Материал: 4708

Внимание! Если размещение файла нарушает Ваши авторские права, то обязательно сообщите нам

1

МИНИСТЕРСТВО ОБРАЗОВАНИЯ И НАУКИ РОССИЙСКОЙ ФЕДЕРАЦИИ ФЕДЕРАЛЬНОЕ ГОСУДАРСТВЕННОЕ БЮДЖЕТНОЕ ОБРАЗОВАТЕЛЬНОЕ УЧРЕЖДЕНИЕ ВЫСШЕГО ОБРАЗОВАНИЯ

«ВОРОНЕЖСКИЙ ГОСУДАРСТВЕННЫЙ ЛЕСОТЕХНИЧЕСКИЙ УНИВЕРСИТЕТ ИМЕНИ Г.Ф. МОРОЗОВА»

ТЕОРЕТИЧЕСКИЕ ОСНОВЫ МЕТОДОВ РАСКРОЯ ДРЕВЕСНОГО СЫРЬЯ

Методические указания к лабораторным работам для студентов по направлению подготовки 35.04.02 – Технология лесозаготовительных

и деревоперерабатывающих производств

Воронеж 2015

2

УДК 674.093

Кантиева, Е. В. Теоретические основы методов раскроя древесного сырья [Текст] : методические указания к лабораторным работам для студентов по направлению подготовки 35.04.02 – Технология лесозаготовительных и деревоперерабатывающих производств / Е. В. Кантиева, А. А. Мещерякова ; М-во образования и науки РФ, ФГБОУ ВО «ВГЛТУ». – Воронеж, 2015. – 48 с.

Печатается по решению учебно-методического совета ФГБОУ ВО «ВГЛТУ» (протокол № 6 от 27 марта 2015 г.)

Рецензент канд. техн. наук, инженер-конструктор ОАО ХК «Мебель Черноземья» И.М. Чеботарева

Методические указания могут быть использованы при обучении слушателей по соответствующим программам дополнительного профессионального образования.

3

Оглавление

Лабораторная работа № 1.

Исследование влажности и плотности древесины и их изменчивость в стволе дерева……………………………………………………………………….4 Лабораторная работа № 2.

Исследование влияния размеров и структуры годичного слоя на плотность древесины……………………………………………………………………………8 Лабораторная работа № 3.

Исследование распределения сучков в пиловочных бревнах и их влияние на ориентирование бревен при распиловке………………………...……………13 Лабораторная работа № 4.

Исследование распределения сучков на пластях пиломатериалов и их влияние на раскрой досок на заготовки …………………………….....................18 Лабораторная работа № 5.

Оптимизация раскроя пиломатериалов на заготовки……………………………23 Библиографический список……………………………………….…………….…45 Приложения…………………………………………………………………………46

4

ЛАБОРАТОРНАЯ РАБОТА № 1

ИССЛЕДОВАНИЕ ВЛАЖНОСТИ И ПЛОТНОСТИ ДРЕВЕСИНЫ И ИХ ИЗМЕНЧИВОСТИ В СТВОЛЕ ДЕРЕВА

Цель работы: Определение влажности и плотности древесины в различных частях ствола дерева.

Задачи:

1.Определение влажности древесины контрольным сушильно-весовым методом.

2.Определение плотности ядровой древесины.

3.Определение плотности заболонной древесины.

4.Расчет плотности древесины при заданной влажности.

Приборы, оборудование

Штангенциркуль с погрешностью измерения не более 0,1 мм. Весы электронные с погрешностью не более 0,01 г. Влагомер с погрешностью не более 0,1 %.

Сушильный шкаф, обеспечивающий температуру (103±2) °С.

Методика выполнения работы

Для выполнения лабораторной работы используют образцы древесины, в форме прямоугольного параллелепипеда сечением 20x20 мм и длиной вдоль волокон 30 мм двух пород, полученные из ядровой (спелодревесной) и заболонной части в различных по высоте частях ствола дерева.

На основе знаний, приобретенных при изучении курса «Древесиноведение с основами лесного товароведения» по внешним признакам определяют породу древесины.

У образов штангенциркулем измеряют линейные размеры и вычисляют объем. На весах определяют массу с точностью до 0,01 г. Данные измерений заносят в табл. 1. Влажность образцов в момент испытания определяют влагомером и контрольным сушильно-весовым методом. По второму методу, образцы размещают в бюксах с притертыми крышками и помещают в сушильный шкаф. Там высушивают до абсолютно сухого состояния при температуре (103 ± 2) °С в соответствии с методикой /4-5/.

5

Плотность при текущей влажности, в абсолютно сухом состоянии, базисную плотность, а также плотность при 12 % влажности определяют по формулам (1-6). Результат вычисляют и округляют до 5 кг/м3 (0,005 г/см3).

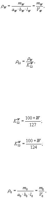
Плотность (ρW) каждого образца при влажности W в момент испытания вычисляют в килограммах на кубический метр или в граммах на кубический сантиметр по формуле

(1)

где mW – масса образца при влажности W, кг (г);

aW, bW, lW – размеры образца при влажности W, м (см); VW – объем образца при влажности W, м3 (см3).

Плотность каждого образца с влажностью, отличающейся от нормализованной, пересчитывают на влажность 12 % по формуле

(2)

где – коэффициент пересчета при влажности образцов, равной или меньше предела насыщения клеточных стенок, определяемый по прил. 1.

Коэффициент пересчета () при влажности образцов больше предела насыщения клеточных стенок вычисляют по формулам:

для древесины белой акации, бука, граба и лиственницы

(3)

для остальных пород

(4)

где W – влажность образца в момент испытания, %.

Плотность (ρ0) каждого образца в абсолютно сухом состоянии вычисляют в килограммах на кубический метр или в граммах на кубический сантиметр по формуле

(5)

где m0 – масса образца в абсолютно сухом состоянии, кг (г);

a0, b0, l0 – размеры образца в абсолютно сухом состоянии, м (см); V0 – объем образца в абсолютно сухом состоянии, м3 (см3).