Материал: Texничecкaя характеристика насоса, предназначенного для проведения работ в скважине

Внимание! Если размещение файла нарушает Ваши авторские права, то обязательно сообщите нам

Texничecкaя характеристика насоса, предназначенного для проведения работ в скважине

Обозначения

- давление, МПа;- температура, К;- температура, оС;- массовый расход флюида, кг/с; - объемный расход флюида, м3/с;

ρ - плотность флюида, кг/м3;

ρ0 - плотность газа однократного разгазирования нефти при нормальных условиях, кг/нм3;

µ - коэффициент динамической вязкости флюида, мПас;

Гф - пластовый газовый фактор, нм33;

ГфI - пластовый газовый фактор, нм3/т;- объемный коэффициент;

βp - коэффициент сжимаемости, 10-4 1/МПа;

βt - коэффициент термического расширения, 10-3 1/К;

α - коэффициент растворимости газа в нефти, нм33;

н,в,г - индексы: нефть, вода, газ;0 - температура при нормальных условиях, Т0=273 К;0 - давление при нормальных условиях, p0 = 0.1 МПа;эк - внутренний диаметр эксплуатационной колонны, м;нкт - внутренний диаметр насосно-компрессорных труб, м;

1. Цели и задачи расчета глубины подвески насоса

Цель расчета глубины подвески насоса заключается в обеспечении межремонтного периода его работы соизмеримого с периодом ремонтных работ в скважине, обусловленных значительным снижением её продуктивности за счет кольматации призабойной зоны пласта асфальтосмолопарафиновыми отложениями или накоплением песчаной пробки. Межремонтный период работы установки УЭДН-5 должен быть соизмерим с таковым при эксплуатации скважины установками УСШН и УЭЦН в аналогичных геолого-промысловых условиях.

Расчет глубины подвески насоса должен выполняться как на этапе проектирования, так и в процессе эксплуатации скважины с учетом динамики её продуктивности.

При расчете глубины подвески насоса необходимо учитывать влияние факторов, снижающих коэффициент полезного действия насосной установки и сокращающих межремонтный период ее работы. К таким факторам относятся: выделение из нефти газа, отложение парафина и асфальто-смолистых веществ, отложения солей, накопление на забое скважины песчаной пробки, абразивный износ деталей насоса и всего подземного и наземного оборудования и др.

Задачи, решаемые при расчете глубины подвески насоса, включают:

определение оптимального давления на приеме насоса по условию уменьшения влияния свободного газа на коэффициент подачи насоса;

определение оптимальной температуры на приеме насоса по условию исключения отложения парафина и асфальто-смолистых веществ, а также солей на деталях насоса;

определения оптимальной скорости откачки жидкости по условию исключения выноса мелких фракций песка из пласта в скважину.

Задачи решаются с использованием кривых распределения давления и температуры по длине эксплуатационной колонны от забоя до динамического уровня, а также по длине колонны насосно-компрессорных труб от места ycтaнoвки нacoca дo ycтья скважины.

насос нефть вода давление

2. Texничecкaя характеристика установок УЭДН 5

Таблица 1

Шифp ycтaнoвки

Подача номинальная, м3/сут.

Напор, м

Рекомендуемая рабочая область

Мощность, кВт

К.п.д. Насоса %




Подача,

Напор, м



УЭДH5-4-2000 УЭДH5-6,3-1500 УЭДH5-8-1300 УЭДH5-10-1200 УЭДH5-12,5-900 УЭДH5-16-750 УЭДH5-20-600

4,0 6,3 8,0 10,0 12,5 16,0 20,0

2000 1500 1300 1200 900 750 600

3,5 - 6,0 5,8 - 8,0 7,5- 10,0 9,0- 11,0 12,0-14, 0 15,0- 17,0 19,0- 21,0

1330-2280 1180-1630 1040-1380 1090-1330 800-940 700-800 570-630

2,55 3,15 3,25 3,35 3,40 3,40 3,50

0,363 0,347 0,370 0,415 0,383 0,408 0,397


Типовая схема оборудования устья скважины при использовании УЭДН в целом совпадает со схемой при использовании УЭЦН (рис. 1.):

Рисунок 1

Монтаж установки УЭДН 5 показан на рис. 2.

Рис. 2. Схема монтажа установки УЭДН 5: 1 - Электронасос типа ЭДН5, 2 - Сливной клапан, 3 - НК, 4 -Токопроводящий кабель, 5 - Пояса для крепления кабеля. 6 - Электроконтактный манометр, 7 - Обратный клапан, 8 - Комплектное устройство

Электронасосы типа ЭДН5 выполнены в виде вертикального моноблока. Снизу вверх расположены асинхронный электродвигатель, конический редуктор, плунжерный насос с эксцентриковым приводом, пружинным возвратом плунжера и сменной парой плунжер-втулка (см. рис. 3.). Узлы расположены в общей камере, заполненной маслом и изолированной от перекачиваемой среды. В нижней части моноблока изоляция обеспечивается компенсатором изменений объема масла, а в верхней части - плоской диафрагмой. Выше диафрагмы расположены всасывающий и нагнетательный клапаны, монтажный патрубок, защитная сетка, зажимы для уплотнения кабеля и корпус токоввода, унифицированного с розеткой для соединения электронасоса с муфтой кабельной линии. В корпус встроен компенсатор для выравнивания давления при погружении и ввинчен клапан с резьбой М16´1,5 для прокачки воздуха из полости токоввода и его опрессовки при монтаже насоса в скважине. Верхняя шламовая труба предназначена для защиты нагнетательного клапана электронасоса от осаждения твердых частиц, поступающих с откачиваемой жидкостью. Трубы имеют длину 1500 мм и снабжены резьбой для соединения между собой и со шламовым патрубком электронасоса. Верх верхней трубы закрыт конусом с радиальными отверстиями. Откачиваемая жидкость через нагнетательный клапан поступает в шламовые трубы и через радиальные отверстия конуса выбрасывается в НКТ. Кольцевое пространство между шламовыми трубами и стенками насосно-компрессорной трубы служит камерой для осадка твердых частиц.

3. Исходные данные для расчета

Проектирование способа экcплyaтaции cквaжины ycтaнoвкaми УЭДH-5, a тaкжe oптимизaция paбoты дeйcтвyющeй ycтaнoвки вoзмoжны лишь пpи наличии ocнoвныx иcxoдныx дaнныx, к кoтopым oтнocятcя:

-       гeoмeтpичecкaя xapaктepиcтикa cквaжины (глyбинa cквaжины, тoлщинa плacтa, диaмeтp cтвoлa cквaжины пo дoлoтy в интepвaлe плacтa, диaмeтp и rлyбинa cпycкa экcплyaтaциoннoй кoлoнны, интepвaл пepфopaции, гeoмeтpия cтвoлa cквaжины);

-       Эксплуатационный горизонт по промысловой классификации, его механическая характеристика (устойчивость к разрушению) и коллекторские свойства (пористость, проницаемость);

-       Планируемый дебит жидкости и критерии его ограничения;

-       Коэффициент продуктивности скважины, динамический уровень жидкости;

-       Степени обводнения откачиваемой продукции;

-       Физико-химические свойства пластовой и дегазированной нефти, пластовой воды, состав газа однократного разгазирования пластовой нефти.

