Объем грунта в выемке определяется по формуле в соответствии с рис. 2.3:
(2.3)
где а – ширина выемки по дну, 12,0 м;
Вв – ширина раскрытия выемки, м;
Нв – глубина выемки, 3,6 м;
– длина выемки,

(2.4)



Рисунок 2.3 – Поперечный разрез выемки
При разработке выемки грунт не срезается до проектной отметки скрепером на 5 см, бульдозером на 10 см.
Объем недобора грунта скрепером и бульдозером определяется по формуле
(2.5)
где а – ширина выемки по дну, а = 12,0 м;
b – толщина слоя недобора грунта, b = 0,05 и 0,10 м;


Объем скреперных и бульдозерных работ можно определить по формулам
(2.6)
(2.7)


Объем грунта в кюветах определяется следующим образом (рис.2.4):
(2.8)
Объем кюветов 1-й и 2-й группы грунта по
50 % = 8517,6/2 = 4258,80


Рисунок 2.4 – Поперечный разрез кювета
Общий объем выемки:
(2.9)

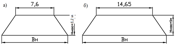
Определение объема грунта в насыпи показано на рис. 2.5.
Общий объем грунта в насыпи определяется по формуле
(2.10)
где
- объем грунта насыпи на главных путях,

– объем грунта насыпи на станционных
путях,
.

Рисунок 2.5 – Поперечный разрез насыпи:
а – на главных путях; б – на станционных путях.
Расчет объемов грунта насыпи на главных и станционных путях производится аналогично определению объема выемки:
(2.11)
где а – ширина насыпи поверху, н аглавном пути – 7,6 м, на станционных путя 14,65 м;
Вн – ширина насыпи понизу, м;
Нн – высота насыпи на главном пути – 3,9 м, на станционных путях – 1 м;
- длина насыпи, на главном пути – 10140 м,
на станционных путях – 2200 м;



Объем экскаваторных работ определяется по формуле
(2.12)
где
- объем грунта выемки с учетом кюветов,
;

Вес перевозимого грунта определяется по формуле
(2.13)
где
– удельный вес грунта, 1-я группа = 1,6
т/м3; 2-я группа = 1,7 т/м3;

Объем водоотводных канав определяется по формуле
(2.14)
где 1400 – объем канав на 1 км трассы;

Средняя высота откосов определяется по формуле
, (2.15)
где
,
- высота насыпи и глубина выемки, м;

Длина откосов определяется по рис. 2.6.

Рисунок 2.6 – Схема к определению длины откосов
Площадь укрепления откосов определяется по формуле:
(2.16)
где
- длина откоса, м;
(2.17)


На этой площади производится посев многолетних трав. Из них 10 % (0,1·219336 = 21933,6 м2) высаживаются вручную, 20 % (0,2·219336 = 43867,2 м2) механизированным способом, 70 % (0,7·219336 = 153535,2 м2) – гидропосев.
Расчет объема балластной призмы производится аналогично определению объема насыпи (рис. 2.7):
(2.19)
где а – ширина балластной призмы поверху, на главному пути – 3,65 м, на станционных путях – 11,7 м;
– ширина балластной призмы понизу, м;
– высота балластной призмы, на главном
пути – 0,60 м, на станционных путях – 0,55
м;
- длина главного пути – 15000 м, станционных
путей – 2100 ;


.

Рисунок 2.7 – Поперечный разрез насыпи
Локальная смета на производство подготовительных работ составляется на основании ФЕР-2001, сборник № 1 «Земляные работы». Расчет локальной сметы приведен в Приложении 1.
Локальная смета на работу по устройству земляного полотна на главном и станционных путях составляется на основании ФЕР-2001 сборник № 1 «Земляные работы».
Стоимость перевозки грунта автомобилями-самосвалами определяется по ФССЦ 81-2001 «Федеральный сборник сметных цен на перевозки грузов для строительства», часть 1 «Автомобильные перевозки».
Расчет локальной сметы «Возведение земляного полотна» приведен в Приложении 2.
Локальная смета на работу по устройству верхнего строения пути на главных и станционных путях составляется по ФЕР-2001 сборник Nя 28 «Железные дороги». Расчет локальной сметы «Возведение верхнего строения пути» приведен в Приложении 3.
В смете суммируются данные из локальных смет, с группировкой затрат по соответствующим графам сметной стоимости «строительных работ», «монтажных работ», «оборудования, мебели и инвентаря», «прочих работ», с последующим добавлением лимитированных и прочих затрат.
Расчет объектной сметы приведен в Приложении 4.
Расчет затрат по главам 1, 3, 5, 6, 7, 8 и 9 сводного сметного расчета приведен в Приложении 5.
Приложение 1
ЛОКАЛЬНАЯ СМЕТА №1 на «Подготовительные работы»
Железнодорожная линия
Сметная стоимость 75423,228 тыс. руб.
Средства на оплату труда 20076,296 тыс. руб.
Составлена в текущих ценах по состоянию на сентябрь 2015 г.
|
№ п/п |
Шифр и номер позиции норматива |
Наименование работ и затрат |
Количество и единицы измерения |
Стоимость единицы, руб |
Общая стоимость, руб |
Затраты труда рабочих чел-ч на занятых обслуживанием машин |
|||||||||||||||
|
всего |
эксплуатации машин |
всего |
оплата труда |
эксплуатации машин |
|
||||||||||||||||
|
оплаты труда |
в т. ч. оплата труда машинистов |
в т.ч. оплаты труда машинистов |
на единицу |
всего |
|||||||||||||||||
|
1 |
2 |
3 |
4 |
5 |
6 |
7 |
8 |
9 |
10 |
11 |
|||||||||||
|
1 |
01-02-99-2 |
Валка деревьев мягких пород с корня, диаметр стволов: до 20 см |
100 деревьев |
1652,82 |
75,24 |
13,89 |
124358,18 |
101400,51 |
22957,67 |
6,52 |
10776,39 |
||||||||||
|
61,35 |
- |
- |
|||||||||||||||||||
|
2 |
01-02-99-8 |
Валка деревьев твердых пород и лиственницы с корня, диаметр стволов: до 20 см |
100 деревьев |
889,98 |
82,27 |
16,77 |
73218,65 |
58293,69 |
14924,96 |
7,92 |
7048,64 |
||||||||||
|
65,50 |
- |
- |
|||||||||||||||||||
|
3 |
01-02-100-4 |
Трелевка древесины на расстояние до 300 м тракторами мощностью: 79 (108) кВт (л.с.), диаметр стволов до 20 см
|
100 хлыстов деревьев |
2542,80 |
392,85 |
337,39 |
998938,98 |
141023,69 |
857915,29 |
7,11 |
18079,31 |
||||||||||
|
55,46 |
42,95 |
109213,26 |
|||||||||||||||||||
|
1 |
2 |
3 |
4 |
5 |
6 |
7 |
8 |
9 |
10 |
11 |
|||||||||||
|
4 |
01-02-102-2 |
Устройство разделочных площадок, диаметр стволов: до 20 см |
100 деревьев |
2542,80 |
126,89 |
97,99 |
322655,89 |
67053,64 |
249168,97 |
3,26 |
8289,53 |
||||||||||
|
26,37 |
1,48 |
3763,34 |
|||||||||||||||||||
|
5 |
01-02-101-3 |
Разделка древесины мягких пород, полученной от валки леса, диаметр стволов: до 20 см |
100 деревьев |
1652,82 |
227,09 |
46,08 |
375338,89 |
299309,17 |
76161,94 |
21,60 |
35700,91 |
||||||||||
|
181,09 |
- |
- |
|||||||||||||||||||
|
6 |
01-02-101-10 |
Разделка древесины твердых пород и лиственницы, полученной от валки леса, диаметр стволов: до 20 см |
100 деревьев |
889,98 |
267,06 |
54,21 |
237678,06 |
189432,24 |
48245,82 |
25,40 |
22605,49 |
||||||||||
|
212,85 |
- |
- |
|||||||||||||||||||
|
7 |
01-02-105-1 |
Корчевка пней в грунтах естественного залегания корчевателями-собирателями на тракторе 79 (108) кВт (л.с.) с перемещением пней до 5 м, диаметр пней: до 24 см |
100 пней |
2542,80 |
216,92 |
216,92 |
551584,18 |
_ |
551584,18 |
_ |
_ |
||||||||||
|
_ |
25,82 |
65655,10 |
|||||||||||||||||||
|
8 |
01-02-110-1 |
Вывозка пней тракторными прицепами 2 т на расстояние до 100 м, диаметр деревьев: до 32 см |
100 пней |
2542,58 |
161,06 |
139,38 |
409543,37 |
55127,90 |
354415,46 |
2,78 |
7068,98 |
||||||||||
|
21,68 |
16,93 |
43049,60 |
|||||||||||||||||||
|
9 |
01-02-112-2 |
Срезка кустарника и мелколесья в грунтах естественного залегания кусторезами на тракторе 79 (108) кВт (л.с.), кустарник и мелколесье: средние
|
1 га |
156 |
168,27 |
168,27 |
26250,12 |
_ |
2650,12 |
_ |
_ |
||||||||||
|
_ |
22,01 |
3433,56 |
|||||||||||||||||||
|
1 |
2 |
3 |
4 |
5 |
6 |
7 |
8 |
9 |
10 |
11 |
|||||||||||
|
10 |
01-02-117-2
|
Сгребание срезанного или выкорчеванного кустарника и мелколесья корчевателями- собирателями на тракторе 79 (108) кВт (л.с.), с перемещением до 20 м, кустарник и мелколесье: средние |
1 га |
156 |
600,08 |
600,08 |
93612,48 |
_ |
93612,48 |
_ |
_ |
||||||||||
|
_ |
71,42 |
11141,52 |
|||||||||||||||||||
|
11 |
01-02-120-5 |
Сжигание с перетряхиванием валов из кустарников, мелколесья и корней корчевателями- собирателями на тракторе мощностью 59 (80) кВт (л.с.), кустарник и мелколесье: средние |
1 га |
156 |
766,38 |
122,68 |
119555,28 |
46792,20 |
19138,08 |
37,40 |
5834,40 |
||||||||||
|
299,95 |
14,60 |
2277,60 |
|||||||||||||||||||
|
Итого прямые затраты в базисном уровне цен |
руб |
|
_ |
_ |
3332734 |
958433 |
2290775 |
_ |
115404 |
||||||||||||
|
238534 |
|||||||||||||||||||||
|
Прямые затраты в текущих ценах на сентябрь 2015г.: З/плата рабочих-строителей 958433*20,947 |
руб |
|
|
|
20076296 |
20076296 |
|
|
|
||||||||||||
|
Эксплуатация машин и механизмов 2290775*11,186 |
руб |
|
|
|
25624609 |
|
25624609 |
|
|
||||||||||||
|
В т.ч. Заработная плата машинистов 238534*20,947 |
руб |
|
|
|
|
|
4996572 |
|
|
||||||||||||
|
Материалы, учтенные расценками (3332734-958433-2290775)*6,135 |
руб |
|
|
|
512432 |
|
|
|
|
||||||||||||
|
Средства на оплату труда рабочих - строителей и машинистов (ФОТ) |
руб |
|
|
|
25072868 |
|
|
|
|
||||||||||||
|
Итого прямые затраты в текущем уровне цен: |
руб |
|
|
|
46213337 |
20076296 |
25624609 |
|
115404 |
||||||||||||
|
4996572 |
|||||||||||||||||||||
|
Накладные расходы от ФОТ*0,85 |
руб |
90% |
|
|
19180744 |
|
|
|
|
||||||||||||
|
Сметные прибыль ФОТ*0,80 |
руб |
50% |
|
|
10029147 |
|
|
|
|
||||||||||||
|
Итого по локальной смете: |
руб |
|
|
|
75423228 |
20076296 |
25624609 |
|
115404 |
||||||||||||
|
4996572 |
|||||||||||||||||||||