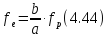
Shunday
qilib,
sharti quyidagini
anglatadi:

Tun qorongusida inson ko‘zi qorachigisining diametri tahminan 6 mm tashkil qiladi, shunday qilib, obyektivi 100 mm bo‘lgan teleskopning minimal kattalashtirishi tahminan 17 ga teng bo‘ladi.
|
|
|
4.17-rasm. Xromatik aberratsiya. Turli ranglardagi yorug‘lik nurlari turlicha sinib, har xil fokual nuqtalarga yig‘iladi (chapda). Aberratsiya ikkita qismdan iborat axromatik linza yordamida bartaraf etiladi (o‘ngda) |
qiymatga kelib u ekstremumga erishadi (odatda minimum). Bu nuqta
atrofida to‘lqin uzunligi o‘zgarishi bilan fokus masofaning
o‘zgarishi juda ham kichik bo‘ladi (4.18-rasm).
Agar teleskop vizual kuzatuvlarga mo‘ljallangan bo‘lsa, biz
ko‘zning maksimal sezgirligiga mos kelaigan
tanlaymiz. Fotografik refraktorlarning obyektivlari odatda
moslab yasaladi, chunki oddiy fotografik plastinkalar spektrning
havorang qismida eng katta sezgirlikga ega.
|
|
|
4.18-rasm.Vizual
kuzatuvlarga mo‘ljallangan tipik axromatik obyektivdagi fokus
masofasining to‘lqin uzunligiga bog‘liqligi. Fokus masofasi
ko‘z maksimal ravishda sezgir bo‘ladigan
|
|
|
4.19-Rasm. Chikago universitetidagi Yerk observatoriyasining dunyodagi eng yirik refraktori. Uning obektivida diametri 102 sm ga teng linza joylashgan |
Dunyodagi eng katta refraktorlarning diametrlari taxminan 1 m tashkil qiladi (102 sm Yerk observatoriyasi teleskopi, 1897-yilda qurib bitkazilgan (4.19-rasm), 91 sm Lik observatoriyasi teleskopi (1888)). Ularning yorug‘lik kuchi odatda f/10 ... f/20 teng.
Refraktorlarning ishlatilishi ularning kichik kuzatish maydon hamda murakkab konstruktiv qo‘rilmasi bilan chegaralanadi. Refraktorlar, masalan, qo‘shaloq yulduzlarning vizual kuzatuvlarida yokiturli meridianal teleskoplarda yulduzlarning joylashishini o‘lchashda qo‘llaniladi. Fotografiyada ular aniq joylashishlarnio‘lchashda, masalan, parallakslarni aniqlashda ishlatiladi.
Yanada
kattaroq maydonni kuzatish uchun ancha murakkab linza sistemalari
ishlatiladi, bunday qurilmalar astrograf
deyiladi. Astrograflarlarning obyektivlari odatda 3-5 linzalardan
topgan bo‘lib, diametri 60 sm dan kichik bo‘ladi. Ularning
yorug‘lik kuchi f/5 ... f/7 bo‘lib, kuzatuv maydoni taxminan
ni tashkil etadi. Astrograflar, masalan yulduzlarning hususiy
harakatlarini tadqiq etishga yoki ular ravshanliklarining statistik
tahlilini olib borish maqsadida osmonning katta maydonlarini
fotografik su’ratga olishda ishlatiladi.
Reflektorlar. Astrofizik tadqiqotlardagi egng keng tarqalgan teleskpolarning turi bu kzzguli teleskoplar yohud reflektorlar. Yorug‘lik to‘plovich sirti sifatida u erda alyuminiyning yupqa qatlami bilan qoplangan ko‘zgudir. Ko‘zguning shakli odatda parabolik bo‘ladi. Parabolik ko‘zgu teleskopga uning bosh o‘qiga parallel tushayotgan barcha yorug‘lik nurlarini fokal nuqtasiga qaytarib yuboradi. Uщbu nuqtada shakillangan tasvirni okulyar orqali kuzatsa yoki detektor orqali qayd qilsa bo‘ladi. Reflektorlarning afzalliklaridan biri shundan iboratki, ularda xromatik aberatsiya bo‘lmaydi chunki barcha to‘lqin uzunliklari bitta nuqtaga aks ettiriladi.
|
|
|
4.20-rasm. Reflektorlardagi fokuslarning turlicha joylashuvi: birlamchi fokus, Nyuton fokusi, Kassegren va Kude fokusi. Bu rasmda keltirilgan Kude sistemasini olam qutbiga yaqin sohalarni kuzatishda ishlatib bo‘lmaydi. Kudening yana ham mukammal sistemalari birlamchi va ikkinchi ko‘zgularidan keyin yana 3 ta tekis ko‘zguga ega bo‘ladi. |
Eng yirik teleskoplarda kuzatuvchi o‘zining asboblari bilan tushayotgan yorug‘likni sezilarli darajada to‘smasdan birlamchi fokusda joylashgan mahsus maydonchada (kabinkada) o‘tirishi mumkin (4.20-rasm). Kichik teleskoplarda bunday qilib bo‘lmaydi va tasvirni teleskopdan tashqarisidan kuzatish mumkin. Zamonaviy teleskoplarda asboblar masofaviy boshqariladi, shunda kuzatuvchi, termal turbulentlikni kamaytirish maqsadida, teleskopdan ancha uzoqda joylashishi kerak.
Eng
kata teleskoplarda kuzatuvchi uchun alohida xona ajratilgan bo‘lib,
kuzatuv o‘sha erdan olib boriladi. Zamonaviy teleskoplarda esa
teleskop boshqaruvi avtomatizatsiyalashtirilgan bo‘lib, masofadan
boshqariladi hamda issiqlik turbulentligini kamaytirish maqsadida
kuzatuvchi teleskopdan uzoqda bo‘ladi. 1663- yilda Jeyms Gregori
(1638-1675) reflektorni ta’riflab berdi. Lekin reflektor ilk
marotaba amalda Isaak Nyuton tomonidan yasalgan. U
yorug‘likni
kichkina tekis ko‘zgu yordamida teleskopga
perpendikulyar yo‘nalishda
chiqargan.
Shuning uchun bunday sistemadagi tasvir fokusi Nyuton
fokusi
deb ataladi. Nyuton
teleskopining odatiy yorug‘lik kuchi
ga teng. Imkoniyatlarning yana biri shundan iboratki, birlamchi
ko‘zgu o‘rtasida teshik o‘yiladi va undan teleskopning oldi
qismida joylashgan ikalamchi giperbolik shaklidagi ko‘zgudan
qaytarilgan nur o‘tadi. Shunga o‘xshash konstruksiyada nurlar
Kassegren
fokusida
yig‘iladi. Kassegren
sistemalarida
yorug‘lik
kuchi
ga teng.
|
|
|
4-21.rasm.
Kassergren reflektorining ishlash prinsipi.
Botiq (parabolik) birlamchi ko‘zgu
|
Kassergren
teleskopining effektiv fokus masofasi (
)
uning ikkilamchi ko‘zgusining qavariqligi va joylashishiga bog‘liq.
4.21-rasmdagi belgilanishlardan foydalanib quyidagini yozishimiz
mumkin:

Agar
biz
ni
tanlasak,
ga
ega bo‘lamiz.
Shunday qilib, katta fokus masofasiga ega bo‘lgan ixcham teleskoplarni yaratsa bo‘ladi. Kassergren sistemasi ayniqsa spektrografik, fotografik va boshqa ikkilamchi fokusga o‘rnatish imkoniyatiga ega asboblar bilan ishlashga juda qulay hisoblanadi.
Bundan
mukammalroq sistemalar bir nechta ko‘zguni ishlatib, nurni
teleskopdagi og‘ganlik o‘qlari orqali belgilangan kude
(fransuz so‘zi couder
dan olinib, egish ma’nosini bildiradi) fokusiga yo‘naltiradi, va
u teleskop yonidagi alohida xonada bo‘lishi ham mumkin (4.22.rasm).
Shunday qilib, uning fokus masofasi katta bo‘lib, yorug‘lik kuchi
ga teng bo‘ladi. Kude fokusi asosan aniq spektroskopiyada
ishlatiladi, chunki yirik spektrograflar statsionar bo‘lib, ularda
doimiy temperaturani ushlab tursa bo‘ladi. Kamchilik shundan
iboratki, kude sistemasidagi bir nechta ko‘zgularda qaytarish
natijasida yorug‘lik yo‘qotiladi. Alyuminiy qoplamaga ega ko‘zgu
unga tushgan nurning tahminan 80% ni qaytaradi va, shunday qilib,
masalan 5 ta ko‘zgudan (birlamchi va ikalamchi ko‘zgularni ham
hisobga olganda) iborat kude sistemasida yorug‘likning atigi
gina detektorga etib boradi.
|
|
|
4.22-rasm. Kitt Pik 2.1-m reflektorining kude sistemasi (Chizma Milliy Optik Astronomiya Observatoriyalari, Kitt Pik Milliy observatoriyaniki) |
Reflektor
ham o‘ziga
hos aberratsiyaga
ega bo‘lib, u koma
deyiladi.
U
optik
o‘qdan uzoqda joylashgan tasvirlarga o‘z ta’sirini ko‘rsatadi.
Bunda
yorug‘lik
nurlari bitta nuqtada kesishmasdan,
kometaga o‘xshash figurani
shakllantirishadi.
Koma sababli parabolik ko‘zguldi
klassik reflektor
juda ham kichik to‘g‘ri kuzatuv maydoniga ega bo‘ladi.
Teleskopning yorug‘lik kuchiga qarab,
koma
uning foydali maydonini 2-20 yoy minutigacha chegaralashi mumkin.
Masalan,
5
metrlik Palomar teleskopining foydali maydoni
4
ni tashkil etadi, bu Oyning taxminan 1/8 qismiga to‘g‘ri keladi.
Amalda foydali ko‘rish maydonni
turli to‘g‘rilovchi linzalar yordamida kattalashtirish
mumkin.
Agar
birlamchi ko‘zgu sferik bo‘lsa, unda koma bo‘lmas edi. Shunga
qaramay, bu turdagi ko‘zgular sferik
aberratsiya
nomli o‘ziga hos xatolikga ega: markazdan va chetki qismdan
kelayotgan yorug‘lik nurlari turli nuqtalarda yig‘iladi. Sferik
aberratsiyani bartaraf etish maqsadida estoniyalik astronom Bernhard
Shmidt
tushayotgan yorug‘lik nuri yo‘lida xatolikni to‘g‘rilovchi
yupqa linzani joylashtirgan. Shmidt kameralari (4.23- va 4.24-rasm)
juda keng (tahminan
)
hamda deyarli nuqsonlarsiz ko‘rish maydoniga ega, undagi
to‘g‘irlovchi linza qalinligi shunaqa yupqaki, unga tushayotgan
yorug‘likning juda kichik qismini yutadi. Yulduzlarning tasvirlar
o‘ta tiniq va aniq ko‘rinadi.
|
|
|
4.23-rasm.
Shmidt kamerasining ishlash prinsipi.
Botiq
sferik ko‘zguning egriganlik markazidagi to‘g‘irlovchi
shisha parallel yorug‘lik nurlarni og‘diradi va sferik
ko‘zgudagi sferik aberratsiyani bartaraf etadi. (Rasmda
to‘g‘rilovchi ko‘zgu egriligi hamda nurlarning yo‘nalishi
o‘ta bo‘rttirib ko‘rsatilgan). To‘g‘irlovchi shisha
egrilganlik markazida bo‘lganligi sababli, shakillangan tasvir
yorug‘lik nurlarning kiruvchi burchagiga deyarli bog‘liq
bo‘lmaydi. Shunday qilib, astigmatizm ham, koma ham bo‘lmaydi
va yulduzlarning tasvirlari
|
Shmidt teleskoplarida diafragma to‘g‘rilovchi linza bilan birgalikda ko‘zguning egrilik radiusi markazida joylashgan bo‘ladi (bu radius ikki barobar fokus masofasiga teng). Chetki qismdagi barcha yorug‘likni yig‘ish uchun asosiy ko‘zgu diametri to‘g‘rilovchi linzanikidan kattaroq bo‘lishi kerak. Masalan, Palomar Shmidt kamerasi diametri 122 sm to‘g‘rilovchi linza, o‘lchami 183 sm bo‘lgan asosiy ko‘zguga ega hamda uning fokus masofasi 300 sm. Dunyodagi eng katta Shmidt teleskopi Germaniyada, Tatenburgda joylashgan bo‘lib, uning o‘lchamlari mos ravishda 134/203/400 sm ga teng.
|
|
|
4.24-rasm. Evropa Janubiy observatoriyasining (ESO) katta Shmidt teleskopi. Ko‘zgusining diametri 1.62 m va erkin aperturaning o‘lchami 1 metrga teng |
Shmidt teleskopining kamchili – ma’lum bir sferaning qismi bo‘lgan fokal tekisligining egrilganligida. Teleskop fotografiya uchun ishlatilganda plastinka egrilangan fokal tekisligi bo‘ylab bukilishi kerak. Kuzatuv maydonining egrilganligini korreksiyalashning yana bir imkoniyatlaridan biri bu fokal tekisligiga yaqinida qo‘shimcha korreksiyalovchi obyektivni ishlatishdir. Bunday echim Finlyandiyalik astronom Iryo Vaysala tomonidan 1930 yillarda Shmidtdan mustaqil ravishda taklif qilingan edi. Shmidt kameralari osmonni xaritalashda o‘zlarini juda effektiv bo‘lib chiqishdi. Ular, oldingi qismlarda aytilgandek, Palomar Osmon Atlasini va uning davomi bo‘lmish ESO/SRC Janubiy Osmon Atlasini su’ratga olishda ishlatilgan.
Radioastronomiya astronomiyaning yangi yo‘nalishlaridan biri hisoblanadi. U chastotalar diapazonining bir necha megagersdan (MGs - 100 m) taxminan 300 MGs (1 mm) gacha bo‘lgan intervalini qamrab oladi va shu bilan kuzatish mumkin bo‘lgan elektromagnit spektrni bir necha tartibga kengaytiradi. Radiointervalning quyi-chastotalar chegarasi ionosferaning noshaffofligi bilan belgilanadi, yuqori chastotalar chegarasi esa atmosferaning quyi qatlamlaridagi kislorod va suv tomonidan kuchli yutilish polosalari bilan belgilanadi. Ammo bu cheklashlarning birontasi ham mutloq emas va qulay shart-sharoitlar ostida radioastronomlar submillimetr sohasida yoki Quyosh dog‘larning minimumi davrlarida ionosferadagi tuyniqlar orqali ishlashligisi mumkin.
XX asr boshlarida Quyoshdan keladigan radionurlanishni kuzatishni urunib ko‘rilgan. Biroq, bu tajribalar natijalarga olib kelmadi, bunga sabab antenna-qabul qiluvchi sistemaning sizgirligi pastligi va kuzatuvlarning aksariyati o‘tkazilgan past chastotalarda ionosferaning noshaffofligi bo‘lgan. Kosmik radionurlanishning birinchi kuzuvlari keyinchalik amerikalik muhandis Karl G. Yanskiy tomonidan 1932-yilda momaqaldiroq paytida 20.5 MGs (14.6 m) da chaqmoq chaqnashi sababli radio g‘alayonlanishlarni o‘rganish paytida amalga oshirilgan. U 24 soatli davr bilan o‘zgaradigan, kelib chiqishi noma’lum bo‘lgan radiomanbani topdi. U biroz keyinroq ushbu nurlanishning manbasi Galaktika markazi yo‘nalishi bilan to‘g‘ri kelishini aniqladi.
Radioastronomiyaning asli tug‘ilishini 1930-yillarning oxiri bilan belgilasa bo‘ladi, shunda Grout Reber o‘zining o‘zi yasagan 9.5 metrli parabolik antenna yordamida sistematik kuzatishlarni boshlagan edi. Bundan keyin radioastronomiya juda tez rivojlanib ketdi va Koinot haqidagi bilimlarimizni kengatirib berdi.
Kuzatuvlar ham uzuluksiz (keng polosada) va spektral chiziqlarda (radio spektroskopiya) olib boriladi. Bizning Somon Yo‘limizning tuzilishi xaqidagi bilimlarimizning aksariyat qismi neytral vodorodning 21 santimetrdagi va yaqin vaqtdan boshlab 2.6 millimetrdagi uglerod monooksidi chiziqlarning radiokuzatuvlaridan olingan. Radioastronomiya muhim bo‘lgan qator ochilishlarga sabab bo‘lgan, masalan pulsarlar ham kvazarlar birinchi bo‘lib aynan radioastronomik kuzatuvlar orqali topilgan. Ushbu soha muhimligini fizika bo‘yicha Nobel mukofoti yaqin orada ikki marotaba radioastronomlarga berilganligidan ko‘rishimiz mumkin.
Radioteleskop nurlanishni obektiv yoki antennada eg‘ib, radiometr deb nomlanuvchi qabul qiuvchi yordamida uni elektr signaliga aylantiradi. So‘ngra bu signal kuchaytiriladi, detektorlanadi va integrallashtiriladi va chiqishda biron –bir yozib oluvchi vositaga, hozirgi kunda kompyuterda qayd etiladi. Qabul qilinayotgan signalning kuchsizligi sababli sezgirligi yuqori bo‘lgan qabul qilgichlardan foydalanish talab etiladi. Ko‘p hollarda kelayotgan nurlanishning shovqinini kamaytirish maqsadida ular sovutiladi, aksi holda shovqin manbadan kelayotgan signalni qoplab qo‘yishi mumkin. Radioto‘lqinlar ham elektromagnit nurlanish bo‘lganligi uchun ular ham oddiy yorug‘lik nurlari singari qaytadi va sinadi. Ammo radioastronomiyada ko‘pincha qaytaruvchi (aks etuvchi) teleskoplar qo‘llaniladi.
Past chastotalarda antennalar odatda dipol bo‘ladi (radio va televizorlarda ishtiladigan kabi), lekin yorug‘lik yig‘uvchi yuzani hamda ajrata olish qobiliyatini kattalashtirish maqsadida dipol massivlari ishlatiladi – u erda barcha dipol elementlari bir biriga ulangan bo‘ladi.
Eng ko‘p tarqalgan antenna bu parabolik reflektor bo‘lib, u xuddi optik ko‘zguli teleskop kabi ishlaydi. Katta to‘lqin uzunliklarda qaytaruvchi sirt bir tekis uzliksiz bo‘lishi shart emas, katta to‘lqin uzunligidagi fotonlar qaytaruvchi sirtidagi teshiklarni ko‘rmaydi va shuning uchun antenna odatda metallik to‘r (setka) ko‘rinishida yasaladi. Yuqori chastotada ishlash uchun esa nurlanishni qabul qiluvchi yuza juda ham silliq bo‘lishi shart, hattoki millimeter-submillimetr diapazonida esa radioastronomlar o‘zlarining radiometrlarini o‘rnatib, yirik optik ko‘zguli teleskoplardan foydalanishadi. Signalning kogerent (o‘zaro kelishilgan) kuchayishini ta’minlash maqsadida sirtning notekisliklari kuzatuv olib boriladigan to‘lqin uzunligining 1/10 qismidan kichik bo‘lishi kerak.