Желательно иметь графические зависимости физических свойств нефти газа от давления при пластовой температуре.

Рис. 3. Устройство насоса типа УЭДН5

4. Расчет физических свойств нефти, воды и газа

.1 Расчет физических свойств нефти

.1.1 Давление выше давления насыщения

При давлении выше давления насыщения весь газ растворен в нефти и плотность нефти зависит только от давления и температуры, а вязкость нефти только от температуры.

Расчет плотности нефти ведется по формуле:

 (1)

где  - плотность пластовой нефти;  - объемный коэффициент,

.(2)

Вязкость нефти определяется по формуле:


где .

Пример 1. Рассчитать физические свойства нефти при температуре Т = 305 К и давлении p = 10 Мпа.

Исходные данные: пластовая температура Тпл = 318 К; пластовое давление pпл = 14,5 МПа; давление насыщения pнас = 9 МПа; плотность пластовой нефти ρнпл = 835 кг/м3; вязкость пластовой нефти µнпл = 12,5 мПас, коэффициенты βр = 7,5∙10-4 1/МПа; βt = 4∙10-4 1/К.

Так как p>pнас, то имеем:

bн = 1 - βp(pпл - p) + βt(Tпл - T) =1 - 7,5∙10-4(14,5 - 10) + 4∙10-4(318 - 305) = 1,0018.

ρн = ρнпл∙bн = 835∙1,0018 = 836,5 кг/м3.µt = 8∙10-5ρнпл - 0,047 = 8∙10-5∙835 - 0,047 = 0,0198.

µн = µнпл = 12,5∙e0,0198∙(318-305) = 16,2 мПас..

.1.2 Давление меньше давления насыщения

При давлении меньше давления насыщения плотность нефти зависит от ее газонасыщенности, т.е. от количества растворенного в ней газа, и от давления и температуры.

Рассчитывается давление на забое скважины:

заб = pпл - ,(5)

где pпл - пластовое давление; ж - расход жидкости;

Кпрод - коэффициент продуктивности.

Определяется, в первом приближении, глубина начала выделения газа:

нас = Lкр - , (6)

где Lкр - глубина скважины до кровли пласта;

сж - плотность жидкости,

сж = снпл(1-nв) + pвnв; (7)

снпл - плотность пластовой нефти; pв - плотность пластовой воды; 

nв - обводненность скважинной продукции в поверхностных условиях.

Определяется, в первом приближении, температура на глубине начала выделение газа:

 (8)

Рассчитывается равновесное давление насыщения при температуре на глубине начала выделение газа:

, (9)

Где  - давление насыщения пластовой нефти при пластовой температуре;

 - пластовая температура;

 - пластовый газовый фактор, определенный при пластовой температуре;

 - молярные доли метена и азота в газе однократного разгазирования нефти при стандартной температуре и давлении =0,1Мпа.

Количество выделившегося газа:

, (10)

Количество растворенного в нефти газа:

. (11)

Плотность выделившегося газа:

, (12)

;(13)

;(14)

.(15)

Плотность растворенного в нефти газа:

; (16)

.(17)

Объемный коэффициент нефти:

 (18)

 (19)

 (20)

 (21)

Плотность газонасыщенной нефти:

 (22)

Вязкость дегазированной нефти при p0 и заданной температуре:

(23)

где  - вязкость дегазированной нефти при p0 и при T=293К;

 (24)

(25)

Вязкость газонасыщенной нефти:

 ,(26)

= 1+0,0129-0,0364(27)

= 1+0,0017-0,0228(28)

Пример 2. Рассчитать физические свойства нефти при температуре Т=303 К и давлении p=6 Мпа.

Исходные данные: пластовый газовый коллектор Гф=32 нм33; давление насыщения pнаст=8 Мпа ; плотность дегазированной нефти ρнд=885 кг/м3 ;плотность газа ρг=0.749 кг/нм3 ;

Коэффициент динамической вязкости нефти при Т=293 К µнд=61 мПас.

Гр = Гф - Гсв = 32-1,1=30,9 нм33;

;

;

;

 ;

;

 ;

 

;

;

;

 

 

;

4.2. Расчет физических свойств воды

Плотность пластовой воды при стандартных условиях с учетом содержания растворимых солей:

 при ;

 при ;

 при ;

Где с - массовая концентрация солей, мг/л;

;(29)

 - концентрация солей в воде в %.

Объемный коэффициент пластовой воды:

, (30)

; (31)

; (32)

; (33)

; (34)

; (35)

.(36)

. (37)

. (38)

Пример 3. Рассчитать физические свойства воды при давлении р=6 Мпа и температуре Т=303 К.

Исходные данные: концентрация солей в воде ;

;

;

αвT = 1,8∙10-4 + 0,18∙10-4(Т-293)0,6746 =

= 1,8∙10-4 + 0,18∙10-4(303-293)0,6746 = 2,651∙10-4 ;

βвT = 4,7∙10-4 + (Т - 293)(3,125∙10-4(Т - 293) - 2,5∙10-2)10-4 =

= 4,7∙10-4 + (303 - 293)(3,125∙10-4(303 - 293) - 2,5∙10-2)10-4 = 4,48∙10-4 ;

αT = 0,048/(Т - 273)0,2096 = 0,048/(303 - 273)0,2096 = 0,03 ;

ΔbвT = αвT (T - 293) = 2,651∙10-4 (303 - 293) = 26,51∙10-4:

Δbвp = - βвT p = -4,48∙10-4∙6 = -26,88∙10-4 ;

ΔbвГ = (1,8829 + 0,0102(Т - 293))10-4 p/10αТс =

= (1,8829 + 0,0102(303 - 293))10-4 ∙6/10αТс = 4,59∙10-4 ;в = 1 + ΔbвT + Δbвp + ΔbвГ = 1 + (26,51 - 26,88 + 4,59) 10-4 = 1,000422;в = pвст ∙ bв = 1094∙1,000422 = 1094,4 кг/м3 ;

μв = (1,4 + 3,8∙10-3вст - 1000))/100,0065(Т-273) =

= (1,4 + 3,8∙10-3(1094,4 - 1000))/100,0065(303-273) = 0,897 мПас.

.3 Расчет физических свойств газа

Приведенное давление и приведенное давление газа:

= p/(4,69 - 0,123); (39)np = T/(97 + 172), (40)

Где py - плотность углеводородной составляющей газа,

y = (pсво - paya)/(1 - ya);(41)

где pa - плотность азота; ya - молярная доля азота в газе.

Коэффициент сжимаемости углеводородного газа:

При 0≤ p ≤3,8 и 1,17≤ Tnp ≤2

y = 1 - p(0,18/(Тnp - 0,73) - 0,135) + 0,016/ (42)

при 0≤ p ≤1,45 и 1,05≤ Tnp ≤1,17y = 1 - 0,23 p-(1,88 - 1,6Tnp), (43)

при 1≤ p ≤4,0 и 1,05≤ Tnp ≤1,17y = 0,13 p +(6,05Tnp - 6,26)Tnp/. (44)

Коэффициент сжимаемости азота в интервале давлений = 0 - 20 МПа и температур Т = 280 - 380 К:

a = 1 + 0,564∙10-10(Т - 273)3,71. (45)

Коэффициент сжимаемости газовой смеси:

= Zyyy + Zaya, (46)

Где yy - молярная доля углеводородной части газа.

Плотность газа прирабочих условиях:

pг = pсво.(47)

Исходные данные: плотность углеводородной части газа py = 0,724 кг/нм3; концентрация в газе азота ya = 0,02; плотность азота pa = 1,25 кг/нм3; плотность свободного газа pсво = 0,657 кг/нм3.

= p/(4,69 - 0,123) = 6/(4,69 - 0,123∙0,724) = 1,247;np = T/(97 + 172) = 303/(97 + 172∙0,7242) = 1,619;y = 1 - p(0,18/(Тnp - 0,73) - 0,135) + 0,016/ =

= 1 - 1,247(0,18/(1,619 - 0,73) - 0,135) + 0,016∙1,2473,45/1,6196,1 = 0,9176;a = 1 + 0,564∙10-10(Т - 273)3,71 =

= 1 + 0,564∙10-10(303 - 273)3,71 = 1,0021;= Zyyy + Zaya = 0,9176∙0,98 + 1,0021∙0,02 = 0,919;г = pсво = 0,657 = 38,65 кг/м3

5. Расчет объемных расходных характеристик нефти, воды и газа и их смесей

Объемный расход дегазированной нефти:

нд = Qжд (1 - nв),(48)

где - объемный расход дегазированной жидкости; в - обводненность скважинной продукции в поверхностных условиях в объемных единицах.

Объемный расход нефти при рабочих условиях:

н = Qнд bн.(49)

Объемный расход дегазированной воды:

вст = Qж - Qнд.(50)

Объемный расход воды при рабочих условиях:

в = Qвст bв.(51)

Объемный расход газа свободного при рабочих условиях:

г = QндГсв.(52)ж = Qн + Qв. (53)= Qв/Qж. (54)

Объемный расход газожидкостной смеси в рабочих условиях:

см = Qж + Qг. (55)

Расходное объемное содержание нефти, воды и газа в газожидкостном потоке:

βн = Qн/Qсм;

βв = Qв/Qсм; (56)

βг = Qг/Qсм;

βн + βв + βг = 1. (57)

Плотность жидкости:

ж = pн∙(1-B) + pв∙В.(58)

Плотность газожидкостной смеси:

см = pн∙ βн + pв∙βв + pг∙βг.(59)

Пример 5. Рассчитать расходные параметры нефти, воды, газа и их смеси при давлении p = 6 МПа и температуре Т = 303 К.

Исходные данные: расход дегазированной жидкости Qжд = 20м3/сут.; обводненность скважинной продукции вповерхностных условиях nв = 0,4; количество свободного газа Гсв = 10,3 нм33; объемные коэффициенты bн = 1,0518, bв = 1,000422; коэффициент сжимаемости газа Z = 0,919; плотность нефти ρн = 863 кг/м3; плотность воды ρв = 1094,4 кг/м3; плотность газа ρг = 38,65 кг/м3.

Qнд = Qжд (1 - nв) = 20(1 - 0,4) = 12 м3/сут.н = Qнд bн = 12∙1,0518 = 12,62 м3/сут.вст = Qж - Qнд = 20 - 12 = 8 м3/сут.в = Qвст∙bв = 8∙1,000422 = 8,003 м3/сут.г = QндГсв = 12∙10,3 = 2,101 м3/сут.ж = Qн + Qв = 12,62 + 8,003 = 20,623 м3/сут.= Qв/Qж = 8,003/20,623 = 0,388.см = Qж + Qг = 20,263 + 2,101 = 22,723 м3/сут.

βн = Qн/Qсм = 12,62/22,723 = 0,5554.

βв = Qв/Qсм = 8,003/22,723 = 0,3522.

βг = Qг/Qсм = 2,101/22,723 = 0,0924.ж = pн∙(1-B) + pв∙В = 863∙(1 - 0,388) + 1094,4∙0,388 = 952,7 кг/м3;см = pн∙ βн + pв∙βв + pг∙βг =

= 863∙0,5554 + 1094,4∙0,3522 + 38,65∙0,0924 = 868,3 кг/м3.

6. Расчет кривой распределения температуры

Кривая распределения температуры от кровли пласта до устья скважины строится c целью: учета изменения термодинамических условий при расчете физических свойств и расходных характеристик нефти, воды, газа и водонефтяной эмульсии, определения глубины начала выделения из нефти газа, определения глубины начала кристаллизации парафина, оценки теплового режима работы электродвигателя и насоса.

При движении продукции в эксплуатационной колонне температура потока непрерывно снижается вследствие отдачи тепла в окружающие скважину горные породы, a также охлаждения потока при переходе газа из растворенного состояния в свободное и расширения его по мере снижения давления в потоке. При движении продукции между двигателем и эксплуатационной колонной и через насос температура продукции возрастает за счет нагрева ее теплом, выделяющимся двигателем и насосом в результате неполного преобразования подводимой к двигателю энергии в полезную работу. B колонне насосно-компрессорных труб температура потока также непрерывно снижается, но несколько по иному закону, чем в эксплуатационной колоне, за счет изменения условий теплообмена c горной породой через затрубное пространство, заполненное частично нефтью и частично газом. Температура потока в любом сечении эксплуатационной колонны между кровлей пласта и динамическим уровнем жидкости (при Lкр ≥ x ≥ Hдин):

Тх = Тпл -(Lкр - х).(60)

Зависимость температуры от расстояния от кровли пласта линейная. Температура потока y основания электродвигателя насоса:

Тэдв = Тпл -(Lкр - Lн).(61)

Средняя температура потока в зазоре между электродвигателем и эксплуатационной колонной:

Тдв = Тэдв + (62)

Средняя температура продукции в насосе:

Тн = Тэдв + (63)

Температура потока в любом сечении колонны насосно-компрессорных труб (при Lн ≥ х1 ≥ 0):

Тх1 = Тн - (Lн - x1). (64)

Температура потока на устье скважины:

Туст = Тн - Lн. (65)

Температуру потока в колонне насосно-компрессорных труб можно также рассчитать по формуле:

Тх1 = Тпл - (Lкр - x1).(66)

При x1 = 0 имеем температуру на устье скважины:

Тх1 = Тпл - Lкр .(67)

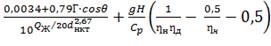
формулах (60) - (67): Lкр ,Lдв , Lн - расстояние от устья скважины до кровли пласта, основания двигателя насоса и подвеса насоса, соответственно; Г - геотермический градиент, К/м,

Г=;(68)

Тпл и Тнс - температура горных пород на отметке залегания кровли пласта и нейтрального слоя (для нефтяных месторождений Республики Коми Тнс= 276,5 - 277 K; Западной Сибири - 276 - 280 К; Пермской области, Башкортостана, Татарстана и Самарской области - 278 - 280,5 К; Белоруссии ~282 К; Краснодарского края и Чеченской Республики - 278 - 280,5 К; Азербайджана, Казахстана и Средней Азии - 285 - 293 К); нс - расстояние от поверхности Земли до нейтрального слоя горных пород (для перечисленных районов Lнс ~ 25м; dэк, нкт - внутренний диаметр эксплуатационной колонны и насосно-компрессорных труб, соответственно,

м;  - средний угол между осью ствола скважины и вертикалью, градусы; ж - дебит жидкости , м3/с;

Сp - массовая теплоемкость продукции, Дж/кг•К; - ускорение свободного падения, g=9,81 м/с2; - напор, развиваемый насосом, м;

 - к.п.д. электродвигателя и насоса.

