Материал: 4708

Внимание! Если размещение файла нарушает Ваши авторские права, то обязательно сообщите нам

11

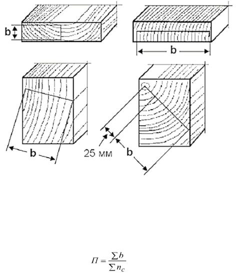
Рис. 5. Измерение прироста на торце пиломатериалов

Значение прироста определяют делением суммы длин отрезков на двух

торцах на общее число годичных слоев (10),, шт. Результат округляется до

0,1 мм.

, мм

(10)

У этих же образцов древесины определяется содержание поздней зоны древесины m, как частное от деления суммарной длины поздней зоны древесины на длину измеряемого отрезка b (11).

•100%, (11)

где – длина поздней зоны древесины в каждом годичном слое, мм, измеряемая с погрешностью не более 0,1 мм.

Приборы и инструменты

Штангенциркуль с погрешностью измерения не более 0,1 мм. Металлическая линейка с погрешностью измерения не более 0,5 мм. Транспортир с погрешностью измерения не более 1 град. Увеличительная лупа с точностью измерения до 0,1 мм.

Влагомер с погрешностью не более 0,1 %.

Весы электронные с погрешностью измерения не более 0,01 г.

12

Методика выполнения работы

Для проведения лабораторной работы используют кондиционированные при температуре (20 ± 2) °С и относительной влажности воздуха (65 ± 5) % образцы древесины двух пород. Образцы изготавливают в форме прямоугольных параллелепипедов с основанием 20x20 мм и длиной вдоль волокон от 10 до 20 мм. Допускается проводить исследование на образцах, предназначенных для других видов испытаний, при наличии плоскости поперечного разреза размером не менее 20 мм в радиальном направлении.

Кроме показателей прироста у образцов определяется плотность (весовым методом) и влажность (влагомером) древесины, по методике, приведенной в лаб. работе № 1. Данные измерений заносятся в табл. 4.

Результаты исследований по содержанию поздней древесины обрабатывают методами математической статистики. По полученным данным строят зависимости вида (рис. 2-3). Далее на основе сравнения полученных результатов со средними данными о плотности древесины Ленинградской области делают выводы.

Таблица 4

Форма представления экспериментальных данных Порода древесины________________

 

 

 

 

 

Суммар-

Количе-

 

 

 

 

Плотность

 

 

ное коли-

 

Содер-

 

 

 

Суммар-

ство го-

 

 

Вид пило-

при

Влаж-

че-ство

Прирост

жание

ная дли-

дичных

мате-

12 %

ность,

го-

древе-

поздней

и/и

на отрез-

слоев в

риала

влажности,

%

дичных

сины, мм

древеси-

 

ков, мм

1 см,

 

 

кг/м3

 

слоев,

 

ны, %

 

 

 

 

шт.

 

 

 

 

 

 

шт.

 

 

 

 

 

 

 

 

 

 

 

 

 

 

 

 

 

 

 

1

1

2

3

4

5

6

7

8

 

 

 

 

 

 

 

 

 

1

 

 

 

 

 

 

 

 

 

 

 

 

 

 

 

 

 

2

 

 

 

 

 

 

 

 

 

 

 

 

 

 

 

 

 

 

 

 

 

 

 

 

 

 

 

 

 

 

 

 

 

 

п

 

 

 

 

 

 

 

 

 

 

 

 

 

 

 

 

 

X

 

 

 

 

 

 

 

 

 

 

 

 

 

 

 

 

 

S

 

 

 

 

 

 

 

 

 

 

 

 

 

 

 

 

 

V

 

 

 

 

 

 

 

 

 

 

 

 

 

 

 

 

 

13

Контрольные вопросы:

1.Различия в свойствах ранней и поздней древесины.

2.Прирост древесины. Основные факторы, оказывающие влияние на ширину годичных слоев древесины.

3.Методы оценки содержания поздней зоны древесины.

4.Вариативность ширины годичного слоя в зависимости от региона произрастания.

5.Взаимосвязь между шириной поздней древесины и ее плотностью.

6.Равнослойность древесины.

7.Влияние плотности древесины на ее прочность.

