Материал: Metod_Dipl_bak_2017_РВЦ (3)

Внимание! Если размещение файла нарушает Ваши авторские права, то обязательно сообщите нам

Кількість 0,6 н розчину гідроксиду натрію становить 530 м л. Для стерилізації лугу в автоклаві використовують колбу ємністю 1 л. Вміст колби асептично вносять в інокулятор за допомогою дозуючої системи.

6.2.4. Розрахунок кількості реакторів-змішувачів для приготування середовища для вирощування посівного матеріалу в інокуляторі геометричним об’ємом 50 л

а) Підбираємо геометричний об’єм реактора-змішувача для композиції А. Приблизний

геометричний об’єм реактора-змішувача при заданому

Кзб = 0,8:

 

VАг = VАзб = 14,8/0,8 = 18,5 л

 

 

 

Вибираємо з Таблиці 11.1. [1] найближчий за номінальним об’ємом реактор:

Vнр = 20 л.

Кількість реакторів при заданому Кзб становить:

 

 

 

Nр = VАг/Vнр = 18,5/20= 0,9. Приймаємо – 1 од.

 

 

 

Уточнюємо коефіцієнт заповнення реактора:

 

 

 

Кзр = VА/(Vнр Nр) = 14,5/(20·1) = 0,73

 

 

 

Оскільки уточнений коефіцієнт заповнення

лежить

в заданих межах

(0,7 – 0,85),

приймаємо до установки кількість реакторів для приготування композиції А – 1 . Після приготування композиція А передається в інокулятор, де стерилізується.

2) Підбираємо геометричний об’єм реактора-змішувача для композиції Б. Приблизний геометричний об’єм реактора-змішувача при заданому Кзб = 0,8:

VБг = VБзб = 12,1/0,8 = 15,1 л

Вибираємо з Таблиці 11.1. [1] найближчий за номінальним об’ємом реактор: Vнр = 20 л. Кількість реакторів при заданому Кзб становить:

Nр = VАг/Vнр = 18,5/20= 0,9. Приймаємо – 1 од.

Уточнюємо коефіцієнт заповнення реактора:

Кзр = VА/(Vнр Nр) = 14,5/(20·1) = 0,73

Оскільки уточнений коефіцієнт заповнення лежить в заданих межах (0,7 – 0,85), приймаємо до установки кількість реакторів для приготування композиції Б – 1 .

Після приготування композиція Б стерилізується в реакторі і потім передається до інокулятора для змішування.

Для корегування рН в процесі приготування та після стерилізації поживного середовища для вирощування посівного матеріалу в інокуляторі об’ємом 50 л розраховуємо кількість розчину кислоти та лугу із розрахунку 2 мл на 1л поживного середовища.

Кислоту для підкислення композиції Б у кількості 25 мл вносять в процесі приготування композиції безпосередньо в реактор об’ємом 20л перед стерилізацією.

Кількість попередньо простерилізованого 0,6 н розчину гідроксиду натрія у кількості 54 мл вносять асептично в інокулятор після змішування композицій за домогою дозуючої системи.

6.3. Розрахунок реактора-змішувача для культуральної рідини після процесу біосинтеза

Підбираємо геометричний об’єм реактора-змішувача для культуральної рідини після процесу біосинтеза. Приблизний геометричний об’єм реактора-змішувача при заданому Кзб

= 0,8:

Vкрг = Vкрзб = 25,6/0,8 =32 м3

Вибираємо з Таблиці 11.1. [1] найближчий за номінальним об’ємом реактор: Vнр = 32 л. Оскільки номінальний та приблизний об’єм реактора співпадають уточнення коефіцієнта заповнення реактора не проводимо.

Відповідно цей реактор використовується в процесі фільтрації культуральнї рідини за допомогою ФПАКМ.

6.4. Розрахунок фільтр-преса ФПАКМ

Для розрахунку можна скористатись прикладом 4.5., наведеним у [1].

51

Вихідні дані для розрахунку:

Об'єм суспензії, що йде на фільтрування, Vсус= Vкр = 25,6 м3. Загальний час фільтрування суспензії Тфт = 18 год.

Час відтискання осаду і пересування стрічки τд = 12 хв. Зазор між плитами апарата, h = 45 мм.

Робочий тиск в камерах ΔP = 1,2 МПа. Характеристики суспензії:

Питомий опір фільтруванню ro = 1,0·1013 м/кг.

Маса вологого осаду, який одержують під час фільтрування 1 м3 .