Для расчета кривой распределения температуры необходимы исходные данные: глубина скважины до кровли пласта Lкр, диаметр эксплуатационной колонны dэк, диаметр насосно-компрессорных труб dнкт, средний угол наклона ствола скважины к вертикали, пластовая температура Тпл, динамический уровень жидкости Ндин, дебит жидкости, средняя на рассматриваемом участке массовая теплоемкость жидкости Ср, энергетическая характеристика двигателя (напор H, к.п.д. ) и насоса (к.п.д. ).

Пример 6. Рассчитать температуру пластовой жидкости в эксплуатационной колонне на глубине 1000 м и в колонне НКТ на глубине 300 м.

Исходные данные: температура пласта Т = 318 K (tпл = 45 °C) ; глубина скважины до кровли пласта Lк = 1500 м; глубина до нейтрального слоя Lнс = 25 м; температура нейтрального слоя Тнс = 280 К; скважина вертикальная (θ = 0); дебит жидкости Qж = 20 м3/сут = 0,000231 м3/с; Глубина спуска насоса Lн = 900 м; диаметр эксплуатационной колонны dэк= 0,15 м; диаметр насосно-компрессорных труб dнкт = 0,05 м; напор, развиваемый насосом Н = 600 м; к.п.д. насоса  = 0,4; к.п.д. электродвигателя  = 0,9; теплоемкость жидкости Cр = 2,5 КДж/кг•К.

Г =

Температура на глубине x = 1000 м:

Тх = Тпл -(Lкр - х)

=.

Тэдв = Тпл -(Lкр - Lн)

=

Тдв = Тэдв +

Тн = Тэдв +

Тх1 = Тн - (Lн - x1)

=

Туст = Тн - Lн

7. Расчет кривой распределения давления

Кривая распределения давления от кровли пласта до устья скважины строится c целью: учета изменения термодинамических условии при расчете физических свойств и расходных характеристик нефти, воды, газа и водонефтяной эмульсии, определения глубины начала выделения из нефти газа. При движении продукции в эксплуатационной колонне и в колонне насосно-компрессорных труб давление непрерывно снижается из-за гидравлических сопротивлении и затрат энергии на подъем жидкости c забоя скважины до устья. Расчет выполняется в интервале от кровли пласта до динамического уровня жидкости по эксплуатационной колонне и от устья до глубины начала выделения газа по колонне насосно-компрессорных труб.

.1 Расчет кривой распределения давления в эксплуатационной колонне

Кривая распределения давления в эксплуатационной колонне рассчитывается по двум участкам:

однофазное движение жидкости при давлении выше давления насыщения нефти газом, ;

двухфазное движение газожидкостной смеси при .

Расчет на участке однофазного движения жидкости выполняется в следующей последовательности.

.1.1 Давление больше давления насыщения

Рассчитывается давление на забое скважины,

, (69)

где  - пластовое давление;

 - расходом жидкости;

 - коэффициент продуктивности.

Определяется, в первом приближении, глубина начала выделения газа:

, (70)

где - глубина скважины до кровли пласта;

 - плотность жидкости,

; (71)

- плотность пластовой нефти;

- плотность пластовой воды;

- обводненность скважинной продукции в поверхностных условиях.

Определяется, в первом приближении, температура на глубине начала выделения газа:

 (72)

Рассчитывается равновесное давление насыщения при температуре на глубине начала выделения газа:

=  (73)

где  - давление насыщения пластовой нефти при пластовой температуре;

- пластовая температура;

- пластовый газовый фактор, определенный при пластовой температуре;

, - молярные доли метана и азота в газе однократного разгазирования нефти при стандартной температуре и давлении =0,1МПа.

При среднем давлении =  и средней температуре  определяют расход, плотность и вязкость нефти и воды, обводненность продукции (см. пункты 4 и 5) и уточняют глубину начала выделения газа по формуле:

; (74)

; (75)

- плотность жидкости,

- плотность нефти и воды при среднем давлении и средней температуре на участке однофазного течения;

- объемный расход нефти и воды при среднем давлении и средней температуре на участке однофазного течения; В-обводненность скважинной продукции;  - скорость движения жидкости,

; (76)

- коэффициент гидравлических сопротивлений при движении жидкости,

 при  (77)

 при ; (78)

; (79)

 - число Рейнольдса,

- коэффициент динамической вязкости жидкости,

 при В ; (80)

 при В;

- эквивалентная гидравлическая шероховатость,

Пример 7. Рассчитать глубину начала выделения из нефти газа.

Исходные данные: пластовое давление ; дебит жидкости

;коэффициент продуктивности

; давление насыщения при пластовой температуре  плотность пластовой нефти ;

плотность пластовой воды ; обводненность скважинной продукции  глубина скважины до кровли пласта ; геотермический градиент ; скважина вертикальная; диаметр эксплуатационной колонны ; пластовая температура ; газовый фактор ; доля углеводородных компонентов и азота в составе пластового газа

 

 

;

=  

;

=

.

При среднем давлении и средней температуре; по пункту 4.1.1 рассчитываем плотность и вязкость нефти: ;  по пункту 4.2 - плотность и вязкость воды;  по пункту 5-расходные параметры нефти и воды и их смеси: ;

;

;

при

 

 

 

.1.2 Давление меньше давления насыщения

При давлении меньше давления насыщения имеем двухфазное движение газожидкостной смеси.

Расчет на участке двухфазного движения ведется при использовании уравнения движения газожидкостной смеси в дифференциальной форме:

   (81)

где  - градиент давления;

- скорость движения газожидкостной смеси,

 (82)

 - расходная плотность газожидкостной смеси,

 (83)

λ- коэффициент гидравлических сопротивлений газожидкостной смеси,

λ= ψ λ0 ; (84)

ψ - приведенный коэффициент сопротивления,

ψ=1+0,5 βгж- ρг )Vотн / ρсм Vсм ;   (85)

отн - относительная скорость движения газа,

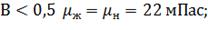
Vотн=0.02 м/c при B≤ 0.5 ;   (86)отн=0.17 м/c при B> 0.5 ;

B - обводненность скважинной продукции,

=Qв\Qж ; (87)

λ0 - коэффициент гидравлического трения гомогенного потока,

λ0=   при  ; (88)

λ0=0.11  при  ; (89)

- число Рейнольдса,

µж - коэфициент динамической вязкости жидкости

µж= µн при B≤ 0.5 ; (91)

µж= µв при B> 0.5;

Кэ - эквивалентная гидравлическая шероховатость, Кэ=150 мкм;- ускорение свободного падения, g=9.81 м/c2 ;

сист - истинная плотность газожидкостной смеси,

сист= сж(1-ϕ)+ сгϕ ; (92)

ϕ-истинное обьемное газосодержание,

ϕ=;   (93)

Пример 8. Рассчитать градиент давления при движении газожидкостной смеси в эксплуатационной колонне при давление с=6 Мпа и температуре Т=303 К.

