Материал: 7

Внимание! Если размещение файла нарушает Ваши авторские права, то обязательно сообщите нам

Статистичнi ряди

Iмовiрнiснi

основи

обробки

даних

Ющенко Ольга Володимирiвна

Статистичнi

ряди

Гiстограма та полiгон частот

Квантилi

Ящик з вусами

Графiк

Q − Q

З таблицi видно, що дана вибiрка має одну iзольовану точку

xmin = −3,32

вiддалену вiд групи iнших експериментальних точок. У такому випадку можна вважати цю iзольовану точку аномальним спостереженням, грубою помилкою

вимiрювання i видалити ¨ı¨ı з вибiрки. тодi обсяг вибiрки зменшиться i дорiвнюватиме n = 99. Змiнюється також i вибiрковi характеристики

Статистичнi ряди

Iмовiрнiснi

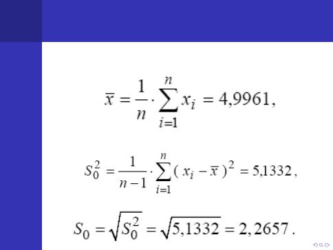
основи За вбудованими функцiями EXEL n = 100

обробки

даних

Ющенко Ольга Володимирiвна

Статистичнi

ряди

Гiстограма та полiгон частот

Квантилi

Ящик з вусами

Графiк

Q − Q

Статистичнi ряди

Iмовiрнiснi

основи За вбудованими функцiями EXEL n = 100

обробки

даних

Ющенко Ольга Володимирiвна

Статистичнi

ряди

Гiстограма та полiгон частот

Квантилi

Ящик з вусами

Графiк

Q − Q

Статистичнi ряди

Iмовiрнiснi

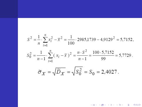
основи За вбудованими функцiями EXEL n = 99

обробки

даних

Ющенко Ольга Володимирiвна

Статистичнi

ряди

Гiстограма та полiгон частот

Квантилi

Ящик з вусами

Графiк

Q − Q

Статистичнi ряди

Iмовiрнiснi

основи

обробки

даних

Ющенко Ольга Володимирiвна

Статистичнi

ряди

Гiстограма та полiгон частот

Квантилi

Ящик з вусами

Графiк

Q − Q

Перевiрка гiпотези про аномальнiсть спостереження проводиться наступним чином:

значення визнається аномальним i викидається з вибiрки обсягу n, якщо воно не вiдповiдає для дано¨ı довiрчо¨ı ймовiрностi або заданiй квантилi.