выбор типа и определение количества стрингеров.
Заданное расчетное сечение
представляет собой цилиндрический
отделяемый отсек радиуса
,
изображенный на рисунке 4.1. Отсек
подкреплен шпангоутами с шагом
,
крайний левый шпангоут служит для его
соединения со смежным отсеком.
Считается, что на торцевом
сечении отсека действует осевая сила
,
изгибающий момент
и перерезывающая сила
.

Рисунок 4.1 – Расчетное сечение
Исходные данные для расчета негерметичного отсека представлены в таблице 1.
Таблица 1 – Исходные данные для расчета негерметичного отсека
|
|
3 |
Рассчетный случай |
I |
II |
III |
|
R, мм |
1500 |
|
-3506 |
-1753 |
-501 |
|
L, мм |
4800 |
|
402 |
703 |
2010 |
|
|
800 |
|
108 |
226 |
548 |
|
Коэффициент безопасности f |
1,3 |
1,3 |
1,3 |
||
Целью проектировочного
расчёта является подбор размером всех
силовых элементов отсека: толщины
обшивки
;
площади поперечного сечения лонжеронов
;
площади поперечного сечения стрингера
;
расстояние между промежуточными
шпангоутами
;
потребное количество стрингеров
.
Материал отсека:
.
Характеристики материала:

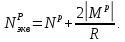
Рассчитаем расчетные значения нагрузок:
Для первого расчетного случая:



Для второго расчетного случая:



Для третьего расчетного случая:



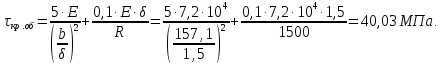
Подбор толщины обшивки производится по следующей формуле:

где
– максимальная расчетная перерезывающая
сила.
Тогда толщина обшивки будет равна

В соответствии с нормальным
рядом толщин принимаем

Для подбора сечения лонжерона необходимо сначала выбрать расчетный случай, в котором возникает наибольшее растяжение лонжеронов. Это можно сделать, основываясь на значении эквивалентной растягивающей осевой силы:

Для первого расчетного случая она будет равная:

Для второго расчетного случая:

Для третьего расчетного случая:

Принимаем

Потребная площадь сечения лонжерона рассчитывается по формуле:

где
– количество лонжеронов.
Принимаем площадь сечения лонжерона равной

Подбор потребного количества стрингеров негерметичного отсека проводится на ЭВМ с помощью программы OTCEK.EXE. Результаты расчетов приведены на рисунке 4.2.

Рисунок 4.2 – Результат приближенного расчета с помощью программы OTCEK.EXE
Для стрингеров был принят профиль ПР-102-12
Характеристики выбранного профиля, изображенного на рисунке 4.3 равны:



Рисунок 4.3 – Профиль ПР-102-10
По результатам работы программы принимаем необходимое количество стрингеров
.
Тогда расстояние между стрингерами
будет равно:

Нормальное и касательное критические напряжения обшивки при их раздельном действии:


Критическое напряжение местной потери устойчивости в предположении о справедливости закона Гука будето равно:

где k =0,385 – коэффициент принимаемы в зависимости от закрепления стенок.
Так
как
,
следует уточнить эти величины.
,
где
,
где

Тогда критическое напряжение при местной потери устойчивости будет равно

При
расчете
принимаем, что весте со стрингером
работает часть прикреплённой к нему
обшивки шириной:

Сечение стрингера с присоединенной к нему обшивкой изображено на рисунке 4.4.

Рисунок 4.4 – Сечение стрингера с обшивкой
Геометрические характеристики сечения:
Площадь:

Статический
момент относительно оси

Координата центра тяжести с:

Момент инерции относительно оси

Момент инерции относительно оси х:

Критическое напряжение общей потери устойчивости стрингера в предположении о справедливости закона Гука будет равно:

где
– коэффициент, определяемы характером
закрепления стрингера по концам. На
практике чаще всего принимается равным
2, что, как правило, идет в запас прочности;

– количество промежуточных шпангоутов.
Так
как
,
значит

Тогда критическое напряжения стрингера будет равно

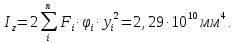
Изобразим на рисунке 4.5 в силу симметрии относительно оси y половину поперечного сечения рассматриваемого отсека и пронумеруем все пояса, включая лонжероны.

Рисунок 4.5 – Поперечное сечение негерметичного подкрепленного отсека
Расчет напряжений выполняем методом последовательных напряжений. Вычислим положение нейтральной оси, что необходимо для определения числа поясов, участвующих в работе. Исходя из результатов работы программы OTCEK.EXE
наиболее опасным расчетным случаем принимаем первый.
Величину
в нулевом приближении определяется по
формуле:

Так
как
,
то все пояса в отсеке работают на сжатие.
Дальнейшие
расчеты приведем в табличном виде в
таблице 2. Первые 3 столбца заполняем в
соответствии с рисунком 4.5. В четвертый
столбец заносим площади пояса. учитывая
что если пояса находится на оси y,
то в силу симметрии в качестве
будем брать половину площади его сечения.
В нулевом приближении примем редукционный
коэффициент

Ширину
прикрепленной обшивки для растянутых
поясов принимаем равной
,
для сжатых поясов принимаем
В растянутой зоне работают только
лонжероны, в сжатой зоне работают все
пояса.
Приведенная площадь пояса:

Площадь поперечного сечения будет равна:

Статический
момент
поперечного отсека относительно оси z
равен:

Момент инерции поперечного сечения отсека относительно оси z равен:

Координата
центра тяжести поперечного сечения
отсека будет равна:

Момент инерции сечения относительно центральной оси, параллельной оси z равен

Приведенной нормальное напряжение в поясах равно:

