Материал: 3650

Внимание! Если размещение файла нарушает Ваши авторские права, то обязательно сообщите нам

21

унифицированные формы документации материалов;

порядок согласования и утверждения НДС и лимитов сброса загрязняющих веществ;

требования к осуществлению контроля за соблюдением установленных НДС и лимитов сброса загрязняющих веществ.

Утвержденные нормативы НДС и лимиты сброса загрязняющих веществ применяются к выдаче лицензий на водопользование, при государственном контроле за использованием и охраной водных объектов, производственном экологическом контроле, установлении размеров платежей за водопользование и сброс загрязняющих веществ, наложении штрафов и предъявлении исков о возмещении ущерба, оценке эффективности водоохранных мероприятий.

Сброс сточных вод – один из основных видов воздействий на качество вод водных объектов, а НДС – разновидности норм состава сточных вод. Сброс веществ на уровне НДС является элементом НДВ, обеспечивает экологическое благополучие водного объекта и определяется ассимилирующей способностью конкретного водного объекта. Нормативы и лимиты сброса загрязняющих веществ устанавливаются:

для свойств воды (физико-химических, биологических, органолептических);

обобщенных показателей (водородный показатель, общая минерализация, окисляемость перманганатная, нефтепродукты (суммарно), фенольиый индекс);

химических соединений и ионов, существующих в водной среде, содержание которых может быть определено с применением соответствующих методов и методик выполнения измерений.

Нормативы НДС и лимиты сброса для конкретного водопользователя устанавливают только для загрязняющих веществ, которые образовались в процессе производственной и (или) иной деятельности и сброс которых в водные объекты оказывает или может оказать на них негативное воздействие.

Нормативы НДС устанавливаются в увязке с нормативами допустимых воздействий, лимитом водоотведения и с учетом взаимного влияния выпусков сточных и дренажных вод, расположенных в пределах поверхностного водного объекта. Расчеты допустимых сбросов выполняются на бассейновом и локальном уровнях.

На локальном уровне выполняется расчет НДС для каждого объекта

водопользования с учетом системы общих запретов и ограничений по

22

размещению выпусков и условий сброса сточных вод и расчетных условий, установленных на бассейновом уровне.

НДС разрабатываются на пять лет и пересматриваются и уточняются до истечения срока их действия в следующих случаях:

при изменении более чем на 20% показателей, определяющих водохозяйственную обстановку на водном объекте;

при изменении технологии производства, методов очистки сточных вод, параметров сброса;

при утверждении в установленном порядке НДВ воздействия на водные объекты.

При эксплуатации водохозяйственной системы запрещены:

1) сбросы в водные объекты сточных вод, не подвергшихся санитарной очистке, обезвреживанию, а также не соответствующих требованиям технических регламентов;

2) забор (изъятие) водных ресурсов из водного объекта в объеме, оказывающем негативное воздействие на водный объект;

3) сброс в водные объекты сточных вод, в которых содержатся возбудители инфекционных заболеваний, а также вредные вещества, для которых не установлены нормативы ПДК.

Лимит сброса загрязняющих веществ. При сбросе сточных вод в водные объекты, используемые в рыбохозяйственных целях или для питьевого и хозяйственно-бытового водоснабжения, ПДК следует соблюдать, начиная с контрольного створа, определяемого территориальными органами Росприроднадзора, но не далее 500 м от места сброса. В практике водопользования, обычно на начальных этапах работы предприятия, а также отсутствия в регионе крупного водотока с высоким потенциалом разбавления сточных вод или их жесткими ограничениями на сброс применяют лимитирование.

Лимит сброса загрязняющих веществ – это масса вещества в сточных водах, максимально допустимая к отведению с определенным режимом в данном пункте водного объекта в единицу времени, установленная на ограниченный срок (не более трех лет) в соответствии с планами поэтапного достижения НДС.

Выбор нормируемых показателей и контролируемых показателей проводится на основе анализа исходной информации. Выполняется сравнение

концентраций веществ (величин показателей) в сточных водах с ПДК,

23

региональными нормативами или естественными фоновыми значениями. Если концентрация вещества в сточной воде не превышает ПДК, региональный норматив или величину естественного фона, вещество (показатель) исключается из состава контролируемых. Прочие вещества/показатели включаются в список нормируемых.

При определении списка нормируемых веществ особое внимание уделяется синтетическим веществам-ксенобиотикам, которые:

запрещены к производству, закупке, применению;

не прошли регистрацию в установленном порядке или в регистрационных документах отсутствуют данные об их гигиенической и экологической опасности;

являются суперэкотоксикантами и иными особо опасными веществами: отнесены к I и II классу опасности по гигиеническим и рыбохозяйственным критериям; включены в списки международных конвенций и соглашений, к которым присоединилась Российская Федерация.

Перечень этих веществ формируется на основе исходной информации об использовании веществ на конкретном предприятии и анализа данных о качестве поступающей и сточной воды. Если установлено, что источником сброса таких веществ является конкретный водопользователь, вещества включаются в список нормируемых, даже если их содержание в сточной воде не превышает наиболее жесткую ПДК из числа установленных или ПДК для них в России не разработана.

