической единице переход на нижний уровень. В процессе синхронизации, физическая привязка к синхронной последовательности на приемной стороне осуществляется на каждом значащем интервале.

Преимущества

  • Простота реализации

  • Самосинхронизирующийся

10 Алгебраическая структура комплексного линейного пространства сигналов С. Геометрическая структура пространства сигналов. Понятия: Норма сигнала, Энергия сигнала. Метрика пространства сигналов, Скалярное произведение сигналов. Свойства скалярного произведения сигналов .Ортогональность сигналов.

Сигналы представляются как векторы

10. Энергия сигнала: Е = ||s(t)||2dt=sqrt(||s(t)||2)

Норма сигнала равна корню из энергии сигнала.

Нормированное скалярное произведение сигналов:

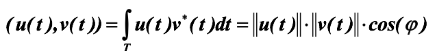
〈 s(t), v(t)〉 ∇ =  s(t)v(t) dt = ||s(t)||* ||v(t)||* cos ϕ.

〈 sn, vn  =(1/N) svn = ||sn||* ||sn||* cos ϕ.

Два сигнала называются ортогональными, если их скалярное произведение, а значит, и взаимная энергия равны нулю: Пусть Н — гильбертово пространство сигналов с конечным значением энергии.

Для усовершенствовании структуры пространства вводится расстояние между его элементами, которое называют также метрикой.

Каждой паре элементов пространства ставится в соответствие положительное число, которое трактуется как расстояние между элементами. В качестве расстояния используется функционал d(x,y) = R, называемый метрикой и обладающий следующими свойствами:

d(x,y) ≥ 0 и d(x,y) = 0, только если x = y;

d(x,y) = d(y,x) – cвойство симметрии;

d(x,y) < d(x,z) + d(z,y) – неравенство треугольника

Скалярное произведение сигналов

Для комплексных сигналов скалярное произведение должно удовлетворять следующим условиям:

(x, y) = (y, x)* , где знак * означает комплексно сопряженную величину;

x, y) = α(x, y);

(x1 + x2, y) = (x1, y) + (x2, y);

(x, x) ≥ 0.

Если угол между сигналами равен 90 градусов, то их скалярное произведение равно 0. Такие сигналы называются ортогональными

11. Простейшие сигналы и их математические модели: функция Хевисайда, дельта-функция Дирака, гармонический сигналы его параметры, экспоненциальный сигнал, экспоненциальный сигнал с комплексным показателем и формулы Эйлера.

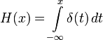
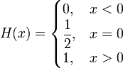
Функция Хевисайда

Функция Хевисайдаединичная ступенчатая функция — специальнаяматематическая функция, чьё значение равно нулю для отрицательных аргументов и единице для положительных аргументов:

Чаще всего неважно, какое значение функция принимает в нуле (H(0)).

Функция широко используется в математическом аппарате теории управления и обработке сигналов для представления сигналов, включающихся в определённый момент и остающихся включёнными постоянно. Функция Хевисайда является первообразной функцией для дельта-функции Дирака, H' = δ, это также можно записать как:

хотя это выражение не является математически точным.

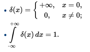
Дельта-функция Дирака

Де́льта-фу́нкция (или δ-функция, δ-функция Дирака, дираковская дельта, единичная импульсная функция)

это функция, которая в определенный момент времени равна бесконечности, а в остальное время равна 0.

Площадь под графиком этой ф-ии равна 1.

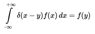
Фильтрующее свойство дельта функции

`

12. Определение базисных сигналов. Тригонометрический базис гармонических сигналов.

Сложный сигнал удобно представлять суммой простых сигналов (базисных): функцией Хевисайда, Гармоническая функция, экспоненциальный сигнал…

Гармонический сигнал можно представить в виде синуса или косинуса - это и есть базис

В линейном пространстве сигналов можно определить совокупность линейно независимых сигналов {ei(t)} таких, что весовая сумма åaiei=0 возможна только при одновременном равенстве нулю всех коэффициентов a. Эти сигналы называются координатным базисом. Базисные сигналы попарно ортогональные.

13. Обобщенный ряд Фурье. Формулы расчета весовых коэффициентов ряда Фурье. Понятие спектра сигнала.

Если выбраны сигналы координатного базиса, то любой сигнал s(t) в линейном пространстве может быть представлен взвешенной суммой ортогональных сигналов координатного базиса Сумма(Сiei(t)=s(t))

Такое представление сигнала называется обобщенный ряд Фурье.

Совокупность коэффициентов обобщенного ряда Фурье {Сi} называется спектром сигнала s(t) в базисе ортогональных сигналов {ei(t)}

Рисунок 1-2. Связь между временной и частотной областью

14.Периодический сигнал и формы представления его спектра в ортогональном базисе гармонических сигналов: квадратурная форма, амплитудно-фазовая форма, комплексная форма.Комплексный фазор. Понятие отрицательной частоты в гармоническом спектре.

Периодическим называют сигнал, мгновенные значения которого повторяются через равные промежутки времени – Т

Модель такого сигнала имеет вид

где Т- период повторения, а F=1/T-частота повторения периодического сигнала (ПС)

Основной математический аппарат спектрального анализа таких сигналов –ряд Фурье в базисе гармонических сигналов с кратными частотами.

Спектр – это набор синусоидальных волн, которые, будучи надлежащим образом скомбинированы, дают изучаемый нами сигнал во временной области.