Материал: RGR_6Voronina

Внимание! Если размещение файла нарушает Ваши авторские права, то обязательно сообщите нам

МИНИСТЕРСТВО НАУКИ И ВЫСШЕГО ОБРАЗОВАНИЯ РОССИЙСКОЙ ФЕДЕРАЦИИ

Федеральное государственное автономное образовательное учреждение высшего образования

«НАЦИОНАЛЬНЫЙ ИССЛЕДОВАТЕЛЬСКИЙ ТОМСКИЙ ПОЛИТЕХНИЧЕСКИЙ УНИВЕРСИСТЕТ»

Инженерная школа энергетики

Отделение электроэнергетики и электротехники

Расчетно-графическая работа №6

Расчет длинных линий в установившемся и переходном режимах

Вариант 730

Исполнитель:

студент группы

5А8В

Воронина Е.А.

Руководитель:

к.т.н., доцент ОЭЭ ИШЭ

Шандарова Е.Б.

Томск 2020

ЗАДАНИЕ

Для одной фазы линии электропередачи длиной = 1500 км и заданными удельными параметрами выполнить следующее:

1. В установившемся режиме при заданном фазном напряжении в конце линии

а ) определить волновое сопротивление Zв, постоянную γ=α+jβ, фазовую скорость V, длину волны λ, комплексы действующих значений токов  напряжения  а также активные мощности в начале линии P1 и конце линии P2, эффективность передачи энергии по линии (КПД) 

б) изменяя координату x от 0 до l рассчитать распределение вдоль линии действующих значений напряжения U(x) и тока I(x), а также активной мощности P(x);

в) по результатам расчетов построить совмещенные графики зависимостей для действующих значений U(x) и I(x), а также активной мощности P(x).

2 . В переходном режиме при подключении линии без потерь (R0  ≈ 0;G≈ 0) к источнику постоянного напряжения   рассчитать и построить совмещенные графики зависимостей распределения вдоль линии волн тока i(xt0) и напряжения u(xt0), соответствующих моменту времени   после подключения источника, когда отраженные от конца линии волны напряжения и тока достигли середины линии.

3. Проанализировать полученные результаты, графики зависимостей и сформулировать выводы по работе.

Исходные данные:

Таблица 1

R

L

C

-

кВ

град

Ом

Гн

мкФ

7

200

-45

400

1.27

7,69

Таблица 2

R0

L0

G0

C0

-

Ом/км

Гн/км

См/км

Ф/км

3

0.04

1.2*10-3

1,1*10-6

0.93*10-8

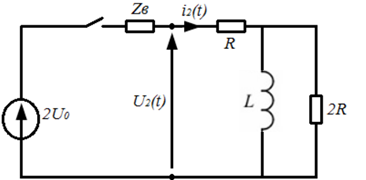
Рис. 1 Схема нагрузки линии

Рис. 2 Схема линии

Рис. 3 Схема линии

1. В установившемся режиме при заданном фазном напряжении в конце линии

а ) определить волновое сопротивление Zв, постоянную γ=α+jβ, фазовую скорость V, длину волны λ, комплексы действующих значений токов  напряжения  а также активные мощности в начале линии P1 и конце линии P2, эффективность передачи энергии по линии (КПД) 

Заданное фазное напряжение:

Определим в конце линии величины такие как:

Комплексное волновое сопротивление:

Постоянная распространения:

Коэффициент затухания α и коэффициент фазы β:

Фазовая скорость:

Длина волны:

Комплексное сопротивление нагрузки при комплексном сопротивлении ёмкости:

Сопротивление нагрузки будет равно эквивалентному сопротивлению схемы нагрузки, которая изображена на рис. 1:

Комплекс действующего значения тока в нагрузке по закону Ома:

Комплексные постоянные интегрирования:

Комплексы действующих значений напряжения и тока в начале линии

Найдем активные мощности в конце линии и начале:

Эффективность передачи энергии по линии:

б) изменяя координату x от 0 до 1500 рассчитать распределение вдоль линии действующих значений напряжения U(x) и тока I(x), а также активной мощности P(x);

Используя уравнения:

рассчитаем действующие значения напряжения и тока , а так же активную мощность . Результаты расчетов занесем в таблицу 3:

Таблица 3

x, км

0

300

600

900

1200

1500

200

213.2

212.7

202.7

191.1

188.9

310.553

325.753

416.553

534.704

644.66

728.72

5.393*10^7

6.935*10^7

8.608*10^7

1.031*10^8

1.201*10^8

1.375*10^8

в) по результатам расчетов построить совмещенные графики зависимостей для действующих значений U(x) и I(x), а также активной мощности P(x).

Рис.3- Зависимости

2. В переходном режиме при подключении линии без потерь (R0  ≈ 0;G≈ 0) к источнику постоянного напряжения рассчитать и построить совмещенные графики зависимостей распределения вдоль линии волн тока i(xt0) и напряжения u(xt0), соответствующих моменту времени  после подключения источника, когда отраженные от конца линии волны напряжения и тока достигли середины линии.

Источник постоянного напряжения:

Волновое сопротивление:

Фазовая скорость:

Определим падающие волны напряжения и тока:

Найдем напряжение и ток в нагрузке, воспользовавшись классическим методом для цепи первого порядка:

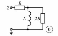
Рис.4 – Схема для нахождения мгновенных значений тока и напряжения в конце линии

  • Находим ННУ при t=0_.

Так как ключ еще не сработал, то в цепи нет ни тока ни напряжения, следовательно

  • Теперь находим ЗНУ при t=0+.

Рис.5 – Схема для нахождения ЗНУ

Ключ уже сработал, , а это означает что мы получим разрыв (рис.5)

Рассчитаем ток, используя закон Ома:

Теперь найдем напряжение, используя II закон Кирхгофа и обойдя контур как указано на рис.5: