
Содержание
1.Исходные данные 4
2.Разработка графика овладения перевозками и основные принципы назначения схем усиления линии 4
3.Расчет строительной стоимости 10
4.Расчет эксплуатационных расходов 15
5.СРАВНЕНИЕ ВАРИАНТОВ СХЕМ ОВЛАДЕНИЯ ПЕРЕВОЗКАМИ 16
Библиографический список 17
Исходные данные принимаются из курсового проекта «Экономические изыскания при проектировании железных дорог».
|
Область проектирования |
Пермская область |
|
Тип локомотива тепловоза |
2ТЭ10 |
|
Тип локомотива электровоза |
ВЛ80Т |
|
Масса состава 2ТЭ10 |
4286 т |
|
Масса состава ВЛ80К |
4301 т |
|
Расчетный уклон |
10 ‰ |
|
Система СЦБ |
ПАБ |
|
Полезная длина п/о путей |
1050 м |
|
Приведенная грузонапряженность на 10 год эксплуатации |
15,04 млн ткм/км |
Количество пар поездов в сутки на расчетный 10 год эксплуатации:
|
Пассажирских поездов |
2 пар/сут |
|
Сборных поездов |
1 пара/сут |
Приведенная грузонапряженность и количество пар поездов в сутки пассажирских и сборных поездов на другие года эксплуатации задаются преподавателем и заносятся в таблицу 1.
Таблица1. Размеры движения, принятые для составления графика овладения перевозками.
|
Вид движения |
Расчетный год эксплуатации |
|||
|
Второй |
Пятый |
Десятый |
Перспективный (15-й) |
|
|
Грузовое, млн ткм/км |
12 |
30 |
45 |
75 |
|
Пассажирское, п.п./сут |
4 |
5 |
8 |
12 |
|
Хозяйственное, п.п./сут |
2 |
3 |
3 |
4 |
Под техническим состоянием участка железной дороги понимают сочетания технических параметров постоянных сооружении (число главных путей, руководящий уклон, вид тяги, схемы размещения раздельных пунктов, полезная длина приемо-отправочных путей и т.д.), технического оснащения (тип локомотива, устройства СЦБ и связи, тип верхнего строения пути, структура вагонного парка и т.д.) и технологии процесса перевозок (тип графика, тип скрещения, число поездов в пакете, коэффициент безостановочного скрещения и т.д.). обеспечивающие соответствующую провозную способность.
Основным ориентирующим параметром, определяющим мощность участка железной дороги, является потребная мощность, которую можно рассматривать как непрерывно возрастающую функцию Гп = f(t). Она определяется исключительно внешними факторами (развитием промышленности и сельского хозяйства). Относительно потребной мощности строятся варианты схем поэтапного усиления железнодорожной линии в зависимости от технических состояний железной дороги.
При разработке вариантов схем поэтапного усиление мощности эксплуатируемой железной дороги необходимо определить наличную пропускную и провозную способность участка железной дороги, предполагаемой к реконструкции, с учетом влияющих на этот показатель факторов: структуры перевозок, скорости движения поездов той или иной категории (грузовых, ускоренных, пригородных, пассажирских и т.д.). т.е. результативную пропускную и проводную способность участка.
Пропускная способность (n, пар поездов в сутки) — это максимально возможное число поездов, пропускаемое железной дорогой в сутки. Этот показатель будет различен для разного технического вооружения железной дороги:
Пропускная способность однопутного участка:
, где
-
коэффициент, учитывающий надежность
работы железной дороги; Зависит от вида
тяги и чиста главных путей. В работе
принимается равным 0,88.
- средний резерв времени в сутки, мин,
на производство ремонта пути; для
однопутных железных дорогах
,
на двухпутных -
;
- период графика.
,
где
,
- время хода поезда «туда» и «обратно»
соответственно;
- интервал времени для скрещения поездов
на раздельном пункте; эта величина равна
5 мин,


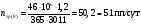
Состояния: 1) Исходное. 2ТЭ10, 1 путь, ПАБ, п/о 1050 м
,



2) 3ТЭ10, 1 путь, ПАБ, п/о 1050 м
Покупка локомотивов.
,

;
;
;
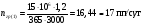
3) 3ТЭ10, 1 путь, АБ, п/о 1050 м, частично пакетный график
Автоблокировка;
Строительство дополнительных путей.
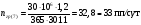
4) Строительство двухпутных вставок по середине перегона.

5) Двухпутный перегон


6) Двухпутная линия

7)
Электрофикация, ВЛ80К
,

,

8)

9)

10)

Все расчеты сведены в таблицу 2. График овладения перевозками представлен на рис. 1.
Таблица 2. План усиления линии


Рис. 1 График овладения перевозками
А) 1 вариант развития линии (на тепловозной тяге)
,
,
,
где
-
коэффициент, учитывающий часть
локомотивов, находящихся в ремонте и
резерве (в работе принимаем равным 0,2);
- время оборота одного локомотива, ч.
1)
Покупка локомотивов;
,
,
;
,
,
;
.

