
Уточненной
положение нейтральной оси можно найти
из условия, что
:

Касательные
напряжения
в поясах отсека вычисляются по формуле:

где
–
статический момент отсеченной части
приведенного сечения относительно
центральной оси, параллельной оси z.
Результаты
расчетов
,
приведены в таблице 2. Значения нормального
напряжения в последнем поясе и наибольшее
значения касательного напряжения в
обшивке в нулевом приближении являются
исходными данными для поверочного
расчета в программе OTCEK.EXE.
Результат работы представлен на рисунке
4.6.

Рисунок 4.6 – Поверочный расчет, выполненный в программе OTCEK.EXE
Таблица 2 – Расчёт нормальных и касательных напряжений.
|
i |
θi |
Yi |
Fпояс |
φ(0)i |
b(0)пр i,мм |
Fi , мм2 |
F=Fi*φi , мм2 |
Sx=Fi*φi*yi , мм3 |
Iz=Fi*φi*yi2, мм4 |
σri,МПа |
Siотс,
мм3 |
, МПа |
|
1 |
2 |
3 |
4 |
5 |
6 |
7 |
8 |
9 |
10 |
11 |
13 |
14 |
|
1 |
0 |
1500 |
0 |
0 |
157,10 |
0 |
0 |
0 |
0 |
0 |
0 |
0 |
|
2 |
6 |
1491,783 |
0 |
0 |
157,10 |
0 |
0 |
0 |
0 |
0 |
0 |
0 |
|
3 |
12 |
1467,221 |
0 |
0 |
157,10 |
0 |
0 |
0 |
0 |
0 |
0 |
0 |
|
4 |
18 |
1426,585 |
0 |
0 |
157,10 |
0 |
0 |
0 |
0 |
0 |
0 |
0 |
|
5 |
24 |
1370,318 |
0 |
0 |
157,10 |
0 |
0 |
0 |
0 |
0 |
0 |
0 |
|
6 |
30 |
1299,038 |
0 |
0 |
157,10 |
0 |
0 |
0 |
0 |
0 |
0 |
0 |
|
7 |
36 |
1213,525 |
0 |
0 |
157,10 |
0 |
0 |
0 |
0 |
0 |
0 |
0 |
|
8 |
42 |
1114,717 |
0 |
0 |
157,10 |
0 |
0 |
0 |
0 |
0 |
0 |
0 |
|
9 |
48 |
1003,696 |
0 |
0 |
157,10 |
0 |
0 |
0 |
0 |
0 |
0 |
0 |
|
10 |
54 |
881,678 |
0 |
0 |
157,10 |
0 |
0 |
0 |
0 |
0 |
0 |
0 |
|
11 |
60 |
750,000 |
2146,0 |
1 |
157,10 |
2382,1 |
2382,1 |
1786238 |
1339678125 |
158,75 |
3139915 |
94,847 |
|
12 |
66 |
610,105 |
0 |
0 |
157,10 |
0 |
0 |
0 |
0 |
0 |
0 |
0 |
|
13 |
72 |
463,525 |
0 |
0 |
157,10 |
0 |
0 |
0 |
0 |
0 |
0 |
0 |
|
14 |
78 |
311,868 |
0 |
0 |
157,10 |
0 |
0 |
0 |
0 |
0 |
0 |
0 |
|
15 |
84 |
156,793 |
353,3 |
1 |
78,54 |
471,11 |
471,11 |
73867 |
11581744 |
74,13 |
0 |
0 |
|
16 |
90 |
0,0 |
353,3 |
1 |
78,54 |
471,11 |
471,11 |
0 |
0 |
51,77 |
0 |
0 |
|
17 |
96 |
-156,793 |
353,3 |
1 |
78,54 |
471,11 |
471,11 |
-73867 |
11581744 |
29,40 |
0 |
0 |
|
18 |
102 |
-311,868 |
353,3 |
1 |
78,54 |
471,11 |
471,11 |
-146924 |
45820799 |
7,28 |
3260759 |
98,497 |
|
19 |
108 |
-463,525 |
353,3 |
1 |
78,54 |
471,11 |
471,11 |
-218371 |
101220754 |
-14,35 |
3310156 |
99,989 |
|
20 |
114 |
-610,105 |
353,3 |
1 |
78,54 |
471,11 |
471,11 |
-287427 |
175360365 |
-35,26 |
3290498 |
99,395 |
|
21 |
120 |
-750,000 |
353,3 |
1 |
78,54 |
471,11 |
471,11 |
-353333 |
264999375 |
-55,22 |
3204934 |
96,811 |
|
22 |
126 |
-881,678 |
353,3 |
1 |
78,54 |
471,11 |
471,11 |
-415367 |
366220129 |
-74,00 |
3057336 |
92,352 |
|
23 |
132 |
-1003,69 |
353 |
1 |
78,54 |
471,11 |
471,11 |
-472851 |
474598795 |
-91,41 |
2852253 |
86,157 |
Продолжение таблицы 2
|
24 |
138 |
-1114,71723 |
353,3 |
1 |
78,54 |
471,11 |
471,11 |
-525154,438 |
585398704,9 |
-107,242 |
2594867,054 |
78,38264813 |
|
25 |
144 |
-1213,52549 |
353,3 |
1 |
78,54 |
471,11 |
471,11 |
-571703,994 |
693777370,7 |
-121,336 |
2290931,579 |
69,20172791 |
|
26 |
150 |
-1299,0381 |
353,3 |
1 |
78,54 |
471,11 |
471,11 |
-611989,842 |
794998125 |
-133,535 |
1946710,256 |
58,80390088 |
|
27 |
156 |
-1370,31818 |
353,3 |
1 |
78,54 |
471,11 |
471,11 |
-645570,6 |
884637135 |
-143,702 |
1568908,175 |
47,39170634 |
|
28 |
162 |
-1426,58477 |
353,3 |
1 |
78,54 |
471,11 |
471,11 |
-672078,353 |
958776745,7 |
-151,728 |
1164598,341 |
35,17879725 |
|
29 |
168 |
-1467,2214 |
353,3 |
1 |
78,54 |
471,11 |
471,11 |
-691222,674 |
1014176701 |
-157,525 |
741144,186 |
22,38759934 |
|
30 |
174 |
-1491,78284 |
353,3 |
1 |
78,54 |
471,11 |
471,11 |
-702793,815 |
1048415756 |
-161,028 |
306118,8901 |
9,246874214 |
|
31 |
180 |
-1500 |
1073 |
1 |
78,54 |
1190,81 |
1190,81 |
-1786215 |
2679322500 |
-162,201 |
-803266,005 |
-24,2641011 |
|
|
|
|
|
|
|
|
22220,44 |
-12629528 |
22901129739 |
|
|
|
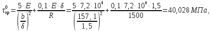
По результатам поверочного расчета программы OTCEK.EXE, выбираем панели №23, №27, №30
Напряжения в обшивке вычисляются по формуле:

где
– коэффициент коррекции,
-
угол наклона гофр (см. рисунок 4.6)
Коэффициент коррекции находится по формуле:

Так
как
то

Получаем

где


-
принимаем из данных программы OTCEK.EXE.
Тогда напряжения в обшивке будут равны


Сжимающие напряжения в стрингере за счет потери устойчивости обшивки от сдвига определяем следующим образом:

где
– приведенная площадь сечения стрингера,
где
– участок обшивки, примыкающей к
стрингеру,
Получаем



Напряжения
изгиба
в среднем сечении стрингера определяем
по формуле:

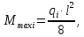
где
– максимальный изгибающий момент,
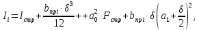
-
момент инерции сечения стрингера
относительно оси
с учетом прикрепленного к нему участка
общивки,
-
расстояние от оси
,
изображенной на рисунке 4.7.

Рисунок 4.7 – К расчету стрингера на изгиб

где
– погонная поперечная нагрузка.
Получаем


Найдем
момент инерции сечения относительно
оси
:

где

Получаем
где
МПа, где

берем из результатов программы OTCEK.EXE;
если

– критические напряжения для каждой
панели.
где

– берем из результатов программы
OTCEK.EXE.
Характеристики выбранного профиля, изображенного на рисунке 4.7 равны:

Наибольшие сжимающие напряжения изгиба будут наблюдаются в точке 1, наибольшие растягивающие напряжения наблюдаются в точке 2.
Для выбранных точек имеем:

По
рисунке 4.7 видно, что




Момент инерции для панели №23 получим равным

Тогда получаем наибольшие сжимающие и растягивающие напряжения будут равны


Окончательные напряжения в стрингере находим как


Результаты расчетов приведены в таблице 3.
Таблица 3 – Расчет вторичных напряжений

Определим
запасы прочности основных элементов
конструкции. Обшивка находится в условиях
плоского напряжённого состояния, и для
нее нужно вычислить эквивалентное
напряжение
.

Получим

Тогда запас прочности обшивки найдем как:

где
– коэффициент, учитывающий ослабление
обшивки отверстиями под заклепки, где
t = 25 мм – шаг заклепок, d
= 5,0 мм- диаметр заклепок.
Значение
рассчитывается по формулам раздела 4.2
для данного сечения, а величина
посчитана
в разделе 4.2.
Для сжатых стрингеров проводится
проверка на устойчивость. Общая
устойчивость проверяется по напряжениям


Определим запас устойчивости для сжатой полки стрингера:

Определим запас прочности по разрыву для точки 2:

Проверяем заклепки на срез. При этом запас прочности:
,
где
– срезывающая сила для данной заклепки;
.
Для заклепок, крепящих обшивку к торцевому шпангоуту:
