
Уточненной
положение нейтральной оси можно найти
из условия, что
:

Касательные
напряжения
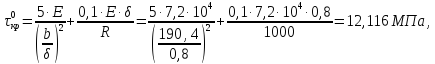
в поясах отсека вычисляются по формуле:

где
–
статический момент отсеченной части
приведенного сечения относительно
центральной оси, параллельной оси z.
Результаты
расчетов
,
приведены в таблице 2. Значения нормального
напряжения в последнем поясе и наибольшее
значения касательного напряжения в
обшивке в нулевом приближении являются
исходными данными для поверочного
расчета в программе OTCEK.EXE.
Результат работы представлен на рисунке
4.6.

Рисунок 4.6 – Поверочный расчет, выполненный в программе OTCEK.EXE
Таблица 2 – Расчёт нормальных и касательных напряжений.
|
i |
θi |
Yi |
Fпояс |
φ(0)i |
b(0)пр i,мм |
Fi , мм2 |
F=Fi*φi , мм2 |
Sx=Fi*φi*yi , мм3 |
Iz=Fi*φi*yi2, мм4 |
σri,МПа |
Siотс,
мм3 |
, МПа |
|
1 |
2 |
3 |
4 |
5 |
6 |
7 |
8 |
9 |
10 |
11 |
13 |
14 |
|
1 |
5,4545455 |
995,4719 |
176,65 |
0 |
190,4 |
328,97 |
0 |
0 |
0 |
0 |
0 |
0 |
|
2 |
16,363636 |
959,493 |
353,3 |
0 |
190,4 |
505,62 |
0 |
0 |
0 |
0 |
0 |
0 |
|
3 |
27,272727 |
888,8354 |
353,3 |
0 |
190,4 |
505,62 |
0 |
0 |
0 |
0 |
0 |
0 |
|
4 |
38,181818 |
786,0531 |
353,3 |
0 |
190,4 |
505,62 |
0 |
0 |
0 |
0 |
0 |
0 |
|
5 |
49,090909 |
654,8607 |
353,3 |
0 |
190,4 |
505,62 |
0 |
0 |
0 |
0 |
0 |
0 |
|
6 |
60 |
500 |
1920 |
1 |
190,4 |
2072,32 |
2072,32 |
1036160 |
518080000 |
177,764 |
1624719,05 |
36,13864 |
|
7 |
70,909091 |
327,068 |
353,3 |
0 |
190,4 |
505,62 |
0 |
0 |
0 |
177,764 |
0 |
0 |
|
8 |
81,818182 |
142,3148 |
353,3 |
1 |
95,2 |
429,46 |
429,46 |
61118,53 |
8698073,776 |
82,63061 |
0 |
0 |
|
9 |
92,727273 |
-47,5819 |
353,3 |
1 |
95,2 |
429,46 |
429,46 |
-20434,5 |
972314,0659 |
32,12384 |
0 |
0 |
|
10 |
103,63636 |
-235,759 |
353,3 |
1 |
95,2 |
429,46 |
429,46 |
-101249 |
23870364,11 |
-17,9255 |
1645440,84 |
36,59955 |
|
11 |
114,54545 |
-415,415 |
353,3 |
1 |
95,2 |
429,46 |
429,46 |
-178404 |
74111754,6 |
-65,7086 |
1589007,53 |
35,3443 |
|
12 |
125,45455 |
-580,057 |
353,3 |
1 |
95,2 |
429,46 |
429,46 |
-249111 |
144498696,2 |
-109,498 |
1461867,11 |
32,51632 |
|
13 |
136,36364 |
-723,734 |
353,3 |
1 |
95,2 |
429,46 |
429,46 |
-310815 |
224947264,8 |
-147,712 |
1273023,11 |
28,31586 |
|
14 |
147,27273 |
-841,254 |
353,3 |
1 |
95,2 |
429,46 |
429,46 |
-361285 |
303932065,7 |
-178,969 |
1033709,18 |
22,9928 |
|
15 |
158,18182 |
-928,368 |
353,3 |
1 |
95,2 |
429,46 |
429,46 |
-398697 |
370137410 |
-202,138 |
756983,112 |
16,83758 |
|
16 |
169,09091 |
-981,929 |
353,3 |
1 |
95,2 |
429,46 |
429,46 |
-421699 |
414078446,3 |
-216,384 |
457254,834 |
10,17072 |
|
17 |
180 |
-1000 |
960 |
1 |
95,2 |
1036,16 |
1036,16 |
-1036160 |
1036160000 |
-221,19 |
-284625,641 |
-6,33093 |
|
|
|
|
|
|
|
|
13947,24 |
-3961151,91 |
6238972779 |
|
|
|
По результатам поверочного расчета программы OTCEK.EXE, выбираем панели №12, №14, №16
Напряжения в обшивке вычисляются по формуле:

где
– коэффициент коррекции,
-
угол наклона гофр (см. рисунок 4.6)
Коэффициент коррекции находится по формуле:

Так
как
то

Получаем

где


-
принимаем из данных программы OTCEK.EXE.
Тогда напряжения в обшивке будут равны


Сжимающие напряжения в стрингере за счет потери устойчивости обшивки от сдвига определяем следующим образом:

где
– приведенная площадь сечения стрингера,
где
– участок обшивки, примыкающей к
стрингеру,
Получаем



Напряжения
изгиба
в среднем сечении стрингера определяем
по формуле:

где
– максимальный изгибающий момент,
-
момент инерции сечения стрингера
относительно оси
с учетом прикрепленного к нему участка
общивки,
-
расстояние от оси
,
изображенной на рисунке 4.7.

Рисунок 4.7 – К расчету стрингера на изгиб

где
– погонная поперечная нагрузка.
Получаем


Найдем
момент инерции сечения относительно
оси
:

где

Получаем
где
МПа, где

берем из результатов программы OTCEK.EXE;
если

– критические напряжения для каждой
панели.
где

– берем из результатов программы
OTCEK.EXE.
Характеристики выбранного профиля, изображенного на рисунке 4.7 равны:

Наибольшие сжимающие напряжения изгиба будут наблюдаются в точке 1, наибольшие растягивающие напряжения наблюдаются в точке 2.
Для выбранных точек имеем:

По
рисунке 4.7 видно, что




Момент инерции для панели №13 получим равным

Тогда получаем наибольшие сжимающие и растягивающие напряжения будут равны


Окончательные напряжения в стрингере находим как


Результаты расчетов приведены в таблице 3.
Таблица 3 – Расчет вторичных напряжений

Определим
запасы прочности основных элементов
конструкции. Обшивка находится в условиях
плоского напряжённого состояния, и для
нее нужно вычислить эквивалентное
напряжение
.

Получим

Тогда запас прочности обшивки найдем как:

где
– коэффициент, учитывающий ослабление
обшивки отверстиями под заклепки, где
t = 25 мм – шаг заклепок, d
= 2,5 мм- диаметр заклепок.
Значение
рассчитывается по формулам раздела 4.2
для данного сечения, а величина
посчитана
в разделе 4.2.
Для сжатых стрингеров проводится
проверка на устойчивость. Общая
устойчивость проверяется по напряжениям


Определим запас устойчивости для сжатой полки стрингера:

Определим запас прочности по разрыву для точки 2:

Проверяем заклепки на срез. При этом запас прочности:
,
где
– срезывающая сила для данной заклепки;
.
Для заклепок, крепящих обшивку к торцевому шпангоуту:
