



Введение……...……………………………………………………………………... 6
1 Технико-эксплуатационная характеристика четной системы станции………..7
1.1 Краткая техническая характеристика четной системы ..………………7
1.2 Характеристика эксплуатационной работы четной системы ………...11
1.3 Организация использования технических средств четной системы…13
1.4 Выводы…………………………………………………………………..14
2 Определение основных параметров базового варианта технологии работы четной системы………………………………………………………..……………15
2.1 Обоснование числа и специализации технологических линий системы……………………………………………………………………………...........15
2.2 Определение суточного объема работы технологических линий системы……………………………………………………………………………………16
2.3 Определение маневровых параметров сортировочной системы……..17
2.4 Определение параметров системы обеспечения составов локомотивами и локомотивными бригадами………………………………………………….18
2.5 Выводы…………………………………………………………………...20
3 Аналитический расчет показателей работы сортировочной станции для базового варианта………………………………….……………………………………20
3.1 Заполнение макета исходных данных и расчет на ЭВМ показателей работы станции………………………………………….………………………….20
3.2 Выявление технологических линий и парков, вызывающих затруднения в переработке и пропуске вагонопотоков………...………………………….20
3.3 Установление причин затруднений в работе технологических линий и парков……………………………………………………………………….………20
4 Разработка улучшенного варианта технологии и технического оснащения четной системы …………………………………….………………………….………25
4.1 Разработка мероприятий по совершенствовании технологии работы четной системы……………………………………………………………………...25
4.2 Расчет показателей работы станции для улучшенного варианта….….25
4.3 Сравнение показателей работы четной системы по вариантам……….25
4.4 Выводы……………………………………………………………………26
5 Выбор оптимального варианта технологии и технического оснащения четной системы………………………………………….………………………………… 28
5.1 Определение суммарных расходов по вариантам и выбор наиболее целесообразного.………...…………………………………………………………..28
5.2 Характеристика особенностей и достоинств выбранного варианта технологии и технологического оснащения четной системы ..……………………30
5.3 Пропускная и перерабатывающая способность элементов станции при выбранном варианте и уровень использования ее..……………………………36
5.4 Выводы……………………………………………………………………38
Заключение…………………………………………………………….…………....40
Приложение А – Схема станции в осях путей…………………………………….45
Приложение Б – Потоки поездов и составов по технологическим линиям станции……………………………………………………………….…………………46
Приложение В – Потоки поездных локомотивов по станции…..……………….46
Приложение Г – Макет исходных данных, результаты расчета на ЭВМ показателей работы станции по вариантам……………………………………………….47
Приложение Д – Показатели работы станции по базовому варианту……………………………………………………………………………..............55
Приложение Е – Показатели работы станции по улучшенному варианту…………………………………………………………………………...............62
Важнейшей задачей сортировочных станций является обеспечение ускоренного пропуска и переработки транзитных вагонопотоков.
Наилучшее использование технических средств, технологического оборудования и рабочей силы, наиболее низкая себестоимость переработки вагонов могут быть достигнуты только при высокой загрузке и отсутствии перерывов в работе бригад ПТОВ, горок, вытяжек, выходных участков и др.
Для одновременного выполнения этих противоречивых требований необходима разработка и совершенствование технологии и технического оснащения станции, что и является цель курсового проекта.
В соответствии с поставленной целью необходимо решить следующие задачи:
- дать краткую технико-эксплуатационную характеристику четной системы станции;
- разработать базовый вариант работы четной системы;
- выполнить аналитический расчет показателей работы станции для базового варианта;
- на основе анализа показателей выявить лимитирующие технологические линии и парки, установить причины затруднения и наметить меры по ликвидации этих затруднений;
- разработать улучшенный вариант работы системы и рассчитать показатели для него;
- сравнить базовый и улучшенный вариант;
- выбрать наиболее целесообразный из вариантов.
Принятая в проекте организация работы должна обеспечивать переработку и пропуск заданных вагонопотоков при наименьших простоях вагонов, высокой эксплуатационной надежности станции, эффективном использовании технических средств, минимальных эксплуатационных расходах и безопасном выполнении работы.








Базовый вариант – существующий вариант, при котором заданный объем работы станции будет выполняться при минимально необходимом числе маневровых локомотивов на горке и вытяжках, при минимальном составе бригад ПТОВ, при минимальном числе выдач поездных локомотивов и явок локомотивных бригад, при минимальном путевом развитии станции.
На односторонней станции технологическими линиями (ТЛ) являются бригада работников ПТОВ, ПТОЛ, технические средства и устройства.
В ПП две одноканальные ТЛ: в 1-ой фазе одна подготавливает составы к расформированию, во 2-ой фазе другая расформировывает составы. В СП1многоканальная ТЛ, которая занимается окончанием формирования и перестановкой составов в ПО. В 1-ой фазе ПО две ТЛ: одна обрабатывает транзитные поезда и составы своего формирования, подлежащие отправлению со станции, в четной секции парка, другая – в нечетной. Во 2-ой фазе ПО ТЛ, представляющих собой систему обеспечения обработанных вагонниками составов поездными локомотивами и локомотивными бригадами, число ТЛ определяется по количеству депо приписки локомотивов и локомотивных бригад. В 3-ей фазе ПО ТЛ определяются по количеству выходных участков, обеспечивающих отправление поездов в зависимости от направления.
На основании таблицы 1.2 определяются суточные объемы работы ТЛ и показываются суточные потоки поездов и составов в Приложении Б. По данным таблицы 1.3 разрабатывается схема потоков поездных локомотивов в системе и на прилегающих участках, представленная в Приложении В.
2.3 Определение маневровых параметров сортировочной работы
Для определения времени занятия горки повторной сортировкой выполняется расчет нормативных коэффициентов, представленный в таблице 2.1.
Таблица 2.1 - Расчет нормативных коэффициентов аг и вг
|
Наименование маневровых операций |
Величина параметров, мин |
|
|
аг |
вг |
|
|
Холостой заезд с горки в СП |
1,6 |
- |
|
Груженый выезд из СП |
1,5 |
- |
|
Короткий надвиг |
0,4 |
0,24 |
|
Роспуск вагонов |
- |
0,100 |
|
Итого |
3,5 |
0,34 |
Расчет нормативных коэффициентов для определения времени перестановки вагонов на вытяжке представлен в таблице 2.2.
Таблица 2.2 - Расчет нормативных коэффициентов ав и вв
|
Наименование маневровых операций |
Число вагонов в маневровом составе |
Длина полурейса, м |
Величина параметров, мин |
|
|
ав |
вв |
|||
|
Холостой рейс с вытяжки на сортировочный путь |
- |
300 |
1,10 |
- |
|
Перестановка вагонов на вытяжку с сортировочного пути |
20 |
600 |
1,56 |
0,030 |
|
Перестановка вагонов с вытяжки на другой сортировочный путь |
20 |
600 |
1,10 |
0,030 |
|
Холостой рейс с сортировочного пути на вытяжку |
- |
300 |
1,10 |
- |
|
Итого |
|
|
5,32 |
0,06 |
2.4 Определение параметров системы обеспечения составов поездными локомотивами и локомотивными бригадами (СОСЛИБ)
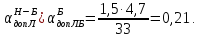
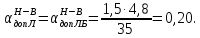
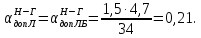
Для расчета показателей СОСЛИБ определяются основные параметры этой системы: число выдач локомотивов и явок локомотивных бригад на каждый выходной участок и максимальную величину технологического резерва (ТР) локомотивов и бригад по депо их приписки.
Число выдач локомотивов и явок локомотивных бригад определяется из условия обеспечения колебаний среднесуточного отправления по формуле:



;

;

;

;
Определим долю дополнительных выдач локомотивов и явок локомотивных бригад на каждый участок.





Расчет величины максимального уровня технологического резерва локомотивов и локомотивных бригад по депо их приписки:










Часть локомотивов, находящихся в технологическом резерве, может быть принята бригадами и ожидать готовности составов в парках отправления. Число таких локомотивов для данного депо устанавливается по одному на каждый выходной участок, обслуживаемый локомотивами этого депо.
2.5 Краткие выводы
В таблице 2.3 представлены параметры ТЛ для базового варианта технологии и технического оснащения станции.
Таблица 2.3 - Параметры ТЛ для базового варианта технологии и технического оснащения станции
|
Элементы станции и выходные участки |
Значения параметров технологических линий |
|
|
Парк приема |
Одна бригада ПТОВ из трех групп для обработки составов разборочных поездов |
|
|
Сортировочная горка |
Два горочных локомотива, каждый из которых используется для выполнения всех операций горочного цикла |
|
|
Сортировочный парк |
Один дополнительный (диспетчерский) путь, используемый для накопления составов по усмотрению ДСЦ |
|
|
Продолжение таблицы 2.3 |
||
|
Система формирования |
Четыре маневровых локомотива, используемых для формирования составов поездов на любой из трех вытяжек |
|
|
Парк отправления |
Одна бригада ПТОВ из пяти групп; бригада используется для обработки любого состава поезда ТР и СФ |
|
|
Система обеспечения поездными локомотивами и локомотивными бригадами |
Среднесуточное число выдач локомотивов приписки депо |
Н, всего 168, из них на участок Н-А- 37, Н-Г – 42, Н-Б - 41, Н-В – 43 локомотива |
|
Среднесуточное число явок локомотивных бригад приписки депо |
Н, всего 84, из них на участок Н-А - 37, Н-Г – 42 бригады Б, всего 41бригады В, всего 43 бригады |
|
|
Наибольшее число локомотивов технологическом резерве приписки депо Н-11 |
||
|
Наибольшее число локомотивных бригад в технологическом резерве приписки депо Н-6, Б-3, В-3 |
||
|
Выходные участки |
Наличная пропускная способность для грузового движения участков: Н-А- 140, Н-Г- 140, Н-Б-158, Н-В-158. |
|