суспензії mо = 11

кг/м3 (див. п. 4.1.4. Продуктового розрахунку)

Густина суспензії

ρсус = 1050 кг/м3.

Динамічна в'язкість суспензії, μсус = 1,5·10-3 Па·с.

Обираємо стандартний ФПАКМ з табл.4.3. [1] за умови, що товщина осаду в камері

становитиме δ = 10 мм.

6.4.1. Визначаємо об'єм осаду з 1м2 площі фільтра становитеме,

V1ос =1·δ/1000 = 1·10/1000 = 0,01 м3 .

6.4.2. Маса осаду з 1 м2 площі фільтра складе

G1ос = V1ос· ρсус = 0,01·1050 = 10,5 кг/м2.

6.4.3. За один технологічний цикл треба переробити суспензії

V1cуc =G1ос/mо = 10,5/11= 0,95 м3.

6.4.4. З даної суспензії один технологічний цикл одержують фільтрату ,

V=V1cуc·(1-mо/ρсус) = 0,95 ·(1– 11/1050) = 0,94 м3.

6.4.5. Час фільтрування даної суспензії за один технологічний цикл

τф= (V)2·mо·ro·μсус/2·3600·ΔР·106 = (0,94)2·11·1,0·1013·1,5·10-3/2·3600·1,2·106

= 17,1 год.

6.4.6.Тривалість періоду фільтруваня за один технологічний цикл фільтрування Т = τф+τд/60 = 17,1+12/60 = 17,3 год.

6.4.7. Необхідна площа фільтрування для всієї суспензії

∑F = Vсус·Т/Тфт·V1cуc = 25,6·17,3/18·0,95 = 25,9 м2

З таблиці 4.3. [1] обираємо ФПАКМ 25 - 45 з площею фільтрації 25 м2 (габарити

3780х1250х4240 мм).

6.4.8. Уточнюємо реальний час фільтрування суспензії за вибраним ФПАКМом.

Тфр = Тфт·∑F/Fфпакм = 18·25,9/25 =18,64 год.

6. 5. Розрахунок УФ-установки для концентрування та очищення розчину ферментного препарата

Для розрахунку та підбору УФ-установки можна скористатись прикладом 9.1. , наведеним у [1].

Вихідні дані:

Об'єм супернатанту Vсн = 23,53 м3.

Маса абсолютно сухих речовин в концентраті Gаск = 208 кг.

Коефіцієнт втрат при концентруванні Еуф (1-3 %). Приймаємо Eуф= 0,02 (частка). Час ультрафільтрації τуф = 12 год.

Ступінь концентрування Куф = 2.

 

Молекулярна маса фермента ксилонази М=35000 Да.

Густина супернатанту ρсн = 1 050 кг/м3.

Динамічна в'язкість супернатанту

μсн = 1,5·10-3 Па·с.

Густина води ρв = 1000 кг/м3.

 

Динамічна в'язкість води при 200 С

μв = 1,0·10-3 Па·с.

Робочий тиск Р = 0,2 Мпа.

 

6.5.1. Підбираємо геометричний об’єм збірник для супернатанту. Приблизний

52

геометричний об’єм реактора-змішувача при заданому Кзб = 0,8:

Vзсн = Vснзб = 23,53/0,8 = 29,4 м3.

Вибираємо з Таблиці 11.1. [1] найближчий за номінальним об’ємом реактор: Vснг = 32 м3.

Кількість реакторів при заданому Кзб становить:

Nр = Vзсн/Vснг = 29,4/32 = 0,92. Приймаємо – 1 од.

Уточнюємо коефіцієнт заповнення реактора:

Кзр = Vсн/(Vснг Nр) = 23,53/(32·1) = 0,74

Оскільки уточнений коефіцієнт заповнення лежить в заданих межах (0,7 – 0,85), приймаємо до установки кількість збірників для супернатанту – 1.

6.5.2. Підбираємо тип мембрани для ультрафільтрації супернатанту.

Визначаємо приблизний діаметр молекули фермента ксилонази Dмол = 0,098 •M0,38 =

0,098· 35000 0,38 = 5,22 нм.

Для вибора необхідного типу УФ-мембрани скористаємось Табл.9.2 [1] Для порівняння вибираємо полісульфонамідну мембрану типу УПМ-50М з діаметром

пор = 5 нм , продуктивністю по дистилірованій воді 180 дм32·год та полісульфонамідну мембрану типу УПМ-100 з діаметром пор = 10 нм, продуктивністю по дистилірованій воді

840дм32·год.

6.5.3.Для обох типів мембран перевіряємо відношення К = Dмол/Dпор > 0,5. К1 = 5,22/5 = 1,044 (для УПМ-50М), К2 = 5,22/10 =0,522 (для УПМ-100). Для обох мембран

виконується умова К = 0,5 < Dмол/Dпор < 2.

6.5.4. За Таблицею 9.2. [1] визначаємо селективність вибраних мембран Для мембрани УПМ-50М величина φ складе , φ1 = 0,9996, відповідно для мембрани УПМ-100 - φ1

=0,9879.

Отже, ці дві мембрани можуть бути використані для ультрафільтрації супернатанту. Надалі проводимо розрахунки з метою визначитись – чи вкладаються втрати

супернатанту для вибраних мембран у визначені межі втрат Еуф = 2%.

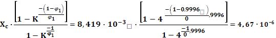
6.5.5. Визначаємо концентрації сухих речови в супернатанті та концентраті, Хс та Хк, кг/кг:

Хс = Gаск/V· ρсн = 208/23,53·1050 = 8,419·10-3 кг/кг;

Хк = Хс · Куф = 8,419·103 ·2 = 0,017 кг/кг.

6.5.6. Визначаємо середні концентрації Хср1, Хср2 супернатанту для мембран УПМ50М та УПМ-100 відповідно

Хср1 =

кг/кг;

Хср2 = .

6.5.7. Шукаємо витрати супернатанту Lс та витрати продукту Lпр, що подається разом з супернатантом

Lс = Vсн · ρсн / τуф·3600 = 23,53· 1050/12·3600 = 0,572 кг/с;

Lпр = Lс · Хс = 0,572·8,419·10-3 = 4,815 ·10-3 кг/с.

6.5.8. Витрати пермеату Lп1 для мембрани УПМ-50М

53

кг/с

Витрати пермеату Lп2 для мембрани УПМ-100

кг/с

6.5.9. Втрата продукту з пермеатом для мембрани УПМ-50М

В1п = Lп1· Хср1 = 0,286·4,67·10-6 = 1,335 · 10-6 кг/с

Втрата продукту з пермеатом для мембрани УПМ-100

В2п = Lп2· Хср2 = 0,288·1,412·10-4 = 4,07· 10-5 кг/с

6.5.10. Відсоток втрат продукту з пермеатом для мембрани УПМ-50М

1

= В1п· 100/ Lпр = 1,335 · 10-6 ·100/4,815·10-3

= 0,028 %

Відсоток втрат продукту з пермеатом для мембрани УПМ-100

2

= В2п· 100/ Lпр = 4,07 · 10-5 ·100/ 4,815 ·10-3

= 0,845%

Оскільки обидві мембрани задовольняють умові втрат продукту < 2 %, дані мембрани можна використовувати для концентрування, але згідно технічних характеристик мембрана

УПМ -100 випереджає УПМ-50М. Відповідно до

Таблиці

9.3.

[1] продуктивністю по

дистильованій воді мембрани УПМ-100 становить

V0 = 840 дм32·год, що значно більше,

ніж у мембрани УПМ-50М (V0 =180 дм32·год).

Отже,

для

остаточних розрахунків

вибираємо мембрану типу УПМ-100.

6.5.10. Знаходимо масову продуктивність мембрани УПМ-100 по чистій воді

G0 = AΔP =0,23· 0,2 =0,047 кг/м2·с,

де А = V0 ρв/3600·1000 = 840·1000/3600·1000 = 0,23; A проникність мембрани за чистою водою, кг/(м2·с·МПа); ρв – густина води при t = 20ºC, кг/м3.

6.5.11. Знаходимо масову продуктивність мембрани УПМ-100 за супернатантом

Gс = G0(μв/ μс) = 0,047(1,0·10-3/1,5·10-3) = 3,1·10-2 кг/м2·с. 6.5. 12. Необхідна загальна поверхня ультрафільтрації

F = Lп2/Gс =0,288 /3,1·10-2 = 9,3 м2

6.5.13. Вибираємо рулонний тип ультрафільтраційного модуля: для рулонних мембран

Fелм : 5, 10, 20, 40, 80, 90, 150, 240 м2.

Найближчий за поверхнею Fелм = 10 м2

Знаходимо потрібну кількість елементів n = F/ Fелм = 9,3/10 = 0,93 Приймаємо кількість елементів для УФ-установки n = 1.

6.6. Розрахунок розпилювальної сушильної установки

Для розрахунку розпилювальної сушильної установки слід скористатись прикладом

10.1 [1].

Приймемо час сушіння τсуш = 24 год.

6.6.1. Об’єм концентрату, що йде на сушіння складає (п.4,2,2) Vкон = 11530 л Підбираємо геометричний об’єм реактор для концентрату. Приблизний геометричний

об’єм реактора-змішувача при заданому Кзб = 0,8:

Vзкон = Vконзб = 11,53/0,8 = 14,4 м3.

Вибираємо з Таблиці 11.1. [1] найближчий за номінальним об’ємом реактор: Vснг = 16 м3.

54

Кількість реакторів при заданому Кзб становить:

Nр = Vзкон/Vснг = 14,4/16 = 0,9. Приймаємо – 1 од.

Уточнюємо коефіцієнт заповнення реактора:

 

 

 

 

 

Кзр = Vсн/(Vснг Nр) = 11,53/(16·1) = 0,72

 

 

 

 

 

Оскільки

уточнений коефіцієнт заповнення лежить

в заданих межах

(0,7 –

0,85),

приймаємо до установки кількість реакторів для концентрату – 1.

 

 

 

 

6.6.2. Масса концентрату, що йде на сушіння, при його густині

ρуф

= 1050 кг/м3

 

становить

 

 

 

 

 

 

Gкон = Vкон·ρуф/1000 =11530·1050/1000 =12107 кг.

 

 

 

 

 

6.6.3.

Маса висушеного препарату з врахуванням

втрат

Есш

=0,1

(частка)

сухої

речовини з повітрям, що виходить з сушарки, при стандартному вмісті сухих речовин в готовому продукті СРгп = 0,88

G= Gаск(1-Есш)/СРгп = 208(1-0,1)/0,88 = 213 кг.

6.6.4. Маса води, що підлягає видаленню

Wсш = Gкон(1- Есш)- G=12107·(1-0,1) – 213 = 10683 кг, тоді витрати вологи, що підлягає видаленню, будуть

W = Wсш /τсуш = 10683/24 = 445 кг/год.

6.6.5. Приймемо температуру на вході гарячого газу (повітря) t= 130 °С; на виході гарячого газу (повітря) t= 65 °С; температуру висушеного матеріалу, яка не повинна перевищувати t= 45°С.

6.6.6. Визначимо середню питому продуктивність сушарки за вологою, що випарилась

Gсер =0,05[(t+t/2) -tм] = 0,05·[(130+65)/2 - 45] = 2,63 кг/(м3· год)

6.6.7. Орієнтовно об'єм розпилювальної сушарки Vcуш розраховують за формулою

Vсуш = W/ Gсер = 445/2,63 = 170 м3

6.6.8. Обираємо з Таблиці 10.1. [1] найближчу за об'ємом стандартну розпилювальну сушарку СРЦ-6,5/170 об'ємом 170 м3, яка має діаметр 6,5 м і висоту циліндричної частини 5 м, нижнє підведення повітря та конічну частину, маса сушарки 27,5 т.

6.7. Розрахунок бункера-змішувача для стандартизації ферментного препарата

6.7.1. Об’єм сухого продукту та наповнювача при густині суміші ρсм = 1200 кг/м3 складає

6.7.2.Vгп= (G+Gнап)/ ρсм = (213+490)/1200 = 0,585 м3.

6.7.2.При заданому коефіцієнті заповнення Кзб = 0,8 приблизний геометричний об’єм

бункера-змішувача становить

Vгбз = Vгп/ Кзб = 0,585/0,8 = 0,73 м3.

Найближчий за об’ємом є змішувач геометричним об’ємом Vтбз = 1,0 м3 (Таблиця 11.1.

[1]).

6.7.3. Уточнюємо коефіцієнт заповнення :

Кзр = Vгп/ Vтбз = 0,585 /1,0 = 0,59

Оскільки уточнений коефіцієнт заповнення змішувача не перебуває в заданих межах (0,7

– 0,85), замовляємо його окремо геометричним об’ємом Vзр = 0,8.

6.8.Розрахунок фасувально-пакувального обладнання

6.8.1. Маса готового ферменту, що йде на фасування,

Gгп =703 кг.

Маса готового препарату, що фасується в 1 поліетиленовий пакет, а потім у паперовий крафт-мішок Gкрф = 10 кг. Кількість пакетів за цикл Nц = 703/10 = 70

Використовується напіватомат-дозатор з продуктивністю Gав = 100 пакетів за годину.

6.8.2.Час фасування партії готового препарату

τф = Gгп/ Gав = 70/100 = 0,7 год = 42 хв.

55