Лекція 8
Тема: «Електричні вимірювання, переваги, типи, похибки, класи точності».
Мета: «Розглянути види електричних вимірювань, їх переваги, правила користування вимірювальними приладами; навчитися розраховувати похибки вимірювань, класи точності вимірювальних приладів».
Література: Л1, ст. 200..204, Л2, ст. 134..138.
Основні питання:
1. Загальні відомості про вимірювання
2. Засоби й методи вимірювань
3. Еталони й повірка робочих засобів вимірювань
4. Похибки засобів вимірювань
5. Умовні позначення електровимірювальних приладів.
Одержання значення фізичної величини дослідним шляхом за допомогою спеціальних технічних засобів називають вимірюванням.
В основі будь-яких вимірювань лежать різні фізичні явища, що визначають принцип вимірювання, наприклад; вимірювання температури з використанням термоелектричного ефекту, вимірювання витрат газу або рідини за перепадом тиску на звужуючому пристрої.
За способом одержання вимірюваної величини вимірювання розділяють на прямі й непрямі.
Прямі - це вимірювання, при яких шукане значення фізичної величини визначають безпосередньо з дослідних даних. Якщо позначити через [X] одиницю вимірюваної величини, а через х її числове значення, то шукане значення вимірюваної величини Q=x[X]. Найпростішими прикладами прямих вимірів є визначення температури термометром, тиску - манометром, електричної напруги - вольтметром і т.д.
Непрямі — це вимірювання, при яких шукану величину знаходять на підставі відомої залежності між цією величиною й величинами, що одержуються в результаті прямих вимірів. У цьому випадку вимірювана величина визначається функціональною залежністю К= f(X1, Х2, . . ., Хn), де Х1, Х2, . . ., Хn - значення величин, що виміряні прямим способом. Непрямими вимірюваннями є визначення витрат рідин або газів, коефіцієнта корисної дії (ККД), питомих економічних показників обладнання, визначення опору R=U/I за даними вимірів напруги та струму в колах постійного струму.
При вимірюваннях фізичних величин ніколи не можна одержати їхнього істинного значення, що пов'язане з недосконалістю методів і засобів вимірювань, із впливом умов вимірювань, а також індивідуальними особливостями спостерігачів тощо.
Відхилення результату виміру від істинного значення вимірюваної величини називають погрішністю вимірювання.
Зі зменшенням погрішності вимірів підвищується їхня точність. Якість вимірів, що відображає близькість їхніх результатів до істинного значення вимірюваної величини, називають точністю вимірювань. Для конкретних умов і цілей виміру існує свій раціональний рівень точності, що недоцільно перевищувати через складність відповідних вимірювань.
Система одиниць повинна мати наступні властивості: універсальність (метод побудови системи не пов'язаний з конкретними фізичними величинами); мінімальну кількість основних одиниць (необхідну для утворення логічно несуперечливих похідних одиниць, що охоплюють всі види вимірювань); незалежність вибору основних одиниць від їхніх кількісних значень (наприклад, як одиниця довжини вибирають будь-яку - метр, дюйм, сажень, при цьому похідні одиниці залежать від обраної основної).
Спочатку застосовувалися системи одиниць, у яких основними були три одиниці: довжини, маси й часу.
Вони охоплювали широке коло завдань механіки. Велике поширення одержали системи одиниць МКС (метр - кілограм - секунда) і СГС (сантиметр - грам - секунда).
Оскільки системи механічних одиниць не охоплювали теплотехнічні, до них додали ще одну основну одиницю - градус температурної шкали (системи МКСГ), а для електричних і магнітних вимірювань - одиницю сили струму - ампер (система МКСА).
Існування різних систем одиниць фізичних величин і великої кількості додаткових одиниць, ріст науково-технічного прогресу і економічних зв'язків між країнами висунули вимогу уніфікації одиниць виміру в міжнародному масштабі. Була введена Міжнародної системи фізичних одиниць СІ.
Основними одиницями СІ є: довжина - метр (м); маса - кілограм (кг); час – секунда (с); термодинамічна температура - Кельвін (К); сила електричного струму - ампер (А); кількість речовини - моль; сила світла - кандела (кд), додатковими одиницями – плоский кут-радіан (рад) і тілесний кут - стерадіан (ср).
Всі вимірювання виконують за допомогою технічних засобів, які мають нормовані погрішності й називаються засобами вимірювань. Вони є матеріальною основою вимірювань фізичних величин. Сукупність прийомів використання принципів і засобів вимірювань називається методом вимірювань.
До основних видів засобів вимірювань відносять міри, вимірювальні перетворювачі, вимірювальні прилади, інформаційно-вимірювальні системи.
