Материал: 4303

Внимание! Если размещение файла нарушает Ваши авторские права, то обязательно сообщите нам

21

Лабораторная работа № 4

Интерполяция в среде Excel. Интерполяция по формуле Лагранжа

Цель работы: получить аналитическое выражение функциональной зависимости от аргумента, заданного аналитически или графиком. Интерполяционной формулой Лагранжа пользуются, как более общей формулой, для произвольно заданных узлов интерполирования.

Постановка задачи

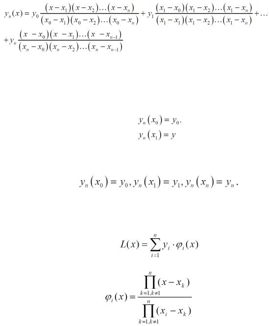
Формула Лагранжа имеет вид:

(1)

Здесь: х0 , хk - узлы интерполяции; yi - значения функций в этих узлах. Покажем, что формула (1) является интерполяционным полиномом. Пусть x = x0 , тогда все члены, кроме первого, обращаются в ноль. А

числитель и знаменатель в первом члене сокращаются, в результате чего

При x = xi второй член выражения (1) равен yi , а все остальные обращаются в ноль и т.д.

Таким образом, справедливыми являются следующие равенства:

Равенства означают, что формула (4.1.) является интерполяционной. Из этой формулы также очевидно, что многочлен, полученный по формуле Лагранжа, будет выше степени n.

Формулу (1) можно записать:

где базисная функция

22

Записанный в таком виде интерполяционный полном так же называется полиномом Лагранжа. С практической точки зрения главная проблема заключается в вычислении значения базисных функций (в произвольной точке).

Последовательность выполнения

1.Отображение анализируемой прямой в графическом виде.

2.Построение кривой для рассматриваемой зависимости.

3.Анализ полученной кривой для рассматриваемой зависимости.

4.Построений графика по полученной зависимости.

5.Выводы о проделанной работе.

Методический пример

1. График (рис. 12) следует представить в компьютерном графическом виде.

Рис. 12 График

2. С исходного графика снимаются точки и заносятся в таблицу

(табл. 5).

Таблица 5

Данные полученные с графика (рис. 12).

23

Из этих данных строим график: «Мастер диаграмм – Точечная – Выбираем значения «Y» и «X», соответственно «x» и «y».

Рис. 13 График эксперимента

3.Данные (табл. 5) заносятся в Excel (рис. 14).

4.В ячейку В11 вводится точка, в которой необходимо вычислить значение интерполяционного полинома.

5.В ячейку С2=ПРОИЗВЕД(B11-A3:A8)/ПРОИЗВЕД(A2-A3:A8) (рис. 14). Сразу следует отметить, что и эта формула, и все прочие формулы из диапазона С2:С8 вводятся как формулы для диапазонов, т.е. с помощью нажатия комбинаций клавиш «Ctrl+Shift+Enter». Причина состоит в том, что аргументами функции «ПРОИЗВЕД()» указываются результаты арифметических операций с диапазонами.

6.В ячейки С3:С7=ПРОИЗВЕД($B$11-$A$2:A2;$B$11- A4:$A$8)/ПРОИЗВЕД(A3-$A$2:A2;A3-A4:$A$8), один раз вводится формула в С3, а остальные маркером заполнения.

Рис. 14 Исходные данные

24

7.В ячейку С8 =ПРОИЗВЕД(B11-A2:A7)/ПРОИЗВЕД(A8-A2:A7).

8.После этого осталось только вычислить интерполяционный полином. Для этого в ячейку С11 =СУММПРОИЗВ(B2:B8;C2:C8) (рис. 15).

9.Теперь построим график по данным значениям и точку аргумента «Х»:»Мастер диаграмм – Точечная - Вкладка «Ряд» - Создать два ряда (рис. 16,рис. 17) – Готово». Теперь при изменении значения в ячейке В11, будем видеть как передвигается точка по мнимой кривой. При желании можно построить график по найденным значениям. (рис. 18)

Рис. 15 Интерполяционный полином

Рис. 16 График по данным

25

Рис. 17 График по данным

Рис. 18 Экспериментальный и аналитический графики

Содержание отчета

1.Записать выбранные графические значения из приложения.

2.Получить функцию Лагранжа.

3.Построить график по расчетным данным и сравнить его с исходным.

Контрольные вопросы

1.Когда следует использовать интерполяционный полином Лагранжа?

2.Как определяется погрешность интерполяции?