Нижегородский государственный
технический университет
имени Р.Е. Алексеева
Кафедра: «Теоретическая и общая электротехника»
Отчет по лабораторной работе № 1
«Линейная электрическая цепь постоянного тока»
Выполнили:
Студенты 19-Э-5
Федоров К.Р.
Шургалина В.И.
Реунов Д.Ю.
Проверил: Степанов К.С.
Нижний Новгород 2020
Цель работы:
Исследовать линейные цепи постоянного тока на электронных моделях в симуляторе, изучить методы расчёта линейных цепей и режимы работы реального источника ЭДС, проверить выполнение законов Кирхгофа и Джоуля-Ленца.
Приборы:
Источники постоянного напряжения из блока модуль питания
Измерительные приборы из блока цифровые индикаторы постоянного тока
Пассивные элементы электрической цепи из блока модуль резисторов
Схема исследуемой электрической цепи:
Таблицы опытных и расчетных данных:
R1=100 Ом R2=150 Ом
R3=68 Ом |
|||||||||
Включены обе ЭДС E1=9В и E2=12В |
Включена ЭДС E1=9В |
Включена ЭДС E2=12В |
|||||||
I1, мА |
35 |
UR1, В |
3,54 |
I1’,мА |
61 |
I1’’,мА |
27 |
||
I2,мА |
45 |
UR2, В |
6,55 |
I2’,мА |
2 |
I2’’,мА |
64 |
||
I3,мА |
79 |
UR3, В |
5,42 |
I3’,мА |
41 |
I3’’,мА |
37 |
||
Опытные данные для определения параметров эквивалентного генератора
IКЗ, мА |
ЕГ = U0, В |
RГ = U0 / IКЗ , Ом |
RГ = R1R2/(R1+R2) , Ом |
169 |
10,2 |
60,355 |
60 |
Характеристики эквивалентного реального источника ЭДС
R3=47 Ом |
0,00 |
10,00 |
47,00 |
68,00 |
100,00 |
150,00 |
220,00 |
330,00 |
∞ |
I1, мА |
89,00 |
74,00 |
45,00 |
35,00 |
25,00 |
17,00 |
9,00 |
3,00 |
13,00 |
I2, мА |
81,00 |
71,00 |
51,00 |
45,00 |
38,00 |
32,00 |
27,00 |
23,00 |
12,00 |
I3, мА |
169,00 |
145,00 |
95,00 |
79,00 |
62,00 |
48,00 |
36,00 |
26,00 |
0,00 |
UR1, В |
8,92 |
7,44 |
4,48 |
3,54 |
2,56 |
1,73 |
0,99 |
0,38 |
-1,16 |
UR2, В |
11,90 |
10,48 |
7,52 |
6,55 |
5,53 |
4,70 |
3,98 |
1,92 |
1,82 |
Uн=UR3, В |
0,00 |
1,48 |
4,43 |
5,42 |
6,42 |
7,24 |
8,00 |
8,61 |
10,20 |
∆U, В |
10,20 |
8,75 |
5,73 |
4,77 |
3,74 |
2,90 |
2,17 |
1,57 |
0,00 |
P1, Вт |
0,79 |
0,55 |
0,20 |
0,12 |
0,63 |
0,03 |
0,008 |
0,0009 |
0,017 |
P2, Вт |
0,98 |
0,76 |
0,39 |
0,30 |
0,22 |
0,15 |
0,11 |
0,08 |
0,02 |
P3, Вт |
0,00 |
0,21 |
0,42 |
0,42 |
0.384 |
0,35 |
0,29 |
0,22 |
0,00 |
∑P, Вт |
1,78 |
1,51 |
1,02 |
0,85 |
0,66 |
0,53 |
0,40 |
0,30 |
0,04 |
η |
0,00 |
0,14 |
0,44 |
0,53 |
0,61 |
0,71 |
0,78 |
0,84 |
1,00 |
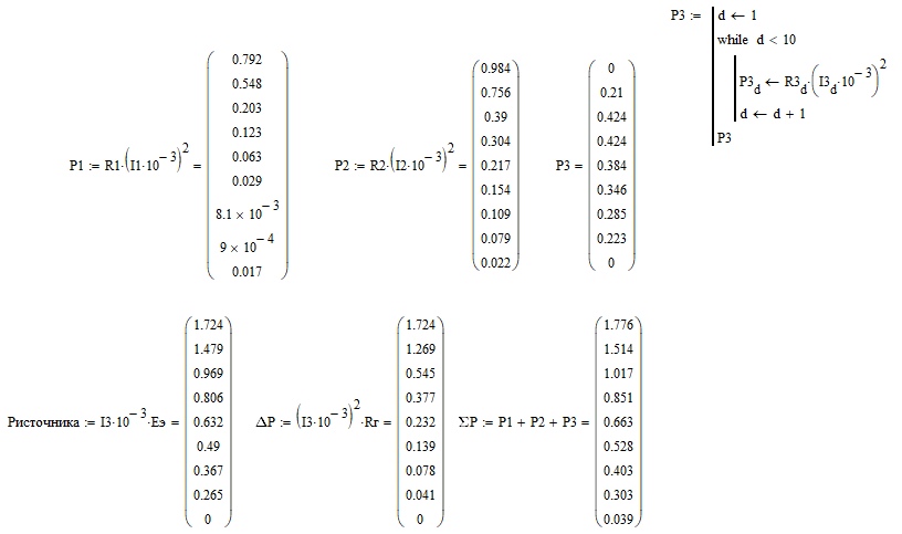
Расчеты:
График зависимости мощностей
График зависимости Напряжений
Выводы:
по полученным на стенде замерам можно сделать следующие выводы:
Подтверждены оба закона Кирхгофа гласящие: 1-алгебраическая сумма всех токов в узле равна нулю, и 2-алгебраичческая сумма падений напряжений на сопротивлениях равна сумме ЭДС, действующих в этом замкнутом контуре.
Метод наложения оказался верен – каждый истинный ток состоит из суммы двух составляющих его токов, образованных источниками ЭДС по отдельности.
По МЭГ была упрощена исходная схема и получены значения тока короткого замыкания и напряжения холостого хода. Найдены значения мощностей, выделяемых на резисторах, потери мощности, а также КПД эквивалентного источника ЭДС.
Кривые, построенные по экспериментальным данным, сошлись с теоретическими кривым. Мощность и КПД источника линейно зависят от тока, мощность потерь и кривая выделяемой мощности – параболически.
Падение напряжения на внутреннем сопротивлении реального источника ЭДС линейно растет с ростом тока, а напряжение сопротивлении нагрузки линейно падает с ростом тока.
Значения, полученные на компьютере, отличаются от значений, полученных опытным путём засечёт сопротивления проводов, сопротивления амперметров, сопротивления вольтметров и сопротивления источников ЭДС.