При
включении рубильника в первый момент
скольжение s = l, а приведенный ток в
роторе и равный ему ток статора
максимальный
.
По мере разгона ротора скольжение уменьшается и поэтому в конце пуска ток значительно меньше, чем в первый момент. В серийных двигателях при прямом пуске кратность пускового тока kI = IП / I1НОМ = ( 5,…,7), причем большее значение относится к двигателям большей мощности.
1) В машинах любой мощности увеличивают воздушный зазор между якорем и краями полюсов. В этом случае магнитный поток смещается к центру полюсов.
2) В машинах средней и большой мощности установка дополнительных полюсов. Они создают магнитный поток, направленный встречно магнитному потоку якоря.
3) В машинах большой мощности установка компенсационной обмотки в специальных пазах главных полюсов машины (на электропоездах ТЭД средней мощности - компенсационной обмотки нет). При этом компенсационная обмотка создаёт магнитное поле направленное встречно магнитному полю якоря. Для автоматической компенсации реакции якоря катушки дополнительных полюсов и компенсационной обмотки соединяют всегда последовательно с обмоткой якоря (как правило, внутри самой электромашины).
Внешняя характеристика – это зависимость напряжения на выводах трансформатора от тока, протекающего через нагрузку, подключенную к этим выводам, т.е. зависимость U2=f(I2) при U1=const.

При активно-емкостной нагрузке реактивная мощность для создания поля трансформатора может забираться от нагрузки. При увеличении емкости в нагрузке реактивная мощность расходуется на создание поля в трансформаторе и избыток ее отдается в первичную сеть. При этом растет ЭДС Е1=Е2, что приводит к перевозбуждению трансформатора, те к возростанию потока и увеличению на пряжения.
3. Режимы работы асинхронной машины при скольжениях S = 0; S = 1; S = 2.
S=0. В режиме работы двигателя без нагрузки на валу (режим холостого хода) ротор вращается с частотой лишь немного меньшей синхронной частоты вращения n1 и скольжение весьма мало отличается от нуля
S=1. При включении асинхронного двигателя в сеть в начальный момент времени ротор под влиянием сил инерции неподвижен (n2 = 0)
S=2. Тормозной режим (???)
Магнитный поток в машине постоянного тока создается всеми ее обмотками, по которым протекает ток. В режиме холостого хода по обмотке якоря генератора ток не протекает, а по обмотке якоря двигателя протекает ток холостого хода, небольшой по значению. Поэтому в машине существует только основной магнитный поток Ф0, создаваемый обмоткой возбуждения полюсов и симметричный относительно их осевой линии. Влияние магнитного потока якоря на основной магнитный поток называется реакцией якоря.
В результате реакции якоря магнитная индукция в зазоре машины становится еще более неравномерной. В проводниках якоря, находящихся в точках повышенной магнитной индукции, индуцируется большая э. д. с, что приводит к увеличению разности потенциалов между соседними пластинами коллектора и к возникновению искрения на коллекторе. Иногда электрическая дуга перекрывает весь коллектор, образуя «круговой огонь». Кроме того, реакция якоря приводит к уменьшению э. д. с. якоря, если машина работает в области, близкой к насыщению. Это связано с тем, что когда основной магнитный поток Ф0 создает насыщенное состояние магнитопровода, то увеличение магнитного потока на +ΔФ под одним краем полюса будет меньшим, чем уменьшение на —ΔФ под другим (рис.). Это приводит к уменьшению суммарного потока полюса и э. д. с. якоря, так как

