
Содержание
1.Исходные данные 4
2.Разработка графика овладения перевозками и основные принципы назначения схем усиления линии 4
3.Расчет строительной стоимости 10
4.Расчет эксплуатационных расходов 15
5.СРАВНЕНИЕ ВАРИАНТОВ СХЕМ ОВЛАДЕНИЯ ПЕРЕВОЗКАМИ 16
Библиографический список 17
Исходные данные принимаются из курсового проекта «Экономические изыскания при проектировании железных дорог».
|
Область проектирования |
Пермская область |
|
Тип локомотива тепловоза |
2ТЭ10 |
|
Тип локомотива электровоза |
ВЛ80Т |
|
Масса состава 2ТЭ10 |
4282 т |
|
Масса состава ВЛ80К |
4421 т |
|
Расчетный уклон |
10 ‰ |
|
Система СЦБ |
ПАБ |
|
Полезная длина п/о путей |
1050 м |
|
Приведенная грузонапряженность на 10 год эксплуатации |
15,78 млн ткм/км |
Количество пар поездов в сутки на расчетный 10 год эксплуатации:
|
Пассажирских поездов |
2 пар/сут |
|
Сборных поездов |
1 пара/сут |
Приведенная грузонапряженность и количество пар поездов в сутки пассажирских и сборных поездов на другие года эксплуатации задаются преподавателем и заносятся в таблицу 1.
Таблица1. Размеры движения, принятые для составления графика овладения перевозками.
|
Вид движения |
Расчетный год эксплуатации |
|||
|
Второй |
Пятый |
Десятый |
Перспективный (15-й) |
|
|
Грузовое, млн ткм/км |
12 |
30 |
45 |
75 |
|
Пассажирское, п.п./сут |
4 |
5 |
8 |
12 |
|
Хозяйственное, п.п./сут |
2 |
3 |
3 |
4 |
Под техническим состоянием участка железной дороги понимают сочетания технических параметров постоянных сооружении (число главных путей, руководящий уклон, вид тяги, схемы размещения раздельных пунктов, полезная длина приемо-отправочных путей и т.д.), технического оснащения (тип локомотива, устройства СЦБ и связи, тип верхнего строения пути, структура вагонного парка и т.д.) и технологии процесса перевозок (тип графика, тип скрещения, число поездов в пакете, коэффициент безостановочного скрещения и т.д.). обеспечивающие соответствующую провозную способность.
Основным ориентирующим параметром, определяющим мощность участка железной дороги, является потребная мощность, которую можно рассматривать как непрерывно возрастающую функцию Гп = f(t). Она определяется исключительно внешними факторами (развитием промышленности и сельского хозяйства). Относительно потребной мощности строятся варианты схем поэтапного усиления железнодорожной линии в зависимости от технических состояний железной дороги.
При разработке вариантов схем поэтапного усиление мощности эксплуатируемой железной дороги необходимо определить наличную пропускную и провозную способность участка железной дороги, предполагаемой к реконструкции, с учетом влияющих на этот показатель факторов: структуры перевозок, скорости движения поездов той или иной категории (грузовых, ускоренных, пригородных, пассажирских и т.д.). т.е. результативную пропускную и проводную способность участка.
Пропускная способность (n, пар поездов в сутки) — это максимально возможное число поездов, пропускаемое железной дорогой в сутки. Этот показатель будет различен для разного технического вооружения железной дороги:
Пропускная способность однопутного участка:
, где
-
коэффициент, учитывающий надежность
работы железной дороги; Зависит от вида
тяги и чиста главных путей. В работе
принимается равным 0,88.
- средний резерв времени в сутки, мин,
на производство ремонта пути; для
однопутных железных дорогах
,
на двухпутных -
;
- период графика.
,
где
,
- время хода поезда «туда» и «обратно»
соответственно;
- интервал времени для скрещения поездов
на раздельном пункте; эта величина равна
5 мин,


Состояния:
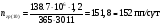
1) Исходное. 2ТЭ10, 1 путь, ПАБ, п/о 1050 м
,



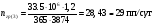
2) 3ТЭ10, 1 путь, ПАБ, п/о 1050 м
Покупка локомотивов.
,

;
;
;
3) 3ТЭ10, 1 путь, АБ, п/о 1050 м, частично пакетный график
Автоблокировка;
Строительство дополнительных путей.
4) Строительство двухпутных вставок по середине перегона.

5) Двухпутный перегон


6) Двухпутная линия

7) Электрофикация, ВЛ80К
,

,

8)

9)

10)

Все расчеты сведены в таблицу 2. График овладения перевозками представлен на рис. 1.


А) 1 вариант развития линии (на тепловозной тяге)
,
,
,
где
-
коэффициент, учитывающий часть
локомотивов, находящихся в ремонте и
резерве (в работе принимаем равным 0,2);
- время оборота одного локомотива, ч.
1)
Покупка локомотивов;
,
,
;
,
,
;
.

Строительство дополнительных путей;
Автоблокировка.
,
где
-
полная стоимость сооружения автоблокировки,
- стоимость на 1пут. участках 4-значной
системы СЦБ,
- количество станций,
- стоимость диспетчерской централизации.
2)

Покупка локомотивов;
,
,
;
.

Строительство 2-х путных вставок;

3)

Покупка локомотивов;
,
,
;
.

Строительство 2-х путей

Устройство двухпутной автоблокировки

А) 2 вариант развития линии (на электрической тяге)
1)

Покупка локомотивов и продажа старых;
,
,
;
;
Итого:

Строительство дополнительных путей;
Автоблокировка;

Электрификация.

2)

Покупка локомотивов;
,
,
;
.

Сооружение 2-х путных вставок;

Электрификация 2-х путных вставок;

Автоблокировка.

3)

Покупка локомотивов;
,
,
;
,
Сооружение вторых путей;

Автоблокировка.

Таблица 3. Определение приведенных строительных затрат по вариантам усиления существующей железнодорожной линии (тыс.руб)