Строительство дополнительных путей;
Строительство 2-х путных вставок;

Автоблокировка.
,
где
-
полная стоимость сооружения автоблокировки,
- стоимость на 1пут. участках 4-значной
системы СЦБ,
- количество станций,
- стоимость диспетчерской централизации.
2)

Покупка локомотивов;
,
,
;
.

Строительство 2-х путей

Устройство двухпутной автоблокировки

А) 2 вариант развития линии (на электрической тяге)
1)

Покупка локомотивов и продажа старых;
,
,
;
;
Итого:

Строительство дополнительных путей;
Автоблокировка;

Электрификация.

2)

Покупка локомотивов;
,
,
;
.

Сооружение 2-х путных вставок;

Электрификация 2-х путных вставок;

Автоблокировка.

3)

Покупка локомотивов;
,
,
;
,
Сооружение вторых путей;

Автоблокировка.

Таблица 3. Определение приведенных строительных затрат по вариантам усиления существующей железнодорожной линии (тыс.руб)
|
Наименование мероприятия |
Ед. изм. |
Количество |
Ед. кап. вложения |
Общ. кап. вл. для меропр. по усилению |
Коэфф-нт
приведения,
|
Приведенные кап. вложения |
|||
|
1 |
2 |
3 |
4 |
5 |
6 |
7 |
|||
|
РАСЧЕТЫ ПРИ ТЕПЛОВОЗНОЙ ТЯГЕ |
|||||||||
|
1.Устройство частично пакетного графика |
|
|
|
|
|
|
|||
|
1.1 Покупка локомотивов |
Шт |
24 |
159 |
3816 |
0,827 |
2992,09 |
|||
|
1.2 Стр-во доп. путей |
Км |
4,6 |
277,5 |
1276,5 |
1055,67 |
||||
|
1.3 Устройство СЦБ и связи |
Км |
51 |
11,4 |
892,76 |
738,31 |
||||
|
4 |
19,7 |
||||||||
|
20,4 |
11,4 |
||||||||
|
1.4 Стр-во 2-х путных вставок |
Км |
35,7 |
196 |
3998,4 |
3306,68 |
||||
|
2.Сооружение вторых путей |
|
|
|
|
|
|
|||
|
2.1 Покупка локомотивов |
Шт |
54 |
159 |
8586 |
0,424 |
3640,46 |
|||
|
2.2 Стр-во 2х путей |
Км |
30,6 |
196 |
5997,6 |
2542,98 |
||||
|
2.3 Устройство СЦБ и связи |
Км |
30,6 |
11,4 |
348,84 |
147,91 |
||||
|
ИТОГО |
|
|
|
|
|
14424,1 |
|||
|
РАСЧЕТ ПРИ ЭЛЕКТРИЧЕСКОЙ ТЯГЕ |
|||||||||
|
1.Устройство част. пакетного графика |
|
|
|
|
|
|
|||
|
1.1 Покупка локомотива ВЛ80К |
Шт |
10 |
278 |
2780 |
0,827 |
2299,06 |
|||
|
Продолжение таблицы 3 |
|||||||||
|
1 |
2 |
3 |
4 |
5 |
6 |
7 |
|||
|
1.2 Продажа локомотива 2ТЭ10Л |
Шт |
12 |
111,3 |
1335,6 |
0,827 |
- 1104,54 |
|||
|
1.3 Стр-во доп. путей |
Км |
4,6 |
330 |
1518 |
1255,39 |
||||
|
1.5Устройство СЦБ и связи |
Км |
51 |
13,2 |
753,2 |
622,90 |
||||
|
4 |
20 |
||||||||
|
1.6 Электр-ция линии |
Км |
51 |
63 |
3213 |
2657,15 |
||||
|
2.Устройство 2-х путных вставок |
|
|
|
|
|
|
|||
|
2.1 Покупка локомотивов |
Шт |
6 |
278 |
1668 |
0,621 |
1035,83 |
|||
|
2.2 Сооружение 2-х путных вставок |
Км |
20,4 |
231 |
4712,4 |
2926,40 |
||||
|
2.3 Электр-ция 2-х путных вставок |
Км |
20,4 |
63 |
1285,2 |
798,11 |
||||
|
2.4 Уст-во 4-х значной автоблокировки |
Км |
20,4 |
13,9 |
283,56 |
176,09 |
||||
|
3.Устройство 2го пути |
|
|
|
|
|
|
|||
|
3.1 Покупка локомотивов |
Шт |
22 |
278 |
6116 |
0,386 |
2360,78 |
|||
|
3.2 Сооружение 2-х путей |
Км |
30,6 |
231 |
7068,6 |
2728,48 |
||||
|
3.3 Уст-во 4-х значной автоблокировки |
Км |
30,6 |
13,9 |
425,34 |
164,18 |
||||
|
ИТОГО |
|
|
|
|
|
15919,83 |
|||