Міра - засіб вимірювань, призначене для відтворення одного або декількох відомих значень фізичної величини. Наприклад, гиря - міра маси, температурна лампа – міра яскравісної або колірної температури, вимірювальна колба - міра об'єму. Перераховані міри відтворюють одне значення фізичної величини, тобто є однозначними. До цих мір відносять також зразкові речовини. Міри, що відтворюють кілька значень фізичної величини (наприклад, лінійка, конденсатор змінної ємності, змінний опір), називають багатозначними. Поряд з мірами існують магазини мір, тобто їхні набори, у яких міри об'єднані в єдине конструктивне ціле із пристроєм для їхнього з'єднання в різних сполученнях (магазин опорів, магазин індуктивностей).
Фізичні величини вимірюють мірами методом порівняння. У деяких випадках використовують метод протиставлення (наприклад, вимір маси на рівноплечих вагах гирями) або метод збігу (вимірювання довжини лінійкою).
Вимірювальний перетворювач - засіб вимірювань, призначений для вироблення сигналу вимірювальної інформації у формі, зручної для передачі, подальшого перетворення, обробки й зберігання, але не піддається безпосередньому сприйняттю спостерігачем.
Ці перетворювачі є складовими частинами приладів і вимірювальних систем. По місцю, що займається в приладах, вимірювальні перетворювачі розділяють на первинні, проміжні, масштабні.
Первинним перетворювачем називається пристрій, до якого підводиться безпосередньо вимірювана фізична величина, тобто він знаходиться першим у вимірювальному колі. Часто такі перетворювачі називають датчиками (наприклад, термоелектричний термометр, звужуючий пристрій витратоміра).
Перетворювач, що займає у вимірювальному колі місце після первинного, називають проміжним.
Перетворювач, призначений для зміни величини в задану кількість разів, називають масштабним або підсилювальним (наприклад, вимірювальний трансформатор струму, дільник напруги, вимірювальний підсилювач), а призначений для дистанційної передачі сигналу вимірювальної інформації - передавальний (наприклад, індуктивний або пневматичний перетворювач).
Останнім часом у зв'язку із застосуванням у вимірювальній техніці різних ЕОМ і мікропроцесорів дістали поширення аналого-цифрові (АЦП) і цифро- аналогові перетворювачі (ЦАП). Перші перетворювачі слугують для перетворення аналогових сигналів у цифрові, що змінюються дискретно в часі з постійним кроком, другі – для перетворення дискретних за часом сигналів в аналогові. У теплотехнічних вимірах найчастіше застосовують АЦП.
Нелінійна залежність в, перетворювачах допускається у виняткових випадках.
Вимірювальний прилад - засіб вимірювань, призначений для вироблення сигналу вимірювальної інформації у формі, придатної для безпосереднього сприйняття спостерігачем. Цей вид засобів вимірювань найчастіше використовують при експлуатації енергетичного обладнання. На відміну від міри вимірювальний прилад не відтворює значення вимірюваної величини, вона підводиться до приладу ззовні. Прилад видає в процесі вимірювань числове значення величини.
Вимірювальний прилад, показання якого є безперервною функцією змін вимірюваної величини, називають аналоговим, а прилад, показання якого представлені у вигляді цифр - цифровим.
За способом побудови вимірювальної схеми розрізняють прилади прямої дії, порівняння, автоматичної компенсації.
Для аналогових вимірювальних приладів характерні відлікові пристрої, що складаються зі шкали й покажчика.
Сукупність послідовно нанесених оцінок, що відповідають ряду значень вимірюваної величини, називають шкалою. Відстань між двома сусідніми позначками називають довжиною поділки шкали, а різниця між значеннями цих позначок – ціною поділки шкали.
Область показань шкали, обмежену її кінцевим і початковим значеннями, називають діапазоном вимірювань, а найбільше й найменше значення діапазону – відповідно верхньою й нижньою межами вимірювань.
Числові позначки на шкалах звичайно позначають розмір вимірюваної величини.
Іноді на шкали наносяться відсотки або їхні частки.
Нанесення позначок на шкалу за дійсним значенням вимірюваної величини називають градуюванням. Значення величини, позначені на шкалі приладу, зазвичай кратні п'яти.
У цифрових вимірювальних приладах (ЦВП) шкала й вказівник відсутні. Результат вимірювання зчитують по цифрах вихідного коду.
Однією з найважливіших характеристик вимірювального приладу є чутливість - відношення зміни сигналу на виході вимірювального приладу до викликаючої її зміни вимірюваної величини.
Іншою важливою характеристикою вимірювального приладу є варіація показань - варіація виникає через тертя в опорах рухливих частин прибору, гістерезису пружин і пружних елементів. При експлуатації приладу варіація збільшується. Найбільше значення варіації показань не повинне перевищувати припустимої похибки приладу.
Для оцінки погрішності приладів використовується така узагальнена характеристика, як клас точності. Якщо межі основної погрішності, що допускається, задані абсолютною погрішністю в одиницях вимірюваної величини, клас точності приладу позначають «Кл 1» або «Кл 2». У цьому випадку він носить умовний характер і не має зв'язку з конкретним значенням погрішності приладу. Чим менше клас точності прибору, тим він точніше.
Набагато
частіше для нормування погрішності
приладу використовують клас точності
К,
пов'язаний з конкретним значенням
абсолютної погрішності
, де ХN
— нормоване значення шкали приладу. Це
значення приймається рівним: верхній
межі вимірів (Хв) — для приладів з
однобічною шкалою; арифметичній сумі
верхньої й нижньої меж вимірів |ХН|+|ХВ|
- для приладів із двосторонньою шкалою;
різниці верхньої й нижньої меж (Хв —
ХН) — для приладів з безнульовою шкалою;
значенню XN,
зазначеному в паспорті,— для приладів
фізико-хімічного аналізу речовин, ЦВП.
Клас точності приладу задається будь-яким числом з розмірного ряду (1; 1,5; 2,0; 2,5; 3,0; 4,0; 5,0; 6,0) 10n, де n=1; 0; -1; -2.
Електровимірювальні прилади поділяються на дві основні групи:
Прилади безпосередньої оцінки, які дають чисельне значення вимірювальної величини по їх відліковому пристрої, наприклад амперметр, вольтметр і т.д.
Прилади порівняння, необхідні для порівняння вимірювальної величини з мірою, напр. вимірювальний міст.
За видом вимірювальної величини електровимірювальні прилади поділяються на амперметри, вольтметри, ватметри, лічильники електричної енергії, фазометри та ін.
По принципу дії електровимірювальні прилади поділяються на системи: магнітоелектрична, електромагнітна, електродинамічна, випрямляюча, феродинамічна, індукційна, вібраційна та ін. Вибір системи вимірювального приладу для вимірювання визначається її властивостями, які повинні відповідати вимогам, пред’явленим до вимірювань і умов, в яких вони проводяться.
Єдність вимірів досягається точним відтворенням і зберіганням установлених одиниць фізичних величин і передачею їхніх розмірів застосовуваним засобам вимірювань. Із цією метою всі засоби вимірювань діляться на еталони, зразкові й робочі.
Еталони, що забезпечують відтворення й зберігання одиниць фізичних величин, призначені для передачі їхніх розмірів зразковим, а від них робочим засобам вимірювань.
Точність відтворення еталоном даної одиниці найвища. Зразкові засоби вимірювань, що представляють собою міри, вимірювальні прилади або вимірювальні перетворювачі, призначені для передачі розмірів одиниць фізичних величин від еталонів робочим мірам і вимірювальним приладам. Вони слугують для перевірки й градуювання по них інших засобів вимірювань. По точності зразкові засоби вимірювань діляться на 1, 2 і 3-й розряди.
Робочі засоби вимірювань розділяють на лабораторні (підвищеної точності) і технічні.
Покази електровимірювальних приладів дещо відрізняються від дійсних значень вимірюваних величин. Це викликано мінливістю параметрів вимірювального кола (зміна температури, індуктивністі і т.п.), недосконалістю конструкції вимірювальних механізмів (наявністю тертя і т.д.) і впливом зовнішніх факторів (зовнішнє магнітне і електричне поле, зміна температури навколишнього середовища і т.д.).
Абсолютна похибка приладу в даній точці діапазону вимірювання дорівнює
![]()
де x – покази приладу;
xи – істинне значення вимірюваної величини.
Однак в зв'язку з тим, що істинне значення найчастіше невідомо, на практиці замість нього використовують дійсне значення хд, в якості якого застосовують або середнє арифметичне значення ряду вимірювань, або покази зразкового приладу.
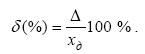
Очевидно, що абсолютна похибка приладу виражається в тих же одиницях, що і вимірювана величина. Абсолютна похибка приладу не характеризує повною мірою точність вимірювання, тому при вимірюванні визначається також відносна похибка – відношення абсолютної похибки до істинного (дійсному) значення вимірюваної величини

або у відсотках

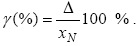
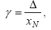
Наведена похибка γ електричного вимірювального приладу дорівнює відношенню абсолютної похибки до нормуючого значення xN, що приймається рівним верхній межі вимірювань (якщо нульова відмітка знаходиться на краю або поза шкалою) або діапазону вимірювань (якщо нульова оцінка знаходиться всередині діапазону вимірювань):
![]()
або у відсотках
![]()
Похибка електровимірювального приладу залежить від умов проведення вимірювань. Розрізняють основну і додаткову похибки.
Основна похибка - це похибка, яка існує при нормальних умовах, що зазначені в нормативних документах і регламентують правила випробування та експлуатації електровимірювальних приладів.