Для двох заданих значень d1 і d2 визначив, що при відстані d1 струм більший чим при d2, тобто можемо зробити висновок, що відстань d1 є більш ефективною при даному матеріалі катода і його параметрів.
I.
Отримати сімейство анодних характеристик.
При розрахунку сімейства анодних
характеристик
напругу анода варто змінювати від 0 до
300В з інтервалом 25-30 В для чотирьох
значень сітки, обраних в інтервалі від
= 0 В до напруги запирання сітки
.
Таблиця 7:
|
Q= |
800 |
мм2 |
|
La= |
12 |
мм |
|
Lc= |
2,4 |
мм |
|
dc= |
0,1 |
мм |
|
S= |
0,7 |
мм |
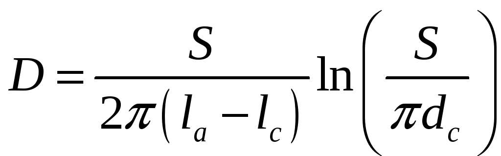
Розрахуємо
проникність тріода за формулою:
,
де
– відстань
катод-анод, мм;
– відстань
катод-сітка, мм;
– діаметр
дроту сітки, мм;
– крок
сітки, мм;
D=0,009298 Гн/м
Запираючу
напругу можна отримати:
;
При максимальній напрузі на аноді,
запираюча напруга складає
= -2,78932
В, розрахуємо залежність Іа(Ua)
при дискретних значеннях Uc
зап за
формулою:

– площа
робочої поверхні анода, мм2;
Для фіксованих значень потенціалу на сітці маємо:
Таблиця 8: Сімейство анодних характеристик вакуумного тріода
|
Uc, В |
0 |
-0,7 |
-1,4 |
-2,1 |
|
Ua,В |
Ia |
|||
|
0 |
0,00 |
0,00 |
0,00 |
0,00 |
|
25 |
3,11 |
0,00 |
0,00 |
0,00 |
|
50 |
8,80 |
0,00 |
0,00 |
0,00 |
|
75 |
16,18 |
0,00 |
0,00 |
0,00 |
|
100 |
24,90 |
0,00 |
0,00 |
0,00 |
|
125 |
34,80 |
8,73 |
0,00 |
0,00 |
|
150 |
45,75 |
16,08 |
0,00 |
0,00 |
|
175 |
57,65 |
24,80 |
0,00 |
0,00 |
|
200 |
70,44 |
34,68 |
8,65 |
0,00 |
|
225 |
84,05 |
45,62 |
15,99 |
0,00 |
|
250 |
98,44 |
57,51 |
24,69 |
0,00 |
|
275 |
113,57 |
70,29 |
34,56 |
0,00 |
|
300 |
129,40 |
83,89 |
45,49 |
15,90 |

Рис. 3 – Сімейство анодних характеристик
IІ.
Отримати сімейство анодно-сіткових
характеристик
при
.
Обчислюються за формулою (9) для п'яти
значень напруг анода, які дорівнюють
50, 100, 150, 200, 250 В. Потенціал на сітці
необхідно змінювати в інтервалі від 0
до
(7-8 значень). Потенціал запирання сітки
Uс зап
для кожної характеристики розраховують
за формулою (11) заміною замість
відповідного значення напруження
на аноді (50, 100, ... , 250 В).
Розрахуємо значення запираючої напруги для дискретних значень Ua
Таблиця 9:
|
Ua |
50 |
100 |
150 |
200 |
250 |
|
U зап |
-0,46489 |
-0,92977 |
-1,39466 |
-1,859547 |
-2,32443 |
Використовуючи
формулу
знайдемо відповідні значення Іа
|
Ua, В |
50 |
Ua, В |
100 |
Ua, В |
150 |
Ua, В |
200 |
Ua, В |
250 |
|
Uc, В |
Ia(Uc), А |
Uc, В |
Ia(Uc), А |
Uc, В |
Ia(Uc), А |
Uc, В |
Ia(Uc), А |
Uc, В |
Ia(Uc), А |
|
0 |
8,80 |
0 |
24,90 |
0 |
45,75 |
0 |
70,44 |
0 |
98,44 |
|
-0,07748 |
6,70 |
-0,15496 |
18,94 |
-0,23244 |
34,80 |
-0,30992 |
53,58 |
-0,38741 |
74,89 |
|
-0,15496 |
4,79 |
-0,30992 |
13,56 |
-0,46489 |
24,90 |
-0,61985 |
38,34 |
-0,77481 |
53,58 |
|
-0,23244 |
3,11 |
-0,46489 |
8,80 |
-0,69733 |
16,18 |
-0,92977 |
24,90 |
-1,16222 |
34,80 |
|
-0,30992 |
1,69 |
-0,61985 |
4,79 |
-0,92977 |
8,80 |
-1,2397 |
13,56 |
-1,54962 |
18,94 |
|
-0,38741 |
0,60 |
-0,77481 |
1,69 |
-1,16222 |
3,11 |
-1,54962 |
4,79 |
-1,93703 |
6,70 |
|
-0,46489 |
0 |
-0,92977 |
0 |
-1,39466 |
0 |
-1,85955 |
0 |
-2,32443 |
0 |

Рис. 4 –
Сімейство анодно-сіткових характеристик
![]()