Материал: LEKTsIYa__01_ELEKTRIChESKOE_POLE_V_VAKUUME

Внимание! Если размещение файла нарушает Ваши авторские права, то обязательно сообщите нам

ЛЕКЦИЯ № 1

РАЗДЕЛ: ЭЛЕКТРОМАГНЕТИЗМ.

ТЕМА: ЭЛЕКТРИЧЕСКОЕ ПОЛЕ В ВАКУУМЕ.

ЗАКОН СОХРАНЕНИЯ ЭЛЕКТРИЧЕСКОГО ЗАРЯДА.

В природе существует 4 вида фундаментальных взаимодействий между элементарными частицами: сильное, электромагнитное, слабое и гравитационное. Эти виды взаимодействия связываются с определённой характеристикой частицы. Гравитационное взаимодействие зависит от массы частиц, электромагнитное  от электрических зарядов. Электрический заряд частицы является одной из основных, первичных её характеристик.

Вспомним основные свойства электрического заряда.

Например, в атоме водорода существует сила притяжения (взаимодействия) электрона и ядра, причем эта сила больше силы гравитационного взаимодействия (Fэл > Fгравит) приблизительно в 1039 раз. Бывают частицы без электрического заряда (нейтрон), но не существует заряда без частицы.

Впервые силы электрического взаимодействии наблюдались в опытах с натиранием палочки из янтаря шёлком (притяжение изорванных бумажек). Эти силы назвали электрическими (в переводе с греческого electron – смола, янтарь.) Тело, участвующее в электрическом взаимодействии называют электрически заряженным телом, а процесс, в результате которого тело заряжается  электризацией. Взаимодействие между заряженными частицами носит название электромагнитного.

Электрический заряд  физическая величина, определяющая интенсивность электромагнитных взаимодействий. О наличии электрического заряда мы судим по взаимодействию с другими заряженными телами. Имеется 2 вида электрических зарядов, условно называемых положительными и отрицательными. Заряды одного знака отталкиваются, разных знаков  притягиваются.

Заряд всех элементарных частиц (если он не равен нулю) одинаков по величине. Его называют элементарным зарядом и обозначают e = 1,610-19 Кл. Электрон и протон в атоме являются, соответственно, носителями элементарных зарядов  отрицательного (–e) и положительного (+e), хотя массы у них разные (me = 9,3110-31 кг, mp = 1,6710-27 кг).

Обычно частицы несущие заряды разных знаков присутствуют в равных количествах и распределены с одинаковой плотностью. В этом случае в любом элементарном объёме (ΔV) сумма зарядов равна нулю. Если каким либо образом (трением) создать в теле избыток частиц одного знака (недостаток другого знака)  тело окажется заряженным. Перераспределение зарядов (которое мы увидим позже) может происходить и за счёт индукции, т.е., если незаряженное тело находится рядом с заряженным телом.

Опытным путём американский физик Р. Милликен и советский физик А.Ф.Иоффе доказали, что электрический заряд любого тела дискретен, т.е. составляет целое кратное от элементарного электрического заряда:

q = ± Ne,

где N  число элементарных зарядов.

Электрический заряд  величина релятивистски-инвариантная, т.е. не зависит от системы отсчёта, а значит и от того, движется ли этот заряд или покоится.

ОСНОВНЫЕ ФУНДАМЕНТАЛЬНЫЕ СВОЙСТВА ЭЛЕКТРИЧЕСКОГО ЗАРЯДА:

1. Электрические заряды существует в двух видах: как “+”, так и “”;

2. Электрические заряды дискретны;

3. Величина электрических зарядов одинакова во всех инерционных системах отсчета (релятивистски инвариантна).

