необхідна частота генерованих коливань f;
напруга джерела живлення, що визначає напруга на резонаторі Uрез;
поздовжній розмір клістрона по відстані D між зазором резонатора й відбивачем;
діаметр електронного потоку, що відповідає внутрішньому розміру резонатора 2 а;
один зі способів механічної перебудови частоти клістрона - по зміні ширини зазору d (додатково виробляється зміна розмірів резонатора h і а в межах 0,25 від вихідних значень).
Таблиця 11. Вихідні дані для проведення розрахунків:
|
Частота f , ГГц |
Напруга на резонаторі U рез , В |
Поздовжній розмір резонатора D , мм |
Діаметр електронного потоку 2 a , мм |
|
3,5 |
450 |
5,0 |
7,5 |
II. Визначаються зони генерації коливань по напрузі на відбивачі послідовно для значень п = 0,1,2..., при яких Uвідб < 0. При цьому максимальна кількість зон генерації, з урахуванням зони п = 0, відповідає представленій вище оцінці пмакс.
Скористаємося
формулою залежності швидкості електрона
від напроги резонатора:
![]()
(м/с)
Відповідно
кількість зон генерації при заданих
значеннях напруги на резонаторі Uрез,
обраної
частоти f
і відстані D,
швидкості
визначається
значеннями п,
при яких Uвідб
< 0.
Цю умову спрощено можна представити у
вигляді:
,
![]()
n=6
Ширину
зазору резонатора виберемо із умови
оптимальності кута прольоту зазору
,
вважаючи
,
тоді
![]()
d=0,00135 м
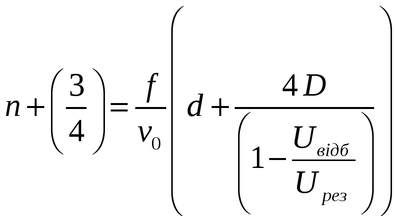
Для знаходження напруги на відбивачі скористаємося співвідношенням :
,
де D - відстань між резонатором і відбивачем;
-
швидкість немодульованого електрона
в зазорі резонатора;
d - ширина зазору резонатора;
f – частота
Uрез – напруга на резонаторі
Шляхом перетворення отримаємо наступну формулу:

Таблиця 12:
|
n |
0 |
1 |
2 |
3 |
4 |
5 |
|
U відб, В |
-6227,6 |
-1371,2 |
-604,4 |
-292,0 |
-122,4 |
-15,9 |
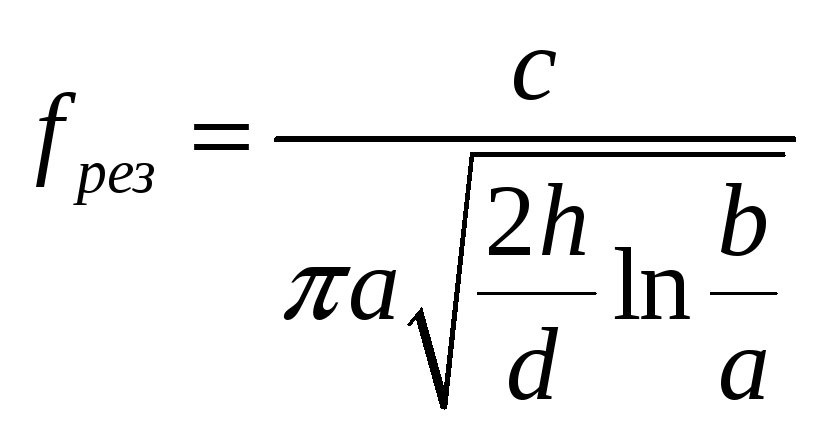
III. Визначається оптимальна ширина зазору d резонатора й виконуються обчислення його поздовжнього розміру h . По цій же формулі визначається діапазон механічної перебудови частоти клістрона по заданій зміні розмірів резонатора й ширини зазору.
Скористаємося
формулою:
,
де
с – швидкість світла
a, b – параметри форми резонатора
d – ширина зазору
h – повздовжній розмір резонатора
Перетворивши
формулу отримаємо

h=0,143 м
Змінюючи параметри а, h в межах +/- 25% та ширину зазору d в межах +/- 30% можна механічно перебудувати частоту клістрона у межах:
Δd ≈ 0,3; d=0,0004 (м); Δa ≈ 0,25; a=0.00093 (м) та Δh ≈ 0,25; h=3,58*10-2 (м).
Таблиця 13:
|
|
0 |
delta + |
delta - |
|
f(h) |
3,50E+09 |
3,13E+09 |
4,04E+09 |
|
f(d) |
3,50E+09 |
3,99E+09 |
2,93E+09 |
|
f(a) |
3,50E+09 |
3,80E+09 |
3,40E+09 |
Таблиця 14:
|
f(h) |
(3,13-4,04) Ггц |
|
f(d) |
(2,93-3,99 Ггц |
|
f(a) |
(3,40-3,80) Ггц |
Теоретична частина
1. Опишіть умови еквівалентності діодів і ламп із сітками.
Був винайдений Д.А. Флемінгом у 1904р.
Вакуумний тріод – триелектродна лампа, що складається з:
катоду -- джерела прикатодного об’ємного заряду;
аноду – колектора електронів;
керуючої сітки – електрода керування анодним струмом.
Сітка відрізняється більшою ефективністю дії на прикатодний об’ємний заряд ніж анод, тому що знаходиться ближче до катоду ніж анод.
Другою причиною є часткове екранування поля анода в прикатодній області за рахунок:
- виготовлення сітки з металу;
- виготовлення сітки у вигляді спіралей , сіток та металевої тканини.
Рис.
Конструктивні схеми тріодів.
Статичні параметри тріода :
а) крутість характеристики
S = дIa /дUcUa = const
б) внутрішній опір тріода
Ri = дUa / дIa Uc = const
в) статичний коефіцієнт підсилення по напрузі
= S ri = дUa / дUc Ia = const
Ua,

Рис. Типові анодно-сіткові та анодні статичні характеристики та методика визначення статичних параметрів лампи.
Закон ступеня трьох-других для тріоду. Еквівалентний діод.
Ia(екв.діода)=Iк(тріода)=Ia+Ic
![]()
діючий потенціал,
проникність тріода

![]()
![]()
![]()

Рис. Схема включення тріода у динамічному режимі та методика будови робочої прямої та кривої навантаження по статичними анодним характеристикам.

![]()
![]()
Рис.
Схема підсилювача із загальною заземленою
базою
Рис.
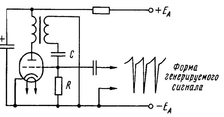
Схема блокінг-генератора на тріоді.
2. Поясніть принцип дії, параметри і сфери використання газорозрядних індикаторних панелей (ГІП) змінного струму.
На відміну від ГІП постійного струму, ГІП змінного струму мають здатність запам'ятовувати інформацію на індикаторному полі, що робить необов'язковим відновлювати всю інформацію з кадровою частотою. Нове зображення записують тільки при необхідності шляхом розгортки по строчкам та стовбцям, подібно розглянутим ГІП. При цьому кадрова частота може падати до одиниць – долів Гц. Інформаційна ємність обмежується тільки конструктивними факторами.

Рис.
Конструкція матричного індикатора
змінного струму схематичне (а) та
поперечний перетин (б): 1 – скляні
підкладки; 2 – електроди, що розташовуються
на внутрішньому боці підкладок 1; 3 –
тонке покриття з тонкого скла; 4 – зазор
між пластинами наповнений газом при
атмосферному тиску. Герметизація
виконується використанням скляних
прокладок та склоцементу.
Ізолююча плівка MgO виконує також функцію ефективного емітера вторинних електронів і має гарну стійкість до розпилення при іонному бомбардуванні. Завдяки великому тиску відбувається локалізація газового розряду в об'ємі перехрестя двох електродів не впливаючи на інші області. Це дозволяє відмовитися від використання діелектричних бар'єрів між комірками.
Поперечна структура представляє собою шарування металу – діелектрика – газу – діелектрика – металу (МДГДМ).
При достатньому потенціалі між електродами протилежних підкладок, первинні електрони в газовому проміжку прискорюючись утворюють електронні лавини. Іони та фотони в свою чергу вибивають з поверхні негативного електрода (шару MgO) вторинні та фотоелектрони, які підтримують самостійний розряд. В стаціонарному випадку напруг розряд припиниться при зарядці ємності МДГДМ структури і струм матиме вигляд одного імпульсу. При подачі змінної напруги на електроди розрядження та зарядження МДГДМ структури приведе до збереження розряду.
Включення комірки (записування) проводиться методом двокоординатної вибірки, при якій на вертикальний та горизонтальний електроди подається в моменти часу t1-t2 імпульси запису Uх та Uу, сумарна амплітуда яких |Uх|+|Uy|= Uзаг>Uвин. Струм розряду ір, що проходить скрізь комірку спочатку зростає, а потім спадає при заряджанні МДГДМ. Зміна полярності електродів приводить до зворотного процесу, перезаряджаючи МДГДМ.
Для стирання інформації на електроди комірки подається імпульс напруги сумарне значення якої менше за потенціал горіння.
Рис.
Діаграми напруг та струмів що характеризують
роботу ГІП змінного струму