ЛАБОРАТОРНАЯ РАБОТА № 3

ИССЛЕДОВАНИЕ РАСПРЕДЕЛЕНИЯ СУЧКОВ В ПИЛОВОЧНЫХ БРЕВНАХ И ИХ ВЛИЯНИЕ НА ОРИЕНТИРОВАНИЕ БРЕВЕН

ПРИ РАСПИЛОВКЕ

Цель работы: выявление закономерности распределения сучков на поверхности круглых лесоматериалов хвойных и лиственных пород.

Последовательность выполнения работы

Получить бревна и измерительный инструмент (штангенциркуль, рулетку или метр), произвести осмотр и обмер бревен. Определить породу и место вырезки бревен из хлыста, диаметр бревен в верхнем и нижнем торце, их длину, сбег.

Произвести разметку бревен на несколько (например, пять) равных частей по длине и на четвертины по толщине. Части по длине пронумеровать, начиная от нижнего торца, четвертины слева направо.

Произвести замер количества сучков и их диаметра в каждой части бревна (табл. 5) и в каждой четвертине (табл. 6).

14

 

 

 

 

 

 

 

Таблица 5

 

 

Результаты замеров сучков по длине бревна

 

 

 

 

 

 

 

 

 

№ части

Количество сучков

Диаметры сучков, см

бревна от

 

 

 

 

 

 

штук

%

 

фактический

средний

нижнего торца

 

 

 

 

 

 

 

 

 

 

 

 

 

 

 

1

 

2

 

3

 

4

5

 

 

 

 

 

 

 

 

1

 

 

 

 

 

 

 

 

 

 

 

 

 

 

 

2

 

 

 

 

 

 

 

 

 

 

 

 

 

 

 

3

 

 

 

 

 

 

 

 

 

 

 

 

 

 

 

4

 

 

 

 

 

 

 

 

 

 

 

 

 

 

 

5

 

 

 

 

 

 

 

 

 

 

 

 

 

 

 

 

 

Общее количество

100 %

 

 

 

 

 

 

 

 

 

 

 

 

 

 

 

 

 

 

Таблица 6

 

 

Результаты замеров сучков в четвертинах

 

 

 

 

 

 

 

 

№ четвертины

 

Количество сучков

 

Диаметры сучков, см

 

 

 

 

 

 

 

 

штук

 

%

 

фактический

средний

 

 

 

 

 

 

 

 

 

 

 

 

1

 

2

 

3

 

4

5

 

 

 

 

 

 

 

 

1

 

 

 

 

 

 

 

 

 

 

 

 

 

 

 

2

 

 

 

 

 

 

 

 

 

 

 

 

 

 

 

3

 

 

 

 

 

 

 

 

 

 

 

 

 

 

 

4

 

 

 

 

 

 

 

 

 

 

 

 

 

 

 

 

 

Общее количество

 

100 %

 

 

 

 

 

 

 

 

 

 

 

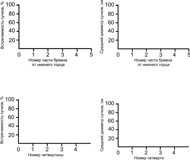
По результатам замеров построить циклограммы:

а) встречаемости (%) сучков по длине бревна (рис. 6); б) встречаемость сучков по среднему диаметру по длине бревна (рис. 7);

в) встречаемость (%) сучков по поверхности бревна в четвертинах (рис. 8);

г) встречаемость сучков по среднему диаметру (мм) по поверхности бревна в четвертинах (рис. 9).

15

Рис. 6.Гистограмма встречаемости

Рис. 7. Гистограмма распределения

сучков по длине бревна, %

сучков по среднему диаметру по длине бревна

Рис. 8. Гистограмма встречаемости

Рис. 9. Гистограмма размера среднего

сучков в четвертинах, %

диаметра сучков в четвертинах, мм

Провести анализ графических данных.

Сравнить полученные данные с литературными источниками и сделать соответствующие выводы.

Краткие теоретические сведения

Из большого числа пороков наибольшее влияние на качество сырья и вырабатываемой пилопродукции оказывают сучки. Сучок представляет собой часть ветви в теле ствола. Обобщенная схема расположения сучков внутри стволов древесины хвойных пород приведена на рис. 10. Из схемы видно, что зоны расположения сучков по длине ствола можно рассматривать при их про-