Материал: Lab_3

Внимание! Если размещение файла нарушает Ваши авторские права, то обязательно сообщите нам

Вычислим значения полной и активной мощности, потребляемой выпрямителем от источника питания по первой гармонике:

ВА

Вт

Значение мощности в нагрузке:

Вт

Потери в тиристоре:

Вт

Остальные данные сведем в Табл. 4 и Табл. 5.

Далее построим внешние характеристики Рис. 8 – 9 для R = 10; L =0,35 и R = 120; L =4,2 соответственно.

Рис. 8

Рис. 9

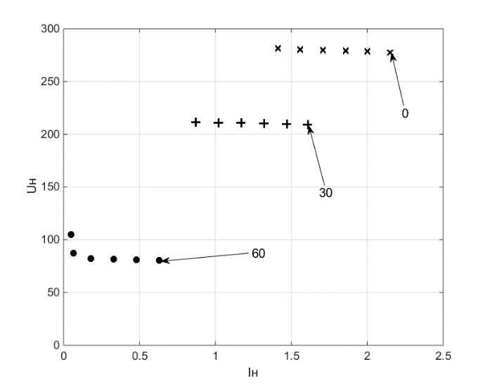
Построим энергетические характеристики ; на одном рисунке для каждого рассмотренного угла управления Рис. 10 - 21.

Рис. 10 (0)

Рис. 11 (30)

Рис. 12 (60)

Рис. 13 (0)

Рис. 14 (30)

Рис. 15 (60)

Рис. 16 (0)

Рис. 17 (30)

Рис. 18 (60)

Рис. 19 (0)

Рис. 20 (30)

Рис. 21 (60)

5. Исследуем спектральный состав тока, потребляемого управляемым выпрямителем при ненулевом значении угла управления в пакете расширения Signal Processing Toolbox для угла заданного по следующей формуле:

Для R = 10; L =0,35 приведена Табл. 6, а для R = 120; L =4,2 – Табл. 7.

Табл. 6

Измерения

Вычисления

(А)

32

17,19

0,01

0,0053

0,00064

0,001

10,61

0,018

0,016

0,0028

0,0055

Рассчитаем абсолютные значения гармонических составляющих потребляемого тока в амперах по формуле:

, где где - номер гармоники, - амплитуда тока –ой гармоники в амперах, , - значения, определенные из полученного спектра, - ток, считанный с дисплея в амперах.

Табл. 6

Измерения

Вычисления

(А)

32

0,628

0,000478

0,00085

0,000386

2,27

0,0052

0,015

0,0098

Выводы: При нагрузке с противо-ЭДС напряжение самой нагрузки становится больше, чем без нее. При больших углах управления напряжение остается постоянным и равным по величине значению противо-ЭДС.

Из исследования спектрального состава потребляемого тока можно заключить, что ток практически определяется первой гармоникой, так как амплитуды последующих гармоник значительно меньше. В спектре отсутствуют четные гармоники.

Исследуя энергетические характеристики, можно заключить, что при увеличении угла управления максимальное значение тока на тиристоре падает. А при уменьшении ЭДС ток возрастает, следовательно растет активная мощность.