Материал: 4293

Внимание! Если размещение файла нарушает Ваши авторские права, то обязательно сообщите нам

Министерство образования и науки РФ Федеральное государственное бюджетное образовательное учреждение

высшего образования «Воронежский государственный лесотехнический университет им. Г.Ф.

Морозова»

Промышленная экология

Методические указания к практическим занятиям для студентов по направлению подготовки 05.03.06 – Экология и природопользование

Воронеж 2016

УДК 502.17

Прохорова Н.Л. Промышленная экология [Текст]: методические указания к практическим занятиям для студентов по направлению подготовки 05.03.06 – Экология и природопользование /Н.Л. Прохорова, Д,Ю. Капитонов ; М-во образования и науки РФ, ФГБОУ ВПО «ВГЛТА». - Воронеж, 2012. - 18 с.

Практическая работа № 1 Анализ уровня загрязнения атмосферы от предприятий лакокрасочной

промышленности Цель работы; освоение методики расчета вредных веществ и оценки

загрязнения атмосферы при проведении государственной экологической экспертизы предприятий лакокрасочной промышленности.

В процессе выполнения окрасочных работ в воздушную среду выделяются загрязняющие вещества (ЗВ) в виде паров растворителя и аэрозоля краски. Количество выделяемых загрязняющих веществ зависит от применяемых окрасочных материалов, метода окраски и эффективности работы очистных устройств.

Окраска и сушка осуществляется как в специальных камерах, так и на открытых площадях производственных цехов. На лакокрасочных предприятиях производится окраска деталей методом; пневматического и безвоздушного распыления; окраска в электростатическом поле; окунания; кистью и валиком.

Расчет выделения загрязняющих веществ производится отдельно при окраске и при сушке.

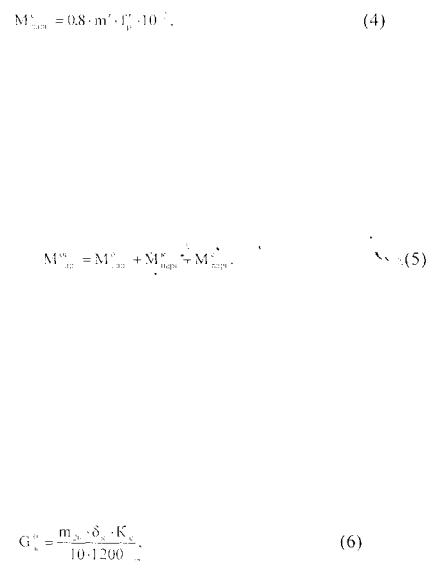
Валовое выделение аэрозоля краски при проведении окрасочных работ М°к,

кг/год, определяется по формуле

 

М°к =m∙ ơk ∙10-4 ∙Кс,

(1)

где – m массовое количество краски, израсходованной за год, кг; ơk – доля краски, потерянной доля краски, потерянной в виде аэрозоля мас.д.,% ;

Кс, – количество неиспаряющейся части краски (сухой остаток), мас.д.,% [приложение А, табл. 3-5]

Валовые выделения компонентов растворителя, входящего в состав краски при проведении окрасочных работ определяются по формуле:

М°max = 0,8∙ m ∙ fр ∙ ơ`k ∙10-4,

(2)

где fр – количество загрязняющих веществ, содержащихся в лакокрасочном материале (ЛКМ), мас.д.,% [приложение А, табл.3-5]

ơ`k

– доля растворителя, выделившегося при нанесении покрытия, %,

[приложение А, табл. 1];

 

 

0,8 – коэффициент выхода летучих компонентов из ЛКМ.

Затем определяется

валовое

выделение загрязняющих веществ M'napj,

кг/год,

выделяющихся

при

сушке окрашенных поверхностей по

формуле

4

в где 8" - доля растворителя, выделяющегося из ЛКМ при сушке, мас.д.,%

[приложение А, табл. 1];

Для разбавления красок (эмалей) применяются различные растворители, в

связи с этим при сушке выделяются пары этих растворителей. Расчет валовых изделий компонентов растворителя M'„api, кг/год, проводится по формуле

где т'- количество израсходованного растворителя за год, кг;

f'- количество загрязняющих веществ, содержащихся в растворителе, %

приложение А, табл. 2^.

Общая сумма валового выделения каждого компонента растворителя

M^’\mpi, кг/год, определяется по формуле

Максимально разовое выделение загрязняющих веществ определяется из расчета максимального расхода ЛКМ за 20-ти минутный интервал времени, в

период проведения технологического процесса.

Максимально разовое выделение загрязняющих веществ для аэрозоля краски г/с, определяется по формуле

где т2о - максимальный расход лакокрасочного материала за 20-ти минутный интервал времени проведения окрасочных работ, кг.

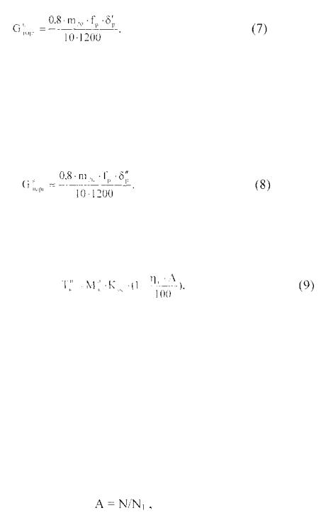
Максимально разовое выделение загрязняющих веществ для компонентов растворителей при проведении окрасочных работ G°napi, г/с, определяется по формуле

Максимально разовое выделение загрязня}ощих веществ G^iapi, г/с, для компонентов растворителей при сущке определяется по формуле

Валовый выброс аэрозоля краски Т кг/год, определяется по формуле

где Коскоэффициент оседания аэрозоля краски*в воздуховодах [прило)Ш^ие А,

табл. 6];

т| I -- коэффициент очистки улавливающего аппарата, % [приложение А, табл.

7];

л ~ коэффициент, учитывающий исправную работу очистного оборудования. Коэффициент А рассчитывается по формуле