Опыты показывают, что электрические заряды изменяют пространство вокруг себя. Могут исчезать и возникать вновь, при этом всегда возникает или исчезает 2 элементарных заряда разных знаков (“+q” и “q”). Например, электрон и позитрон (см. пример Савельев И.В. Курс физики 1989 г., т.2 стр. 10). Существует правило, закон регулирования появления и исчезновения электрических зарядов. Этот фундаментальный закон природы на основании обобщения опытных данных был установлен и впервые сформулирован М.Фарадеем. Называется он законом сохранения электрического зарядаалгебраическая сумма электрических зарядов любой замкнутой системы (тела внутри системы не обмениваются зарядами с внешними телами) остаётся неизменной, какие бы процессы ни происходили внутри этой системы:

У Савельева формулировка чуть короче:

суммарный заряд электрически изолированной системы не может изменяться.

Отметим вкратце (потом подробнее):

Наличие носителей заряда (электронов) является условием того, что тело проводит электрический ток. В зависимости от способности тел проводить электрический ток они делятся на проводники, диэлектрики и полупроводники. Это всё условно, не учитывая внешние факторы.

Единица электрического заряда  Кулон (Кл)  электрический заряд, проходящий через поперечное сечение при силе тока 1 A за время 1 c.

ЗАКОН КУЛОНА

Заряд испытывает силовое действие в пространстве, окружающем исходный заряд. Взаимодействие электрически заряженных тел, как мы уже отмечали, можно наблюдать на опытах: одноимённо заряженные тела отталкиваются, разноимённо заряженные тела  притягиваются. Разноимённые заряженные тела, соединяясь, нейтрализуются.

Чтобы оценить величину взаимодействия нужно учитывать среду, в которой находятся заряды. Пусть заряды находятся в вакууме и покоятся. Раздел электродинамики, изучающий покоящиеся электрические заряды называют электростатикой. Все расчёты значительно упрощаются с введением понятия точечного заряда.

Точечным  называется заряд, сосредоточенный на теле, линейные размеры которого пренебрежимо малы по сравнению с расстоянием до других заряженных тел, с которыми он взаимодействует. Аналогично понятию материальной точки в механике.

Открытие закона взаимодействия электрических зарядов в настоящее время приписывается Ш. Кулону (1795 г), хотя ранее он был открыт Г. Кавендышем, но более 100 лет его работы не были опубликованы.

Этот закон Кулон установил с помощью крутильных весов (Савельев И.В. Курс физики 1989 г., т.2 стр. 11):

Сила взаимодействия 2-х точечных неподвижных зарядов в вакууме прямо пропорциональна произведению модулей зарядов и обратно пропорциональна квадрату расстояния между ними.

Эту силу называют Кулоновской. Математически:

,

где k  коэффициент пропорциональности зависит от системы единиц измерения (взаимодействие единичных зарядов на расстоянии равном единице длины).

Направление силы совпадает с соединяющей заряды прямой, т.е. она является центральной силой.

(q1 > 0 q2 > 0)

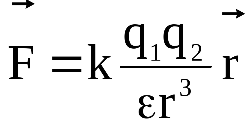
В векторной форме для вакуума (в воздухе) закон Кулона записывается:

.

Сила F0  действия на заряд, к которому обращён вектор , проведённый от одного заряда к другому (действие со стороны q1 на q2).

В однородной среде

,

где ε – безразмерная величина относительной диэлектрической проницаемости среды.

Физический смысл: ε – показывает во сколько раз сила F взаимодействия между зарядами в данной среде меньше их силы F0 взаимодействия в вакууме:

.

Для вакуума ε = 1.

В системе СИ: k = 1/4πε0, где ε0 – электрическая постоянная, не имеющая физического смысла, ε0 = 8,8510-12 Ф/м.

Тогда в скалярной форме

или векторный вид

.

Для расчётов используют значение k = 1/4πε0 = 9109 м/Ф.

ИТАК: с помощью закона Кулона можно определить силы взаимодействия точечных зарядов.

Любые протяженные заряды можно разбить на точечные, введя понятие плотности заряда.

Плотность электрического заряда – функция, которая показывает как заряд распространен пространстве.

1. линейной –  = q/l;

2. поверхностной   = q/S;

3. объёмной  ρ = q/V.

ЭЛЕКТРИЧЕСКОЕ ПОЛЕ.

НАПРЯЖЕННОСТЬ ЭЛЕКТРИЧЕСКОГО ПОЛЯ

ТОЧЕЧНОГО ЗАРЯДА.

С помощью закона Кулона мы можем определить силу взаимодействия зарядов, но возникает вопрос, как осуществляется это взаимодействие?

Согласно идее Фарадея, электрические заряды не действуют друг на друга непосредственно. Каждый из них создаёт в окружающем пространстве силовое электрическое поле. Поле одного заряда действует на другой заряд и наоборот. По мере удаления от заряда поле ослабевает.

Это поле материально: оно существует независимо от нас, это вид материи. На основании его свойств мы можем судить о его существовании.

Главное свойство электрического поля  действие его на электрические заряды с некоторой силой. Электрическое поле неподвижных зарядов называют электростатическим полем.

Электростатическое поле обнаруживается по силам, действующим на заряд.

Если поочерёдно помещать в одну и ту же точку поля разные пробные заряды q0 (не искажающие основное поле) и измерять силы, (или же один и тот же заряд помещать в разные точки поля), то обнаружится, что сила, действующая на заряд со стороны поля, прямо пропорциональна этому заряду (согласно закону Кулона):

.

Поэтому: отношение силы действующей на помещённый в данную точку поля заряд (пробный) к этому заряду для каждой точки поля не зависит от заряда и может рассматриваться как характеристика поля.

Эту характеристику называют напряженностью электрического поля в данной точке. Это силовая характеристика поля является векторной величиной:

.

Напряженность поля равна отношению силы, с которой поле действует на точечный (пробный) заряд к этому заряду. Направление вектора совпадает с направлением силы F, действующей на положительный заряд. Вектор направлен по радиусу от заряда,  если q > 0 и по радиусу к заряду,  если q < 0.

Размерность [E] = 1 H/Кл =1 В/м.

Графически электрическое поле удобно изображать с помощью силовых линий. Представления о распределении поля можно получить, если нарисовать непрерывные линии, касательные к которым в каждой точке, через которую они проходят, совпадают с вектором .

Эти линии называют силовыми линиями электрического поля или линиями напряжённости. Они не существуют реально, а лишь помогают наглядно представить распределение поля в пространстве. (Как параллели и меридианы на земном шаре).

Силовые линии строятся следующим образом:

1. Вектор в каждой точке пространства касательный к силовой линии;

2. Плотность силовых линий равна модулю вектора .

Для точечного заряда q находящегося в вакууме напряжённость электрического поля определяется следующим образом.

Так как по закону Кулона заряд q будет действовать на другой заряд q0 с силой:

,

то модуль напряжённости точечного заряда q на расстоянии r будет равен:

.

ПРИНЦИП СУПЕРПОЗИЦИИ. РАСЧЁТ ЭЛЕКТРИЧЕСКОГО ПОЛЯ.

Если на тело действует несколько сил, то по законам механики результирующая сила равна геометрической сумме сил:

.

Аналогичная ситуация и в случае электрических сил. Очевидно, что можно геометрически складывать , т.к. .

В этом заключается принцип суперпозиции электрических полей:

Если в данной точке пространства различные заряженные частицы создают электрические поля, напряженности которых , и т.д., то результирующая напряжённость равна их геометрической сумме.

На основании принципа независимости (суперпозиции) полей созданных системой зарядов записывают:

,

что позволяет рассчитывать электрические поля любой системы зарядов.

Электрическое поле, напряженность которого одинакова во всех точках, называется однородным.

Силовые линии не замкнуты, они начинаются на положительных зарядах и оканчиваются на отрицательных. Линии непрерывны и не пересекаются, по густоте силовых линий можно судить о величине электрического поля.

СУММИРУЕМ:

Свойства линий напряжённости

  • непрерывны;

  • нигде не пересекаются;

  • густота силовых линий должна быть пропорциональна (или равна) значению напряженности поля в данной точке пространства;

  • линии начинаются на положительных зарядах (или бесконечности), а заканчиваются на отрицательных зарядах (или бесконечности)

6