В результате формируется перечень нормируемых вредных (загрязняющих) веществ, включающий в себя вещества/ показатели, для которых одновременно характерно:

содержание/величина в сточных водах выше величин, установленных нормативами качества воды по химическим показателям, в том числе ПДК;

содержание/величина в сточных водах повышается в сравнении с забираемой водой;

сброс приводит или может привести к загрязнению вод водного объекта. Наряду с химическими методами контроля осуществляется контроль

токсичности природных и сточных вод с использованием действующих методик биотестирования.

24

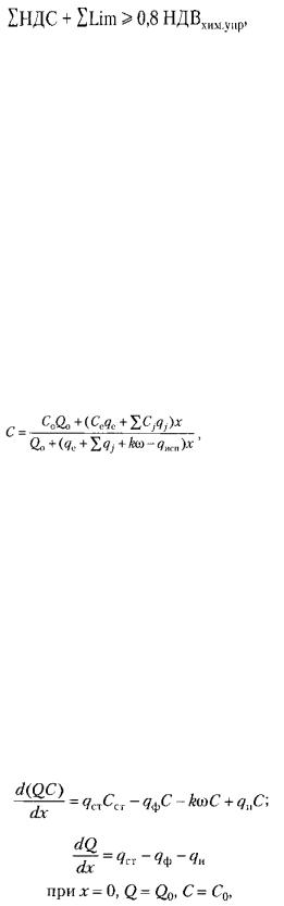
При расчете НДС для водопользователей, расположенных в пределах водохозяйственного участка водотока, необходимо соблюдение следующего условия:

где ∑НДС – сумма НДС по выпускам сточных вод, расположенным в пределах расчетного водохозяйственного участка, т/год; ∑Lim – сумма лимитов на сброс загрязняющих веществ со сточными водами, т/год; 0,8 НДВхим.упр – 80% НДВ по привносу химического вещества для водопользователей, имеющих управляемые и потенциально управляемые источники загрязнения, т/год. Оставшиеся 20% НДВхим.упр используются с учетом перспективы развития территории и появления новых выпусков сточных вод.

При отсутствии утвержденных НДВ величины НДС рассчитываются для отдельных водопользователей.

В основу расчета НДС веществ положены представления о разбавлении загрязненных сточных вод за счет вод изменения концентрации нормируемого вещества (С) объекта-водоприемника

где С0, Се, Cj — концентрации загрязняющих веществ в воде соответственно в начальном створе, притоке с водосборной площади и сточных водах; Q – расход воды в реке в начальном створе; qe, qj, qисп – расходы, приходящие на единицу длины реки соответственно притока с водосборной площади, сбрасываемых в реку сточных вод, на испарение; k – коэффициент деструкции вещества; ω – площадь поперечного сечения потока; х – расстояние между расчетными створами.

Эта зависимость получена в результате решения уравнений массопереноса веществ — загрязнителей в реках, учитывающих диффузионные процессы и процессы распада неконсервативных веществ:

Сндс

25

где Qo и Q — начальный и текущий расход в реке; С0, С — начальная и текущая концентрация; ССТ — концентрация загрязняющего вещества; qст, qдф, qи–

– удельные расходы воды сточных вод, фильтрации из русла и испарения.

Расчет величин НДС для отдельных выпусков сточных вод в водотоки. Величины НДС определяются как произведение максимального часового расхода сточных вод — q (м3/ч) на допустимую концентрацию загрязняющего вещества Сндс (г/м3). При расчете условий сброса сточных вод сначала определяется значение Сндс, обеспечивающее нормативное качество воды в контрольных створах, а затем определяется НДС

Если фоновая концентрация загрязняющего вещества в водном объекте превышает ПДК, то Сндс определяется в соответствии со сложившейся нагрузкой на водный объект.

Основная расчетная формула для определения без учета неконсервативности вещества имеет вид

Спдс = n(Cпдк – Сф) + Сф,

где Спдк – предельно допустимая концентрация загрязняющего вещества в воде водоема, г/м3;

Сф – фоновая концентрация загрязняющего вещества в воде водоема в месте выпуска сточных вод, г/м3;

n – кратность общего разбавления сточных вод в водоеме, определяется по формуле

n = nн ∙ no,

где nн – кратность начального разбавления при выпуске в мелководье или верхнюю треть глубины вычисляется следующим образом:

 

 

q 0.00215 V H 2

 

nн

 

 

ср

 

 

 

,

q 0.000215

V H 2

 

 

 

 

 

ср

 

где q – расход сточных вод выпуска, м3/с;

V – скорость ветра над водой в месте выпуска сточных вод, м/с;

Hср – средняя глубина водоема вблизи выпуска, м; значение Hср определяется в зависимости от средней глубины водоема Но следующим образом:

при Но=3÷4 м на участке протяженностью 100 м; при Но=5÷6 м на участке протяженностью 150 м; при Но=7÷8 м на участке протяженностью 200 м; при Но=9÷10 м на участке протяженностью 250 м.