Деревянные настилы являются несущими элементами деревянных ограждающих покрытий. На их изготовление расходуется большая часть древесины, используемой при сооружении деревянных покрытий. Экономное проектирование деревянных настилов во многом определяет экономическую эффективность покрытия в целом. Настилы служат основанием водо- и теплоизоляционных слоев покрытия. Они принимают участие в обеспечении устойчивости основных несущих конструкций в целом и в восприятии основных вертикальных и ветровых нагрузок. Дощатые покрытия:

а — неутепленное под рулонную кровлю; б — то же, утепленное; в — неутепленное, обрешетка под асбестоцементную кровлю; г — то же, утепленное; / — настил; 2 - рулонная кровля; 3 — асбестоцементная кровля; 4 — утеплитель; 5— пароизоляция.
Конструкция настила зависит от типа кровли и теплоизоляционных свойств покрытия При рулонной кровле настил должен иметь сплошную ровную дощатую или фанерную поверхность, на которую непосредственно можно наклеивать рулонный ковер. Утеплитель при этом может быть жестким и располагаться поверх настила под кровлей или быть мягким и располагаться в полостях, как в клеефанерных плитах.
При чешуйчатой кровле в виде волнистых листов а/ц, стеклопластика или черепичных плиток настил должен иметь для них отдельные опоры в виде досок или брусьев обрешетки или открытых ребер клеефанерных плит. Утеплитель при этом может быть мягким и располагаться между брусками обрешетки или между ребрами клеефанерных плит. С чешуйчатой кровлей особенно эффективно применение деревянных покрытий, так как она паропроницаема, способствует высыханию древесины и препятствует ее загниванию.
Деревянные настилы делятся на два основных вида — дощатые и клеефанерные.
Дощатые настилы являются наиболее распространенным видом деревянных настилов. Они могут изготовляться как в цехах деревообрабатывающих предприятий, так и в небольших мастерских строительных площадок. Для их изготовления может применяться древесина 2-го и 3-го сортов, поскольку местные дефекты настилов не снижают прочности покрытия в целом. Поэтому такие настилы имеют относительно невысокую стоимость. Основными недостатками этих настилов являются трудоемкость изготовления и ограниченная несущая способность. Дощатые настилы изготовляются из досок на гвоздях и укладываются на прогоны или основные несущие конструкции покрытий при расстоянии между ними не более 3 м. Рабочие доски настилов должны иметь длину, достаточную для опирания их не менее чем на три опоры, с целью увеличения их изгибной жесткости по сравнению с однопролетным опиранием.

Расчет настилов (обрешоток)
· Расчетная схема
а) поперечный настил (поперек оси здания)
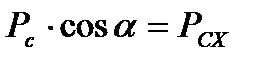
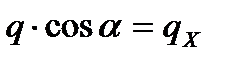
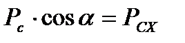
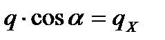
l – шаг прогонов
Pc– снеговая нагрузка
q – постоянная


постоянная + снеговая (схема 1)

-
постоянная + сосредоточенная от монтажника
(схема 2)
б) продольный настил (вдоль оси здания)
l –
шаг стропил (шаг ферм)стропила (в.п фермы)


постоянная + снеговая
Дощатый одинарный настил
1 – рубероидная кровля
2 – выравнивающий слой
3 – утеплитель
4 – пароизоляция

5 – рабочий сплошной настил из досок, толщина определяется расчетом
6 – прогон
Обрешетка из брусков под волнистую
1 – асбестоцементные или стеклопластиковые листы
2 – обрешетка из брусков 5 х 5
3 – стропильные ноги или балки
а – шаг обрешетки, зависит от типа листов, прочности, нагрузки
однослойный настил из досок с зазором 2 – 3 см, t = 2,5 – 4 см; b = <15 см