Материал: 979

Внимание! Если размещение файла нарушает Ваши авторские права, то обязательно сообщите нам

Министерство образования и науки Российской Федерации Федеральное государственное бюджетное образовательное учреждение высшего образования

«Воронежский государственный лесотехнический университет имени Г.Ф. Морозова»

ФИЗИЧЕСКИЕ ОСНОВЫ ФОРМИРОВАНИЯ ЗАЩИТНО-ДЕКОРАТИВНЫХ ПОКРЫТИЙ НА ДРЕВЕСИНЕ И

ДРЕВЕСНЫХ МАТЕРИАЛАХ

Методические указания к лабораторным работам для студентов по направлению подготовки 35.04.02 Технология лесозаготовительных и

деревоперерабатывающих производств

Воронеж 2018

УДК 674.07

Ищенко Т.Л. Физические основы формирования защитнодекоративных покрытий на древесине и древесных материала [Электронный ресурс]: методические указания к лабораторным работам для студентов по направлению подготовки 35.04.02 Технология лесозаготовительных и деревоперерабатывающих производств / Т.Л. Ищенко; М-во образования и науки РФ, ФГБОУ ВО «ВГЛТУ». – Воронеж, 2018. – 12 с.

Печатается по решению учебно-методического совета ФГБОУ ВО «ВГЛТУ» (протокол № …. от …………….. 2018 г.)

Рецензент к.т.н., начальник конструкторского отдела ООО ХК «Мебель Черноземья» (г. Воронеж) И.М. Чеботарева

2

ВВЕДЕНИЕ

В современном производстве защитно-декоративных покрытий для отделки древесины применяют разнообразные лакокрасочные нитроцеллюлозные, мочевиноформальдегидные, полиэфирные, полиуретановые, листовые и пленочные материалы, используют новейшие способы создания, сушки и облагораживания покрытий.

Изделия, прошедшие отделку, могут эксплуатироваться в различных условиях: в закрытых отапливаемых помещениях (мебель), в условиях открытой атмосферы (окна, двери, садовая мебель, спортивный инвентарь), в среде, насыщенной парами растворителей и других реагентов (лабораторная мебель) и т. д. В соответствии с этим, к изделиям предъявляется комплекс специфических требований, в частности по атмосферо-, водо-, термостойкости, стойкости к химическим реагентам, твердости, прочности, эластичности, адгезии, цвету, блеску и т. п. Отсюда вытекают и соответствующие требования к лакокрасочным материалам, которые должны обеспечить получение покрытий с заданными свойствами.

Настоящие методические указания содержат методы испытаний отделочных материалов и покрытий.

Целесообразность указанных испытаний обусловлена тем, что на предприятиях, осуществляющих отделочные работы, в обязательном порядке организуется входной контроль лакокрасочных материалов, технологический контроль на всех этапах производственного процесса, приемочный контроль готовых деталей и изделий в соответствии с требованиями ОТС 13-27-82 «Покрытия защитно-декоративные на мебель из древесины и древесных материалов».

3

ЛАБОРАТОРНАЯ ЧАСТЬ

ИСПЫТАНИЯ ЗАЩИТНО-ДЕКОРАТИВНЫХ ПОКРЫТИЙ

Показатели оценки качества покрытий, под которым понимают совокупность свойств лакокрасочной пленки, обуславливающих её пригодность удовлетворять определенные потребности, в соответствии с назначением, в целом, рассматриваются в двух аспектах: функциональном и эстетическом.

Под функциональной стороной качества отделки подразумевается степень соответствия свойств покрытия требованиям условий эксплуатации. Испытания лакокрасочных покрытий проводятся для выявления соответствия свойств полученных пленок требованиям, которые устанавливаются действующими стандартами и ТУ на конкретный вид покрытий. Основными показателями, отражающими функциональную сторону качества покрытий, являются толщина, твердость, прочность на изгиб и удар, адгезия к подложке, внутреннее напряжение, тепло-, морозо-, водо-, светостойкость и стойкость к действию химических реагентов.

Эстетический аспект выражает композиционное решение отделки изделий и выступает как показатель качества, отражающий внешние признаки покрытий: цвет, фактуру, степень блеска или матовость, прозрачность или непрозрачность, общую выразительность.

Характерным для лакокрасочных покрытий является постепенное, с течением времени, повышение их хрупкости, приводящее к растрескиванию и порче, поэтому все определения свойств покрытий носят условный характер. По этой же причине в ТУ на лакокрасочный материал оговаривают и сроки проведения испытания.

1. Определение теплостойкости лакокрасочных покрытий

Теплостойкостью лакокрасочных покрытий называют их способность не разрушаться и не менять внешнего вида под действием повышенных температур. Для покрытий на древесине наибольший интерес представляет теплостойкость при контакте с нагретым телом.

Аппаратура и материалы

4

Используют образец с лакокрасочным покрытием, стакан с горячей водой.

Проведение испытания На испытуемый образец накладывают тонкий ватный тампон диаметром 78

см и ставят на него стакан с водой, температура которой 60 °C , на15 мин. Если после снятия стакана на покрытии не остается прилипших волокон, теплостойкость считается удовлетворительной.

2. Определение влагопоглощения лакокрасочных покрытий

Метод определения влагопоглощения основан на способности пленки сорбировать воду. Влагопоглощение оценивается4 количеством воды, сорбированной пленкой при заданной температуре (выражается в процентах), или массой сорбированной воды, отнесенной к массе пленки.

Аппаратура и материалы Образцы, окрашенные с обеих сторон испытуемым лакокрасочным

материалом; бюкс с герметически закрывающейся крышкой; электрические весы с точностью 0,001 г; дистиллированная вода; фильтровальная бумага.

Проведение испытания

Образец полностью погружается в дистиллированную воду при 20-25 °C. Затем через заданные промежутки времени образец вынимают из воды, просушивают фильтровальной бумагой и тотчас помещают в бюкс с герметически закрывающейся крышкой, предварительно взвешенной на весах. Бюкс с образцом взвешивают с той же точностью. Операцию извлечения образца из воды и взвешивания вместе с бюксом повторяют до пор, пока при двух последних взвешиваниях не будет достигнут одинаковый привес пленки.

Обработка результатов

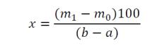
Влагопоглощение x (%) рассчитывается по формуле:

где m1 – масса бюкса с образцом после выдержки в воде,

5