

Большинство
ЭП потребляют из электрической сети
определенную мощность
т.е. по сети протекает активная мощность
Р
[кВт] и реактивная Q
[кВАр]. Загрузка системы электроснабжения
определяется полной мощностью S
[кВА], активная составляющая которой P
[кВт] представляется полезно потребленной
и обратно к источнику питания (ИП) не
возвращается. Реактивная составляющая
Q
[кВАр] полной мощности S
[кВА] расходуется на создание магнитных
полей в отдельных элементах электрической
сети, в частности: трансформаторах,
электрических двигателях, линиях
электропередачи, газоразрядных источниках
света, дуговых сталеплавильных печах
и др. Практически она не потребляется,
а перетекает от ИП (генератора) к ЭП и
обратно с частотой f
= 2
f50.
Для такой пульсации Q
- от генератора к ЭП и обратно - не
требуется никаких затрат. Но так как
это перетекание Q
совершается через элементы сети,
содержащие активное сопротивление R,
то на его нагрев расходуется мощность
,
т.е. от генератора требуется энергия,
однако о расходе реактивной мощности
речь не идет.
Из этого рассмотрения можно заключить следующее:
- возникающие потери активной мощности и потери напряжения в сети за счет передачи Q увеличивают капитальные затраты в системе электроснабжения;
- реактивная мощность излишне загружает все элементы сети, поскольку они выбираются по полной мощности и полному току;
- загрузка элементов сети реактивной мощностью уменьшает пропускную способность линии и трансформаторов по активной мощности и току.
Половина всех потерь активной мощности вызвана передачей реактивной мощности. Если учесть, что потери электроэнергии в электрических сетях энергосистемы России составляют 9%, то становится понятной необходимость компенсации реактивной мощности.
Полные затраты на производство и передачу всей необходимой предприятию реактивной мощности от шин электростанций в большинстве случаев значительно больше, чем затраты на производство реактивной мощности непосредственно в системе электроснабжения предприятия. Поэтому экономически целесообразно от генераторов электростанций передавать часть реактивной мощности, а большую - компенсировать на шинах.
Величина напряжения в узле нагрузки зависит от наличия в сети необходимых источников реактивной мощности.
Источники реактивной мощности
- генераторы электростанций и синхронные двигатели;
- воздушные и кабельные линии электрических сетей;
- дополнительные компенсирующие устройства: СК, батареи конденсаторов поперечного включения, вентильные установки со специальным регулированием.
СИНХРОННЫЕ МАШИНЫ. Технические характеристики синхронных машин представляют собой плавно регулируемый ИРМ. За счет изменения тока возбуждения обеспечивается регулирование реактивной мощности по любому закону. СД не потребляет из сети реактивной мощности, поэтому целесообразно использовать СД вместо асинхронных той же мощности во всех случаях, когда это допускается технологией. Если СД предназначен для нормальной работы в режиме перевозбуждения, то он даже при 100%-ной загрузке активным током может компенсировать реактивную нагрузку сети.
СМ обладают хорошими статическими хар-ми по реактивной мощности Q = f(U). При снижении напр. на вводах СМ до определенного уровня СМ позволяют увеличивать генерацию Q и тем самым способствуют устранению дефицита Q , вызванного понижением напр.
При глубоких (аварийных) снижениях U у СМ происходит автоматическая форсировка возбуждения, приводящая с существенному увеличению генерации Q .
БАТАРЕИ КОНДЕНСАТОРОВ. Батареи конденсаторов (БК) являются нерегулируемыми или ступенчато регулируемыми ИРМ. Батарею разделяют на секции, каждую из которых следует подключать через отдельный коммутационный аппарат. БК способны только генерировать Q.
БК на промышленных предприятиях получили наибольшее распространение как ИРМ. Основными их достоинствами являются:
- незначительные потери активной мощности;
- отсутствие вращающихся частей, шума при работе;
- более простая и дешевая эксплуатация, чем других ИРМ;
- возможность увеличения или уменьшения установленной мощности в зависимости от потребности;
БК
устанавливаются у потребителей. БК –
средство поперечного регулирования. В
сети можно установить устройство
продольной компенсации на основе БК.
Увеличить мщность батареи можно изменяя
схему соединения в Y
или


Если Y

Если


При включении батареи мощность увеличивается в 3 раза. Небольшой срок службы и высокая степень повреждаемости при перенапряжениях.
СТАТИЧЕСКИЕ КОМПЕНСИРУЮЩИЕ УСТРОЙСТВА СТАТИЧЕСКИЕ ИРМ:
Высокое быстродействие изменения Q ; возможность генерирования и потребления Q ; возможность работы в условиях воздействия высших гармоник.
Основными элементами статических ИРМ являются конденсатор, дроссель и вентили (тиристоры), обеспечивающие ее быстрое преобразование.
Основными достоинствами этих устройств являются высокое быстродействие и малые потери активной мощности.
ЛИНИИ ЭЛЕКТРОПЕРЕДАЧИ КАК ИРМ: Существенная генерация Q емкостной проводимостью ЛЭП проявляется только при напр. выше 220 кВ. В сетях электроснабжения предприятий генерация Q емкостной проводимостью не превышает нескольких процентов потребления. Поэтому емкостная проводимость ЛЭП систем электроснабжения промышленных предприятий не может рассматриваться как существенный источник реактивной мощности.
Шунтирующий реактор: Устройство трансформаторного типа. Они разделяются на управляемые и неуправляемые. Неуправляемые – компенсируют одну и ту же мощность. U = (35 – 750) кВ. Устанавливаются как в самой линии, так и на СШ. УШР – ток в обмотке реактора регулируется.
Суммарная мощность КУ определяется из баланса реактивной мощности.
(*)
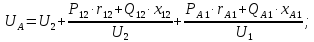
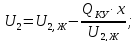
Q на каждой подстанции можно рассчитать:
,
угол
для каждой п/ст без компенсации.

должен
быть одинаков.


округляется
до стандартного большего.
В радиальных сетях источника питания может использоваться простая методика.
определяется
из баланса (*).
Вводится в (*) уравнение – ограничение в рекомендуемую систему уравнений.
сопротивление
сети;
сопротивление от источника питания до
п/ст.
При установке КУ потери мощности в РС могут уменьшиться на 25%.

КУ устанавливаются на тех п/ст, где напряжение невозможно поддержать за счет централизованного регулирования.
Компенсация реактивной мощности в ЭС применяется дли уменьшения потерь мощности, для регулирования напряжения.


Допущения:
Считаем I в узле нагрузки неизменным;
КУ не влияет на режим напряжения;
Не учитывается изменение удельной стоимости потерь;
Стоимость КУ зависит от мощности.

Из
расчета установившегося режима известны
так же мощность в конце линии.


Компенсация реактивной мощности – это системная задача. При ее решении учитываются взаимосвязи сети. Выполняются допущения. Учитывается многокритериальность задачи.
Питающие сети имеют сложную структуру. Обычно используется прием эквивалентирования.

По отношению к сети оставшаяся часть эквивалентируется. Эквивалентирование должно быть таким, чтобы расчет режима до и после эквивалентирования не изменился.
Задача расчета выполняется сверху вниз. Сеть эквивалентируется относительно СШ 35 кВ. Суммарная эквивалентная мощность определяется из уравнения баланса.
Определение мощности компенсирующих устройств в разомкнутой сети
Уравнение баланса составляется как для простой, так и для разветвленной сети.


В результате расчета установившегося режима мощность известна, напряжение задано.
Пренебрегая поперечной составляющей:





Определение мощности компенсирующих устройств в сложных сетях
Рассмотрим простую кольцевую сеть. Рассчитываем установившийся режим.


Допустим
сеть однородная, т.е.

Считаем








Распределение мощности компенсирующих устройств в сложной сети

Минимизируются суммарные приведенные затраты по всей сети. Распределение реактивной мощности определяется активным сопротивлением сети.



где
неопределенный множитель;
дополнительная функция; уравнение
баланса.