Параллельная работа трансформаторов – подключение трансформаторов на совместную работу, при таком подключении соединяются между собой одноименные выводы обмоток со стороны высокого напряжения и выводы обмотки сторон низкого напряжения.
Распределение нагрузок S1 и S2 между параллельно работающими трансформаторами подчинено уравнению S1 / S2 = (S1ном / S2ном) х (Uк2* / Uк1*), где S1ном, S2ном - номинальные мощности, Uк1*, Uк2* - напряжение короткого замыкания трансформаторов, включаемых на параллельную работу.
Параллельная работа трансформаторов разной мощности:
Некоторое перераспределение нагрузки между параллельно работающими трансформаторами с различными напряжениями короткого замыкания осуществляют изменением их коэффициентов трансформации путем переключения ответвлений первичных обмоток. Переключение необходимо выполнять так, чтобы у недогруженных трансформаторов вторичное напряжение при холостом ходе было выше, чем у трансформаторов, работающих с перегрузкой. В виде исключения допустима параллельная работа трансформаторов с разными коэффициентами трансформации и неодинаковыми напряжениями короткого замыкания при непременном условии, чтобы ни один из трансформаторов не был перегружен сверх установленных норм.
Под коммутацией в машинах постоянного тока понимают явления, вызванные изменением направления тока в проводниках обмотки якоря при переходе их из одной параллельной ветви в другую.
Виды коммутации:
1. Ускоренная, когда плотность тока J под набегающим краем щетки больше, чем под сбегающим. Щетка искрит
2. Прямолинейная – плотность тока под сбегающим и набегающим равны. Темная коммутация (почти не искрит)
3. Замедленная – плотность тока под сбегающим краем больше чем под набегающим
Способы улучшения коммутации:
1. уменьшение реактивной э.д.с.:
за счёт уменьшения индуктивности секции; для этого уменьшают число витков (делают одновитковыми);
пазы якоря делают открытыми и не очень глубокими (не более 4,5-5,5 мм),
одну сторону каждой секции располагают в верхнем слое паза, а другую – в нижнем;
уменьшают ширину щётки (в тяговых двигателях и генераторах щётка перекрывает 3,5-4,5 коллекторных пластины);
в крупных машинах уменьшают длину, окружную скорость и суммарный ток проводников в пазах якоря, увеличивают диаметр якоря(поэтому машины постоянного тока имеют примерно на 20-25% меньшую мощность, чем машины переменного тока при тех же габаритных размерах и частоте вращения).
2. компенсацией реактивной э.д.с. и э.д.с. вращения от потока якоря:
при изменении нагрузки машины от холостого хода до несколько большей её номинальной применяют добавочные полюсы между главными полюсами (для создания дополнительного внешнего коммутирующего магнитного поля);магнитный поток направлен против потока якоря в коммутационной зоне и компенсирует его; коммутирующая э.д.с. должна быть примерно равна реактивной э.д.с. (не более 0,8-1,0 В);
для увеличения предельной нагрузки поперечное сечение сердечников добавочных полюсов увеличивают и устанавливают значительно большие воздушные зазоры под главными полюсами;
обмотку добавочного полюса размещают ближе к якорю;
в воздушный зазор между остовом и торцами сердечников добавочных полюсов устанавливают немагнитные прокладки для обеспечения без искровой работы щеток и замедления магнитного насыщения сердечников
путём смещения щеток с геометрической нейтрали на физическую. Этот способ не дает автоматической настройки при изменении нагрузки, как применение добавочных полюсов.
3. уменьшение тока коммутации iк путем увеличения сопротивления цепи коммутирующей секции:
переход от медных щёток к электрографитированным (с достаточно высоким активным сопротивлением: слишком высокое сопротивление приведет к увеличению потерь и нагреву щеток, что может ухудшить коммутацию);
применение разрезных щёток.
Полная звезда:
При соединении трансформаторов тока и обмоток реле в полную звезду трансформаторы тока устанавливаются во всех фазах. Вторичные обмотки трансформаторов тока и обмотки реле соединяются в звезду и их нулевые точки связываются одним проводом, называемом нулевым. В нулевую точку объединяются одноимённые зажимы обмоток трансформаторов тока.
В нормальном режиме и при отсутствии замыкания на землю в нулевом проводе протекает только ток небаланса; возможный обрыв нулевого провода не может повлиять на работу схемы, но при замыканиях на землю по нулевому проводу проходит ток повреждения, при обрыве нулевого провода ток повреждённой фазы может замыкаться только через вторичные обмотки трансформатора неповреждённых фаз, которые представляют для него очень большое сопротивление, поэтому выполнение схемы соединения трансформаторов тока и обмоток реле в полную звезду без нулевого провода недопустимо. При нарушении (обрыве) вторичной цепи одного из трансформаторов тока в нулевом проводе возникает ток, равный току фазы, что может привести к непредусмотренному действию реле, установленному в нулевом проводе.
Неполная звезда:
При соединении трансформаторов тока и обмоток реле в неполную звезду трансформаторы тока устанавливаются в двух фазах. К началу обмотки каждого трансформатора тока подключаются реле. Концы вторичных обмоток трансформаторов тока и обмоток реле соединяются вместе и их общие точки связываются обратным проводом. Таким образом, при трёхфазном КЗ и нормальном режиме токи проходят в цепях обоих трансформаторов тока и обратном проводе. В случае же двухфазного КЗ токи появляются в цепи одного или двух трансформаторов тока в зависимости от того, какие фазы повреждены. Ток в обратном проводе при двухфазном КЗ фазы А и С равен 0, а при замыкании фаз А и В, В и С равен соответственно. В случае однофазного КЗ фаз (А или С), в которых установлены трансформаторы тока, во вторичной обмотке трансформатора тока и обратном проводе проходит ток КЗ. При замыкании на землю фазы В, в которой трансформатор тока не установлен, токи во вторичных цепях не протекают. Таким образом, схем неполной звезды реагирует не на все случаи однофазного короткого замыкания. Коэффициент схемы равен 1.
Треугольник:
При соединении трансформаторов тока в треугольник трансформаторы тока устанавливаются во всех трёх фазах и их вторичные обмотки соединяются последовательно разноимёнными выводами. К вершинам треугольника подключаются реле, соединённые в звезду.
Схема соединения трансформатора тока в треугольник обладает следующими особенностями:
Токи в реле протекают при всех видах КЗ;
Отношение тока в реле к фазному току зависит от вида КЗ;
Токи нулевой последовательности не выходят за пределы треугольника трансформаторов тока, не имея пути для замыкания через обмотки реле.
Коэффициент
схемы в симметричных режимах равен
.
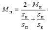
Механические характеристики асинхронных двигателей могут быть выражены в виде n=f(M) или n=f(I). Однако часто механические характеристики асинхронных двигателей выражаются в виде зависимости M = f(S), где S — скольжение, S = (nc-n)/nc, где nс — синхронная скорость. На практике для графического построения механической характеристики пользуются упрощенной формулой, называемой формулой Клосса:


Точка А соответствует максимальному моменту, который может развивать двигатель на всем диапазоне скоростей от n = 0 до n =nс. Этот момент носит название критического (или опрокидывающего) момента Мк. Критическому моменту соответствует и критическое скольжение Sк. Чем меньше величина критического скольжения Sк, а также величина номинального скольжения Sн, тем больше жесткость механической характеристики.