Исходные данные: по п.4.1.2-сн=863 кг/м3; µн=16,9 мПас; по п.4.2-св=1094,4 кг/м3;

по п.4.3-сг=38.65 кг/м3; по п.5- Qсм=22.723 м3/сут; вн=0.5554; вв=0.3522; вг=0.0924; сж=952.7кг/м3; ссм=868.3кг/м3.

Vсм=4Qсм/рd2==0.0147 м/с;

ψ=1+0,5 βгж- ρг )Vотн / ρсм Vсм =

µж= µн=16.9 мПас при B≤ 0.5;

 ρсм Vсм /µж =;

λ0=  при Re<2300 ;

λ= ψ λ0=1.064*0.545=0.58 ;

ϕ===0.0391

сист= сж(1-ϕ)+ сгϕ=952.7*(1-0.0391)+38.65*0.0391=917кг/м3;

|-dp/dx|=лсмсм*Vсм2/2dэк+gсист=0.09*106 Па/м

Расчет криво распределения давления по эксплуатационной колонне с глубины начала выделения газа ведется численным методом по участкам ∆h, на которых задается перепад давления ∆p. Расчетная величина перепада давления принимается равной:

∆p=0.1g*сж(Lнас-Hдин), (94)

Где Ндин- динамический уровень жидкости,

Ндин=Lкр-(Pзаб-Pзатр)/gсж; (95)

затр - давление в затрубном пространстве, определяемое условиями утилизации газа( сброс в атмосферу или в выкидную линию через обратный клапан).

Зная давление и температуру в начале расчетного участка, определяют физические свойства и расходные параметры нефти, воды и газа. Затем рассчитывают по (81) градиент давления и далее длину участка ∆h:

∆hi= (96)

Давление в конце расчетного участка

Pкон i=Pнач I -∆p (97)

и глубину, соответствующую этому давлению,

i=Hi-1-∆hi (98)

Расчет ведется до значения Hi≤Hст

По кривой распределения давления при условии pi=pпн имеем глубину спуска насоса Lн. Давления на приеме насоса pпн принимается равным давлению,при котором истинное газосодержание откачиваемой жидкости равно допустимому значения по технической характеристике насоса (ϕ=0.1).

.2 Расчет кривой распределения давления в колонне НКТ

Расчет кривой распределения давления в колонне НКТ ведется при использовании уравнения движения газожидкостной смеси в дифференциальной форме:

dp/dx=лсмсм*Vсм2/2d+gсист, (99)

Где dp/dx - градиент давления; - внутренний диаметр насосно-компрессорных труб;см - cкорость движения газожидкостной смеси,

см=4Qсм/рd2вн; (100)

ссм - расходная плотность газожидкостной смеси,

ссмн вн+ св вв+ сг вг (101)

лсм- коэффициент гидравлических сопротивлений при движении газожидкостной смеси,

λ= ψ λ0 ; (102)

ψ - приведенный коэффициент сопротивления,

ψ=1+0,5 βгж- ρг )Vотн / ρсм Vсм ; (103)

отн - относительная скорость движения газа,

отн=0.35 (104)

- обводненность скважинной продукции,

=Qв\Qж ; (105)

λ0 - коэффициент гидравлического трения гомогенного потока,

λ0=   при  ; (106)

λ0=0.11  при  ; (107)

- число Рейнольдса,

 ρсм Vсм /µж; (108)

µж - коэфициент динамической вязкости жидкости

µж= µн при B≤ 0.5 ; (109)

Кэ - эквивалентная гидравлическая шероховатость, Кэ=150 мкм;- ускорение свободного падения, g=9.81 м/c2 ;

сист - истинная плотность газожидкостной смеси,

сист= сж(1-ϕ)+ сгϕ ; (110)

р - истинное объемное газосодержание,

 (111)

Расчет кривой распределения давления начинается от устья скважины и ведется численным методом по участкам Дh, на которых задается перепад давления Дp. Расчетная величина перепада давления принимается равной:

Дp = 0,1(pвн - руст), (112)

вн - давление на выкидке насоса;

руст - давление на устье скважины.

Зная давление и температур на начало расчётного участка, определяют физические свойства и расходные параметры нефти, воды и газа. Затем рассчитывают по (99) градиент давления и далее длину участка Дh:

, (113)

давление в конце расчетного участка

pкон i = pнач i + Дp

и глубину, соответствующую этому давлению,

i = Hi-1 + . (115)

Расчет ведется до значения pкон≥pвн.

При условии pкон = pвн имеем глубину спуска насоса Lн.

Пример 9. Рассчитать кривую распределения давления в колонне НКТ.

Исходные данные: давления на устье скважины руст = 1,2 МПа; дебит жидкости дегазированной Qжд = 20 м3/сут. = 0,000231 м3/с; обводненность скважинной продукции в поверхностных условиях nв = 0,4; внутренний диаметр насосно-компрессорных труб dвн = 0,05 м; плотность дегазированной нефти снд = 885 кг/м3; вязкость дегазированной нефти при температуре 293 К µнд = 61 мПас; газовый фактор Гф = 32 нм33; плотность газа со = 0,749 кг/нм3; напор, развиваемый насосом H = 600 м; к.п.д. насоса зн = 0,4; к.п.д. электродвигателя здв = 0,9; теплоемкость жидкости Cp = 2,5 КДж/кг∙К; глубина скважины до кровли пласта Lкр = 1500 м; расстояние до нейтрального слоя Lнс = 25м;

температура нейтрального слоя Tнс = 280 К; скважина вертикальная; пластовая температура Tпл = 318 К; пластовое давление рпл = 835 кг/м3; плотность пластовой воды рв = 1094 кг/м3; давление насыщения нефти газом при пластовой температуре рнас = 9 МПа; коэффициент продуктивности Кпрод = 40 м3/сут.∙МПа; доля углеводородных компонентов и азота в составе пластового газа ус1 = 0,98; уа = 0,2; содержание солей в воде С’ = 160 мг/л; коэффициент эквивалентной гидравлической шероховатости Кэ = 150∙10-6 м.


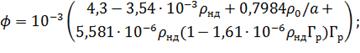
Расчет физических свойств нефти, воды и газа при pуст = 1,2 МПа и Туст = 287,4 К:

= 1 - 0,0054(T - 273) = 1-0,0054(287,4 - 273) = 1,078;= сндГф10-3- 186 = 885∙32∙10-3 - 186 = -157,68;

ссво = a(со - 0,000466(1+R)(105,7+ u))=

=1,03(0,749 - 0,000466(1-0,433)(105,7+157,68∙0,433))=0,724 кг/нм3;= 1+0,0224(Т-273)( сндсо10-3- 1,0313) =

= 1+ 0,0224(287,4-273)(885∙0,749∙10-3 - 1,0313) = 0,882;

сро = Гф(amсo - ссвоГсвф)/Гр =

= 32(1,078∙0,882∙0,749-0,724∙18,14/32)/13,86 = 0,696 кг/м3;

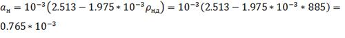
бн = 10-3(2,513 - 1,975∙10-3снд) = 10-3(2,513 - 1,975∙10-3∙885) = 0,765∙10-3;

ф = 10-3(4,3 - 3,54∙10-3снд + 0,7984 ∙ со/a + 5,581∙10-6 снд(1 - 1,61∙10-6 сндГрр) =  10-3(4,3 - 3,54∙10-3∙885 + 0,7984∙0,749/0,946+5,581∙10-6∙885(1-1,61∙10-6∙885∙13,86)13,86) = 1,8∙10-3;n = 1 + 1,0733∙10-3снд Гр ф/m + бн(Т - 273) -6,5∙10-4p = 1+ 1,0733∙10-3∙885∙13,86∙1,8∙10-3/0,882 + 0,765∙10-3(287,4 - 273) - 6,5∙10-4∙1,2 = 1,037;

сннд(1+10-3 сроГр/am)/bн = 885∙(1+10-3∙0.696∙13.86/1,078∙0,882)/1,037 = 862 кг/м3;

аТ = 100,0175(Т-273)-2,58 = 100,0175∙(287,4-273)-2,58 = 0,0047;

вТ = (8,0∙10-5 снд - 0,047) µнд0,13+0,002(Т-273)=(8,0∙10-5 ∙ 885 - 0,047)610,13+0,002(287,1-273) = 0,0457;

µндТ = µнд (Т - 273)аe-в(Т-273) = 61(287,4 -273)0,0047е-0,0457∙(287,4-273) = 32 мПас;

аµ = 1+0,0129Гр - 0,0364Гр0,85 = 1+0,0129∙13,86 - 0,0364∙13,860,85 = 0,839;

вµ = 1+ 0,0017Гр - 0,0228Гр0,667 = 1+ 0,0017∙13,86-0,228∙13,860,667 = 0,892;

µнг = аµ µндТв = 0,839∙320,892 = 18,46 мПас.

с = 100с’/(1000+с’) = 100∙160/(1000+160) = 13,8%;

св ст=1010,5 +6,08∙с = 1010,5 + 6,08∙13,8 = 1094 кг/м3;

бвТ = 1,8∙10-4+0,18∙10-4(Т-273)0,6746 =

,8∙10-4 + 0,18∙10-4(287,4-273)0,6746 = 0,712∙10-4;

ввТ = 4,7∙10-4 + (Т-273)(3,125∙10-4(Т-273) - 2,5∙10-2)10-4 = 4,7∙10-4 + (287,4 - 273)(3,125∙10-4(287,4-273)-2,5∙10-2) ∙10-4 = 4,405∙10-4;

бТ = 0,048/(Т-273)0,2096 = 0,048/(287,4-273)0,2096 = 0,0274;

ДbвТ = бвТ(Т-273) = 2,651∙10-4(287,4-273) = 38,17∙10-4;

Дbвр = - ввТ p=-4,405∙10-4∙1,2 = -5,286∙10-4;

ДbвГ = (1,8829 + 0,0102(Т-273))10-4 р/10б с =

= (1,8829+0,0102(287,4-273))10-4∙1,2/100,0274∙13,8 = 1,02∙10-4;в = 1+ ДbвТ + Дbвр + ДbвГ = 1+(38,7 - 5,286+1,02)10-4 = 1,0034;

св = свст∙ bв = 1094∙1,0034 = 1097,7 кг/м3;

µв = (1,4 + 3,8∙10-3вст - 1000))/100,0065(Т-273) =

= (1,4 + 3,8∙10-3(1097,7 - 1000))/100,0065(287,4-273) = 1,43 мПас

рпр = р/(4,69 - 0,123сy2)=1.2/(4,69-0,123∙0,724) = 0,249;

Тпр = Т/(97 + 172 сy2) = 287,4/(97+172∙0,7242) = 1,536;y = 1 - рпр(0,18/(Тпр - 0,73)-0,135)+0,016 рпр3,45 / Тпр6,1 =

=1 - 0,249(0,18/(0,536 - 0,73) - 0,135) + 0,016∙0,2493,45/1,5366,1 = 0,978;

= ;= Zyyy + Zaya = 0,9780,98 + 1,0


Расчет расходных параметров газожидкостной смеси.

нд = Qжд (1-nв) = 20(1-0.4) = 12 м3/сут.н = Qнд∙bн = 12∙1,037 = 12,44 м3/сут.вст = Qж - Qнд = 20 - 12 =8 м3/сут.в = Qвст ∙ bв = 8∙1,0034 = 8,03 м3/сут.

ж = Qн + Qв = 12,44 + 8,03 = 20,47 м3/сут.

В = Qв / Qж = 8,03/20,47 = 0,392. = Qж + Qг = 20,47 +19,7 = 40,17 м3/сут.

вн = Qн / Q = 12,44/40,17 = 0,31.

вв = Qв / Q = 8,03/40,17 = 0,20.

вг = Qг / Q = 19,7/40,17 = 0,49.

сж = сн ∙(1-В)+ св∙В = 862∙(1-0,392)+1097,7∙0,392 = 954,3 кг/м3

ρсмн∙βн + ρг∙βг= 862,∙0,31 + 1097,7∙0,2 + 8,44∙0,49 = 490,8 кг/м3.

Расчет градиента давления при движении газожидкостной смеси.

см=;отн= 0,2 м/с при B<0,5;

Ψ=;

μжнг= 18,46 мПас при B≤0,5;= ;

λо= при Re>2300;

λсм= ψλо = 1,04∙0,436 = 0,0454;

φ=

ρист = ρж (1- φ) + ρгφ = 954,3∙(1- 0,452) + 8,44∙0,452 = 526,8 кг/м3;

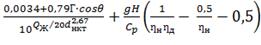
= 0,454∙+ 9,81∙256,8 =

= 5180 Па/ м = 0,00518 МПа/м;вн=H∙g∙ρвн = 600∙9,81∙1000 = 5,89∙106 Па= 5,89 МПа;

∆p=0,1(pвн - pуст) = 0,1(5,89-1,2) = 0,37 МПа;

∆hi = м.устТпл(Lкр - ∆hi )=

=318 - (1500 - 71,4) = 288,8 K.

Далее расчет ведется при давлении р = р + ∆р = 1,2 + 0,37 = 1,57 МПа и Т = 288,8 К. Расчет по участкам выполняется до значения р > рнасТ.

По кривым распределения давления, температуры и истинного газосодержания φ в колонне НКТ определяется место начала кристаллизации парафина, глубина спуска насоса по технической характеристике и по условию допустимого содержания свободного газа на приеме насоса.

Приближенные решения задач определения глубины спуска насоса будут изложены ниже при рассмотрении факторов, снижающих надежность работы насосной установки.

8. Расчет глубины спуска насоса установки УЭДН5  по технической характеристике

Установка УЭДН5 выбирается по двум параметрам: подача жидкости и напор, развиваемый насосом. Учитывая область использования установок - малодебитные скважины, с дебитом по жидкости до 20 м3/сут., достаточно правильно обосновать требуемый напор для подъема жидкости на поверхность. Расчет выполняется с использованием кривых распределения давления по эксплуатационной колоне до приема насоса и по колонне насосно-компрессорных труб от насоса до устья. Давление на приеме насоса устанавливается с учетом влияния отрицательных факторов: наличие свободного газа в откачиваемой жидкости, кристаллизация и отложение парафина, асфальто-смолистых веществ и солей и др. По техническому паспорту установки УЭДН5 максимальное давление на приеме насоса не должно превышать 25 МПа.

Согласно существующим требованиям полной утилизации пластового газа, затрубное пространство между эксплуатационной колонной и колонной

НКТ соединяется через обратный клапан с выкидной линией от скважины.

Следовательно, давление в затрубном пространстве должно быть несколько больше давления на устье скважины.

Напор, развиваемый насосом, тратится на преодоление гидравлических сопротивлений во всасывающем и нагнетательном клапанах, на подъем газожидкостной смеси в колонне насосно-компрессорных труб, а также на преодоление противодавления на устье скважины, т.е.:

=  (116)

где ρв - плотность воды (ρв = 1000 кг/м3);

∆pкл - потери давления в нагнетательном клапане насоса;

∆рнкт - перепад давления в колонне НКТ;

руст - давление на устье скважины.

Максимальный напор, развиваемый насосом, можно рассчитать по его гидравлической характеристике:

=   (117)

где Nэл  - мощность электродвигателя;

ηэл  - к.п.д. электродвигателя;

ηгидр  - гидравлический к.п.д. насоса.

По величине напора определяется давление нагнетания насоса:

рнагн=Hgpж , (118)

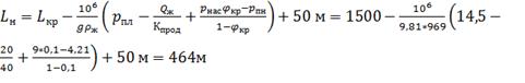
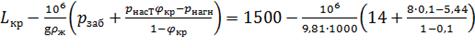
При рнагн< рнасТ глубина спуска насоса будет:

н = Lкр - , (119)

где рзаб - давление на забое скважины,

рзаб = , (120)

Кпрод - коэффициент продуктивности скважины, определяемый по результатам гидродинамических исследований;

φкр - допустимое содержание газа в потоке жидкости на приеме насоса, φкр = 0,1 (по технической характеристике)

При рнагн > рнасТ глубина спуска насоса будет:

н = Lкр -  (121)

Пример 10. Рассчитать глубину спуска насоса по технической характеристике установки УЭДН5.

Исходные данные: дебит жидкости дегазированной Q= 20 м3/сут; электрическая мощность двигателя Nэл = 3,5 КВт; к.п.д. насоса ηн = 0,4; к.п.д. электродвигателя ηдв = 0,9; глубина скважины до кровли пласта Lкр = 1500 м; пластовое давление рпл = 14,5 МПа; плотность жидкости рж = 1000 кг/м3; давление насыщения нефти газом рнасТ = 8МПа; коэффициент продуктивности Kпрод = 40 м3 /сут∙МПа.

рзаб =  14 МПа;=  555м;нагн = Hgρж = 555∙9,81∙1000 = 5,44∙106 Па = 5,44 Па;

при рнагн < рнасТ

Lн =

599 м;

9. Расчет глубины спуска насоса с учетом факторов, снижающих надежность работы установки УЭДН5

При дебите скважины по жидкости менее 20 т/сут расчет глубины спуска насоса может выполняться по приближенным формулам, без построения кривых распределения температуры и давления по эксплуатационной колонне. Такой подход оправдан, поскольку приходится выбирать глубину подвески насоса с учетом всех отрицательных факторов с некоторым запасом по глубине.

.1 Кристаллизация и отложения парафина на деталях и элементах насоса

Отложения парафина происходят при снижении температуры перекачиваемой жидкости до температуры начала кристаллизации парафина. Глубина начала кристаллизации парафина определяется с использованием кривой распределения температуры в эксплуатационной колонне, либо расчетом по формуле:

 , (122)

где  - глубина начала отложения парафина;

 - температура начала кристаллизации парафина.

Приближенно глубину начала отложения парафина можно рассчитать по формуле:

 (123)

Глубину спуска насоса следует принять несколько больше:

 (124)

Отложения парафина возможны и выше насоса в колонне насоснокомпрессорных труб. Эти отложения также осложняет работу насоса, создавая дополнительные сопротивления при движении газожидкостной смеси и увеличивая давление нагнетания. В этом случае глубину начала кристаллизации парафина также определяют по кривой распределения температуры в колонне НКТ.

Расчет можно выполнить по приближенной формуле:

. (125)

Если получаем , то отложения парафина в колонне НКТ не будет.

Пример 11. Рассчитать глубину спуска насоса, исключающую отложения парафина.

Исходные данные: глубина скважины до кровли пласта ; пластовая температура ; температура кристаллизации парафина ; расход жидкости ; диаметр эксплуатационной колонны ; геотермический градиент ; скважина вертикальная.

 

;

 

Расчет по приближенной формуле:

.


.2 Наличие свободного газа в откачиваемой жидкости

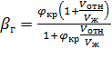
Наличие свободного газа в откачиваемой жидкости приводит к увеличению сжимаемости нагнетаемой среды и к снижению коэффициента подачи насоса. Коэффициент подачи насоса должен быть не менее 0,9. Такое значение коэффициента соответствует величине истинного объемного газосодержания , т.е.


Глубина спуска насоса определяется с использованием кривых распределения давления и объемного расходного газосодержания  при движении жидкости по эксплуатационной колонне, рассчитанных по пункту 6.1.

Приближенный метод расчета глубины спуска насоса предусматривает следующий алгоритм.

При принятом значении  определяется расходное газосодержание у приема насоса:

 , (127)

где  - относительная скорость газа,

 (128)


 - обводненность скважинной продукции в поверхностных условиях, % об.;

- скорость движения жидкости,

 (129)

Рассчитывается давление на приеме насоса:

 (130)

Где  - пластовый газовый фактор;

 - пластовый коэффициент растворимости газа.

Определяется глубина спуска насоса:

 (131)

где  - плотность жидкости,

 (132)

- плотность пластовой нефти и воды.

Наибольший коэффициент подачи будет при глубине спуска насоса до точки начала выделения газа:

 (133)

На практике бывают случаи отбора нефти при давлении на забое скважины ниже давления насыщения. Это требует спуска насоса до верхних дыр перфорации, т.е.

Пример 12. Рассчитать глубину спуска насоса, обеспечивающую коэффициент подачи насоса . Исходные данные: обводненность продукции скважины ; относительная скорость газа ; расход жидкости ; коэффициент продуктивности , коэффициент растворимости газа ; газовый фактор ; пластовое давление ; плотность дегазированной нефти ; плотность воды .

.

 


.3 Наличие песка в продукции скважины

Песок поступает из пласта в скважину вместе с жидкостью. Это могут быть мелкие фракции горной породы (пелитовые, алевролитовые) размером до 40 мкм, при этом целостность скелета породы не нарушается. При больших депрессиях на пласт возможно разрушение скелета породы, тогда выносятся крупные частицы, зерна песка и даже конгломераты размером до 50 мм. Крупные фракции обычно оседают на забое скважины, образуя песчаные пробки, которые снижают продуктивность скважины. Соответственно, снижается динамический уровень жидкости в скважине, вплоть до приема насоса. Происходит срыв подачи насоса. Межремонтный период работы насоса, в этом случае, определяется временем накопления песчаной пробки на забое скважины.

Мелкие фракции песка уносятся потоком жидкости, особенно вязкой нефтью, с забоя скважины в колонну НКТ и далее в выкидную линию. Наличие мелких фракций песка в откачиваемой жидкости приводит к абразивному износу насоса, насосно-компрессорных труб, арматуры устья скважины. Кроме того, песок, содержащийся в откачиваемой жидкости, при остановке откачки оседает на насосе и выводит его и электродвигатель из строя. При низких скоростях движения жидкости в колонне НКТ возможно образование висячей песчаной пробки, которая еще в большей степени угрожает работоспособности насоса.

Вынос мелких фракций песка наблюдается в том случае, когда градиент давления при фильтрации жидкости превышает критическое значение, равное градиенту силы тяжести, т.е. выполняется неравенство:

 (134)

 - плотность горной породы ();

 - плотность фильтрующейся жидкости (воды или нефти). Чтобы полностью исключить поступление песка в скважину, нужно обеспечить критический градиент давления на стенке скважины.

Градиент давления на стенке скважины, согласно закону Дарси, равен:

=, (135)

где Wж - скорость фильтрации пластовой жидкости;

µж - коэффициент динамической вязкости жидкости;

К - коэффициент проницаемости; с - радиус скважины по долоту.

Выражая скорость фильтрации через расход жидкости и площадь поверхности фильтрации на стенке скважины и приравнивая градиент давления критическому, получаем формулу для расчета критического дебита скважины:

жкр = (136)

или Qжкр =  (137)

где h - толщина пласта; х - коэффициент гидропроводности,

х =  (138)

Коэффициент гидропроводности х можно найти из коэффициента продуктивности:

=  (139)

где Kпрод - коэффициент продуктивности, определяемый при обработке данных гидродинамических исследований (по индикаторной линии),

прод =      (140)

где Δрпл - депрессия на пласт,

Δрпл = рпл - рзаб ; рпл и рзаб -пластовое и забойное давления.

При откачке чистой нефти принимают Qж=Qн. При откачке обводненной нефти расчет выполняют как по нефти, так и по воде. Соответственно, необходимо иметь значения коэффициента продуктивности по нефти и по воде.

Если фактическая подача насоса оказывается меньше критического дебита, то выноса песка и каких-либо осложнений, с ним связанных, в работе насоса не будет. В противном случае необходимо предусматривать мероприятия по борьбе с песком.

Пример 13. Проверить условие выноса мелких фракций песка из пласта в скважину.

Исходные данные: дебит жидкости Qж=20 м3/сут.; коэффициент продуктивности Кпрод = 40 м3/сут МПа; плотность породы п = 2600 кг/м3 ; плотность жидкости ж = 900 кг/м3; радиус зоны дренирования Rк = 300 м; радиус скважины по долоту rс = 0,1 м.

Коэффициент гидропроводности:

=  =

Критический дебит жидкости:

жкр =  =

=

Так как Qж>Qжкр, будет проявляться вынос песка из пласта в скважину. Необходимо предусмотреть меры защиты насоса от абразивного износа.

.4 Образование водонефтяной эмульсии

Некоторые нефти при движении с водой образуют эмульсию, вязкость которой существенно больше вязкости отдельно взятых жидкостей. Откачка эмульсионной нефти увеличивает затраты энергии на ее перекачку и снижает коэффициент полезного действия насоса. Кроме того, увеличивается перепад давления на всасывающем клапане насоса, что приводит к дополнительному выделению из нефти газа. Эмульсионная жидкость выносит с забоя скважины более крупные частицы горной породы, что усиливает абразивный износ подземного и наземного оборудования.

Возможны два типа эмульсии: эмульсия вода в нефти (В/Н) и эмульсия нефть в воде (Н/В). Тип эмульсии оценивают по объемной доле воды В и критической скорости движения эмульсии:

 (141)

Если В ≤ 0,5 и Vж > wэкр - эмульсия типа (В/Н).

Если В ≤ 0,5 и Vж <wэкр или В > 0,5 - эмульсия типа (Н/В).

Кажущаяся динамическая вязкость эмульсии определяется, прежде всего, ее типом.

Для эмульсии (В/Н) коэффициент динамической вязкости эмульсии равен:

 =(1 + 2,9В)/(1-В), (142)

где , если ;  если ;

 (143)

 (144)

Для эмульсии типа (Н/В) коэффициент динамической вязкости равен:

 = (145)

Глубина спуска насоса при откачке эмульсионной нефти со свободным газом определяется по кривой распределения давления, рассчитанной с учетом вязкости соответствующего типа эмульсии. Расчет можно вести по приближенным формулам пункта 7.2.

Пример 14. Определить тип и вязкость водонефтяной эмульсии.

Исходные данные: обводненность продукции скважины В = 0,4; диаметр эксплуатационной колонны dэк = 0,15 м; дебит жидкости Qж = 20 м3/сут.; коэффициент динамической вязкости воды в = 0,9 мПас.

Критическая скорость движения эмульсии:

.

Так как В < 0,5 и Vж < Wэкр, то будет иметь место эмульсия типа (Н/В). Коэффициент динамической вязкости эмульсии типа (Н/В):


Эмульсия типа (Н/В) будет иметь место при эксплуатации всех моделей УЭДН5. В руководстве по эксплуатации установок УЭДН5 не даются ограничения по вязкости откачиваемой нефти. Принимая условие, что вязкость эмульсии (Н/В) не должна быть больше вязкости нефти, можно определить минимально допустимую обводненность скважинной продукции (таблица 2).

Таблица 2. Минимально допустимая обводненность скважинной продукции

Коэффициент динамической вязкости нефти µн> мПас

40

20

10

5

Минимально допустимая обводненность В, % об.

50

60

70

80


10. Рекомендации по снижению влияния отрицательных факторов

Влияние на работу насоса установки УЭДН5 отрицательных факторов можно уменьшить при использовании стационарного нагрева откачиваемой жидкости глубинным электронагревателем.

Для нагрева рекомендуется использовать серийно выпускаемые электронагреватели различных конструкций. Мощность электронагревателя устанавливается в зависимости от технологии процесса откачки. Питание электронагревателя осуществляется по кабелю электродвигателя. Электронагреватель устанавливается ниже электродвигателя установки УЭДН5 на 50-100 м. Температура прогрева должна быть выше температуры начала кристаллизации парафина на (10-15)°С.

Повышение температуры откачиваемой жидкости исключит отложения парафина на приеме насоса, снизит вязкость водо-нефтяной эмульсии, будет способствовать разложению эмульсии, что уменьшит выносную способность жидкости по песку.

С другой стороны увеличение температуры увеличит количество свободного газа и, соответственно, уменьшит коэффициент наполнения насоса.

Расчет глубины спуска насоса, в этом случае, необходимо вести с учетом изменения температурного режима процесса откачки жидкости.

Список литературы

1.      Справочное руководство по проектированию разработки и эксплуатации нефтяных месторождений. Добыча нефти. Под ред. Ш. К. Гиматудинова/ Р.С. Андриасов, И.Т. Мищенко, А.И. Петров и др. - М.: Недра, 1983. - 455 с.

2.      Сборник задач по технологии и технике нефтедобычи. Учеб. пособие для вузов/ И.Т. Мищенко, В.А. Сахаров, В.Г. Грон, Г.И. Богомольный. - М.: Недра, 1984. - 272 с.

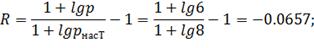
3.      Рудницкий Д.Ю. Применение УЭДН на малодебитном фонде скважин ООО «РН-Краснодарнефтегаз» // Инженерная практика, №7, 2010 г.