Материал: Khimia_45-46_Kv

Внимание! Если размещение файла нарушает Ваши авторские права, то обязательно сообщите нам

51.Законы Рауля. Особенность растворов: давление пара растворителя над раствором ниже, чем над чистым растворителем. Первый закон. Давление пара растворителя над раствором пропорционально мольной доле растворителя в растворе или относительное понижение давления пара растворителя над раствором равно мольной доли растворенного вещества. Введем обозначения: давление пара растворителя над чистым растворителем; давление пара растворителя над раствором; абсолютное понижение давления; относительное понижение давления. Если система полностью подчиняется закону, на графике наблюдаются прямолинейные зависимости. Однако в реальных системах наблюдаются отклонения. Температура замерзания раствора ниже температуры замерзания чистого растворителя, а температура кипения – выше. Второй закон. Повышение температуры кипения раствора и понижение температуры его замерзания пропорциональны моляльной концентрации раствора. К – константа, характеризующая растворитель. не зависит от природы вещества, а определяется природой растворителя и моляльностью, т.е. числом растворенных молекул в определенном количестве растворителя. С помощью законов Рауля можно определять неизвестные молекулярные массы растворенных веществ.

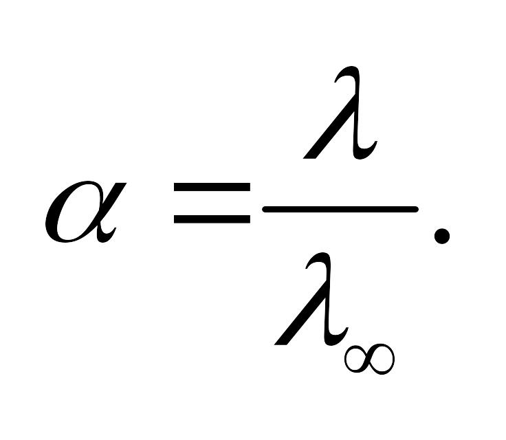
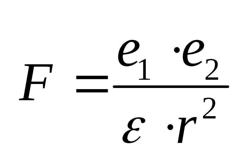
52.Электролитическая диссоциация. Степень диссоциации. Слабые электролиты. Электролиты – вещества, которые в растворе или расплаве состоят полностью или частично из ионов. Они не подчиняются законам Рауля: их растворы замерзают при более низких температурах, а кипят при более высоких температурах, чем растворы неэлектролитов той же моляльной концентрации. Электролитическая диссоциация. Теорию ЭД предложил шведский ученый Аррениус. «Электролиты, растворяясь в воде, распадаются на ионы (заряженные частицы). При этом каждый ион ведет себя как самостоятельная частица. В результате диссоциации концентрация увеличивается (число частиц в единице объема).»Академик Каблуков дополнил теорию ЭД: «основная причина диссоциации на ионы – взаимодействие с полярными молекулами воды». Согласно закону Кулона, сила притяжения между зарядами показывает, во сколько раз сила в данной среде меньше, чем в вакууме. Об ионизирующей способности растворителей судят по их диэлектрической проницаемости: чем она выше, тем энергичнее протекает процесс ЭД. Кроме воды, электролиты диссоциируют в По способности диссоциации электролиты делятся на слабые и сильные. Сильные диссоциируют полностью – процесс необратим. Процесс диссоциации слабых обратим (в растворах содержатся как ионы, так и недиссоциированные молекулы). Степень диссоциации - доля растворенного электролита, распавшегося на ионы. Для сильных - для слабых На практике СД определяют путем измерения электропроводимости раствора. Различают удельную электропроводимость и эквивалентную повышается с увеличением разбавления до некоторой предельной величины, когда все молекулы распадаются на ионы При этом предельное значение эквивалентной электропроводимости – электропроводимость при бесконечном разбавлении - Для слабых электролитов выполняется

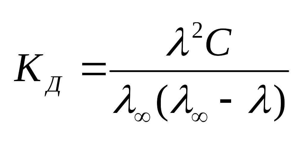
52(2).Константа диссоциации. Закон разведения Оствальда. Электролитическая диссоциация. Теорию ЭД предложил шведский ученый Аррениус. «Электролиты, растворяясь в воде, распадаются на ионы (заряженные частицы). При этом каждый ион ведет себя как самостоятельная частица. В результате диссоциации концентрация увеличивается (число частиц в единице объема).»Академик Каблуков дополнил теорию ЭД: «основная причина диссоциации на ионы – взаимодействие с полярными молекулами воды». Согласно закону Кулона, сила притяжения между зарядами показывает, во сколько раз сила в данной среде меньше, чем в вакууме. Об ионизирующей способности растворителей судят по их диэлектрической проницаемости: чем она выше, тем энергичнее протекает процесс ЭД. Кроме воды, электролиты диссоциируют в Константа диссоциации в случае разбавленного электролита: A2B=2A+B2 См – концентрация недиссоциированных молекул. При стандартных условиях Константа диссоциации в одном и том же растворителе при постоянной температуре – величина постоянная, она свойственна данному электролиту. Степень диссоциации характеризует состояние электролита в растворе данной концентрации и меняется с изменением ее. При повышении концентрации раствора уменьшается. Закон разведения Оствальда. С разбавлением раствора степень диссоциации его увеличивается. Выражает зависимость между Также можно установить связь и между Сильные электролиты: почти все соли, большинство кислот и гидроксиды металлов. Электролиты средней силы: Слабые электролиты: почти все органические кислоты, вода.