W1 = 0,725*1,00 + 0,066*0,5 + 0,066*0,5 + 0,143*0 = 0,791
Таблица 12
|
К |
Рк |
Фк |
|
0 |
0,367 |
1,00 |
|
4 |
0,033 |
0,80 |
|
5 |
0,033 |
0,80 |
|
6 |
0,033 |
0,80 |
|
7 |
0,033 |
0,80 |
|
8 |
0,033 |
0,80 |
|
9 |
0,072 |
0,80 |
|
10 |
0,072 |
0,80 |
|
11 |
0,072 |
0,80 |
|
12 |
0,072 |
0,80 |
|
13 |
0,072 |
0,80 |
|
14 |
0,033 |
0,00 |
|
15 |
0,072 |
0,00 |
|
16 |
0,033 |
0,00 |
|
17 |
0,072 |
0,00 |
|
∑ |
1,100 |
|
W2 = 0,367*1,0 + 5*0,8*0,033 + 5*0,8*0,072 = 0,787
Ф = W1*W2 = 0,791*0,787 = 0,62 => 62% - вероятность безотказной работы системы.
Вывод: благодаря наличию последовательно-параллельных связей строительная система обладает невысокой надежностью. Даже если в ней задействованы элементы, имеющие максимальную вероятность безотказной работы, вероятность безотказной работы всей системы будет всего 62%. Поэтому при расчете производительности строительных процессов необходимо учитывать надежность их элементов.
Необходимо выбрать наиболее подходящее изменение конструкции платформы.

Рис. 1 вариант (жб лежень)

Рис.2 2 вариант
Таблица 13
|
Элементы |
Наименование |
Ti |
Ci |
Ti*Ci |
|
Фундамент |
1 – столбчатый 2 – жб лежень |
100 100 |
600 400 |
60 40 |
|
Каркас |
3 – стойка, ригель 4 – рама |
75 100 |
200 300 |
15 30 |
|
Настил |
5 – сборные жб плиты 6 – монолитные плиты 7 – металлический профнастил |
75
100
75 |
500
600
300 |
37,5
60
22,5 |
|
Покрытие |
8 – асфальт 9 – бетон |
10 40 |
200 500 |
20 20 |
|
Отделка |
10 – ограждение, фонари |
50 |
1000 |
50 |

Вывод: наиболее эффективным решением задачи повышения надежности и срока службы железнодорожной платформы является путь 0-1-4-6-8-10.
Исходные данные:
- вариант – 12;
- комплект техники – скрепер;
- количество машин – 2;
- вероятность безотказной работы людей: 0,93; 0,91; 0,89;
- вероятность безотказной работы техники: 0,83; 0,81; 0,79;
- tвч = 2 дня, tоч = 2 дня, Тдн = 125 дней;
- tвт = 2 смены, tот = 2 смены, Тсм = 250 смен;
- район строительства Кемеровская область.
Климат
Климат Кемеровской области континентальный: зима холодная и продолжительная, лето тёплое и короткое. Средние температуры января −17… −20 °C, июля — +17…+18 °C. Среднегодовое количество осадков колеблется от 300 мм на равнинах и в предгорной части до 1000 мм и более в горных районах. Продолжительность безморозного периода длится от 100 дней на севере области до 120 дней на юге Кузнецкой котловины.
Почвы
Разнообразие рельефа и климата создаёт пестроту почвенного и растительного покрова. Наибольшую площадь занимают разновидности песчаных и дерново-подзолистых почв (характерны для зоны широколиственных лесов), верхний слой богаче гумусом, обладает большей влагоёмкостью, нередко более выраженной структурой. При распашке и введении в культуру они более плодородны, чем подзолистые почвы. В Кузнецкой котловине преобладают чернозёмы, обладающие высоким плодородием.
Комплекс машин:
- 2 рыхлителя;
- 2 скрепера;
- 1 бульдозер-толкач;
- 2 бульдозера-планировщика;
- 2 самопередвигающихся виброплиты.

Рис. 3 Схема объемов работ

Рис. 4 Типовые поперечные профили земляного полотна: а – насыпь; б – выемка; в – полунасыпь; г – полувыемка; д – полунасыпь-полувыемка; е – нулевое место
Выбран самоходный скрепер Д-13 средней вместимости (q=15 м3). Ширина захвата 2,82 м. Глубина резания 0,36 м. Толщина отсыпаемого слоя грунта 0,6 м. Мощность тягача 275 кВт. Масса скрепера 28 тонн.
Производительность скрепера:

где

tн – время набора грунта;
tгрх – время груженого хода;
tв – время на высыпку грунта;
tхх – время порожнего хода.


















Для производства работ выбран бульдозер ДЗ-25. Заглубление отвала 0,3 м. Длина отвала 4,4 м. Высота отвала 1,2 м. Масса бульдозера 19,3 т. Марка базового трактора Т-180Г.
Производительность бульдозера:

где
= t1+
t2+
t3+
t4
+t5
+t6
t1 – время перемещения грунта отвалом;
t2 – время подъема отвала в транспортное положение;
t3 – время на переключение передач и поворота в конце обратного хода;
t4 – время порожнего хода;
t5 – время на переключение передач и поворота в конце рабочего хода;
t6 – время на опускание отвала в рабочее положение
=60



=
1c
=
3c


;
м3
=
t1+
t2+
t3+
t4
+t5
+t6
= 90+1+3+18+3+1=116 с=1,93 мин


Для производства работ выбрана самопередвигающаяся виброплита Д-639. Масса 0,75 т. Возмущающая сила 3,2 т. Рабочая скорость перемещения 0,6 км/ч. Производительность 100 м3/ч.
Производительность виброплиты:


Составление модели строительного процесса:

Рис. 5 Модель строительного процесса
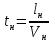
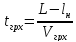
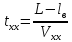
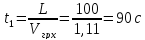
Выполнение расчета производительности данного процесса с учетом надежности его элементов в заданном диапазоне согласно составленной модели: