Материал: FE34kIHFh8

Внимание! Если размещение файла нарушает Ваши авторские права, то обязательно сообщите нам

метров базового. В этом случае необходимо экспериментально измерить параметры БТ для модели Гуммеля – Пуна. Далее рассматриваются методы измерения параметров выпускаемого отечественной промышленностью транзистора П306. Измерения проводятся с помощью измерительной установки на основе универсального лабораторного стенда 87Л01 "Луч" (рис. 1.2), содержащего коммутационную плату, ряд измерительных приборов, генераторы напряжения ГН и тока ГТ.

При необходимости в качестве источников напряжения Ube и Uce ис-

пользовались стабилизированные блоки питания Б5-46 и Б5-50, а в качестве измерителей токов PA и напряжений PV универсальные электронные вольтметры В7-27. Для измерения малых токов использовался универсальный вольтметр-электрометр В7-30.

Ток насыщения IS. Для определения тока насыщения транзистора IS

необходимо получить зависимость lnIC от Ube = U. Схема для измере-

ния указанных характеристик приведена на рис. 1.3. Здесь PI – измери-

тель тока коллектора (В7-30), PV1 и PV2 – измерители напряжения Ube и

Uce соответственно (В7-27). В качестве источников напряжений Ube и Uce

использовались стабилизированные блоки питания Б5-46, позволяющие регулировать выходное напряжение с шагом 10 мВ. Зависимость lnIC от

Ube = Uприведена на рис. 1.4.

Рис. 1.3. Схема измерения IS

Рис. 1.4. Зависимость lnIC=f(Ube)

Зависимость тока коллектора от напряжения представляет собой экс-

поненциальную зависимость и, соответственно, линейную зависимость в логарифмических координатах. Поэтому ток насыщения транзистора определяется по точке пересечения касательной с вертикальной осью ко-

ординат: IS = exp(–27,59)=1,04 пА.

6

Коэффициенты передачи по току βF и βR определяются как отноше-

ние тока коллектора к току базы в прямом активном режиме и отношение

тока эмиттера к току базы в об-

 

ратном активном режиме. В моде-

 

ли Гуммеля – Пуна они вычисля-

 

ются по абсолютным значениям

 

токов базы и коллектора βF и базы

 

и эмиттера βR, а не по их прира-

 

щениям. Для этого используются

 

выходные характеристики, полу-

Рис. 1.5. Схема измерения выходных

 

ченные с помощью измерительной

характеристик транзистора.

схемы (рис. 1.5). Здесь ГТ – гене-

 

ратор тока из состава лабораторного стенда; PV1 и PV2 – измерители

напряжений Ube и Uce соответственно; PI1 и PI2 – измерители токов базы

Ib и коллектора IС соответственно.

Для получения выходных характеристик в активном инверсном режи-

ме работы транзистора использовалась та же схема, только выводы кол-

лектора и эмиттера менялись местами.

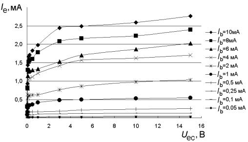
Рис. 1.6. Выходные характеристики транзистора

в нормальном активном режиме

7

Результаты измерений в нормальном активном режиме приведены на рис. 1.6, для инверсного активного режима – на рис. 1.7. График зависи-

мости для βF строится из рис. 1.6 для заданного напряжения коллектора

Uce =10 В, соответствующего выбранной рабочей области работы бипо-

лярного транзистора. Для βR график строится аналогично из рис. 1.7 при

Uec =10 В. Выбираются максимальные значения βF и βR. Таким образом,

βF =11,8 и βR =0,527.

Рис. 1.7. Выходные характеристики транзистора

в инверсном активном режиме

Коэффициенты неидеальности переходов в нормальном и инверсном режимах NF и NR. Для нормального режима коэффициент неидеальности

NF определяет отличие наклона зависимости lnIC lnIbe1=f(Ube) от величи-

ны 1/UT. Следовательно, он может быть определён с помощью рис. 1.4 из соотношения ·∆lnIC /∆Ube = NF /UT. Отсюда коэффициент неидеальности

NF =·∆Ube/ (UT∆lnIC). В данном случае NF =0,927. Чтобы получить анало-

гичные зависимости для инверсного режима, т. е. lnIe=f(Ubc), поменяем местами коллекторный и эмиттерный выводы. Используем для определе-

ния NR выражение, аналогичное выражению для определения NF:

NR= Ubc / (UT∆lnIe) =0,966.

Напряжение Эрли (UA) в нормальном активном режиме работы тран-

8

зистора определяется построением касательных к ветвям выходных ха-

рактеристик в области их насыщения. График, иллюстрирующий опреде-

ление напряжения Эрли, приведён на рис. 1.8. Здесь показаны только две из пятнадцати ветвей выходных характеристик, чтобы не загружать гра-

фик (для Ib=10 мА и Ib=0,5 мА), и касательные к ним, построенные по наклону выходных характеристик в области Uce = 5…10 B. Пересечение касательных происходит при напряжении примерно –218 В. Следователь-

но, напряжение Эрли в нормальном активном режиме составляет

UAF = 218 В. Такое его значение говорит о том, что эффект модуляции ширины базы выражен очень слабо и возможная погрешность в опреде-

лении напряжения Эрли не окажет существенного влияния на точность моделирования.

Рис. 1.8. Определение напряжения Эрли по выходным характеристикам

Аналогично может быть получено напряжение Эрли в инверсном ре-

жиме работы. Оно составляет UAR =150 В.

Токи начала спада зависимости β (IKF, IKR). В компьютерных програм-

мах, использующих модель Гуммеля – Пуна, зависимость β от тока кол-

лектора (или эмиттера) представляется в виде трёх отрезков прямых, мо-

делирующих зависимость β в областях малых, средних и больших токов.

9

Для корректной работы программы необходимо задать значение β в обла-

сти средних токов (определены ранее) и точку перехода от горизонталь-

ного отрезка зависимости для средних токов к наклонному для больших.

Данные токи, обозначаемые IKF (forward beta roll–off corner current) или IKR

(reverse beta roll–off corner current), могут быть определены из зависимо-

стей lnβF от lnIC или lnβR от lnIe соответственно. Эта зависимость, полу-

ченная из графика для βF, приведена на рис. 1.9. Находим точки пересе-

чения касательной 2 с прямой βF=const и определяем IKF = exp(5,05)=156

мА, IKR= exp(0,2)=1,22 мА.

Рис. 1.9. Определение тока IKF перехода в режим больших токов

Коэффициенты неидеальности эмиттерного и коллекторного переходов

(NE и NC). Здесь NE это base–emitter leakage emission coefficient и NC base– collector leakage emission coefficient , соответственно. Определяется NE по наклону зависимости lnβF от lnIC в области малых токов. Данная зависимость приведена на рис. 1.9. Здесь NE определяется с помощью касательной 1. То-

гда можно определить значение NE из соотношения ∆lnβF/∆lnIC=1–1/NE. Отсюда

NE=∆lnIC /(∆lnIC–lnβF)=1,40. NC определим аналогично из зависимости lnβR от lnIe. В этом случае NC =∆lnIe/ (∆lnIe – – ∆lnβR)= 1,29.

10