16
связанных с загрязнением атмосферы, наложения штрафов и предъявления исков о возмещении ущерба при нарушении природоохранного законодательства, оценки эффективности атмосфероохранных мероприятий.
Помимо расчета ПДВ для регламентации загрязнения атмосферы необходимо установить максимальную приземную концентрацию загрязняющего вещества, опасную скорость ветра, при которой она формируется, а также расстояние хм, на котором она наблюдается.
Методика расчета основана на определении концентрации загрязняющих веществ приземного слоя воздуха (в мг/м3). Наибольшая концентрация каждого вредного вещества См в расчетной точке приземного слоя атмосферы не должна превышать максимально разовой предельно допустимой концентрации данного вредного вещества в атмосферном воздухе:
См ≤ ПДКмр.
В выбросе нагретой газо-воздушной смеси из одиночного горячего источника с круглым устьем при неблагоприятных метеорологических условиях на расстоянии Хм от источника СМ, мг/м3 определяется по формуле
CM A M F m n ,
H 2 3 V T
где А коэффициент, зависящий от температурной стратификации атмосферы и определяющий условия вертикального и горизонтального рассеивания ЗВ в атмосфере;
М максимально разовый выброс (масса загрязняющего вещества, выбрасываемого в атмосферу в единицу времени), г/с;
F – безразмерный коэффициент, учитывающий скорость оседания загрязняющих веществ в атмосферном воздухе (При отсутствии данных о
фракционном составе выбрасываемых загрязняющих твердых веществ разрешается принять: F = 1 – для газообразных загрязняющих веществ и мелкодисперсных аэрозолей (пыли, золы и т. п., скорость упорядоченного оседания которых практически равна нулю); F = 2 – для пыли и золы (кроме указанных выше) при среднем эксплуатационном коэффициенте очистки выбросов более 90 %; F = 2,5 – если коэффициент очистки газовых выбросов равен от 75 % до 90%.
m, n – коэффициенты, учитывающие условия выхода газо-воздушной смеси из устья источника выброса (m – изменяется от 0,8 до 1,5; n – изменяется от 1 до
3);
безразмерный коэффициент, учитывающий влияние рельефа местности;
17
в случае ровной или слабо пересеченной местности с перепадом высот, не превышающих 50 м на 1 км, = 1;
Н высота источника выброса над уровнем земли, м;
3 |
V |
D2 |
|
V расход газо-воздушной смеси, м /с; |
|
W |
|
|
|||
|
|
4 |
o |
|
|
|
Т разность между температурой выбрасываемой газо-воздушной смеси Тг и температурой окружающего атмосферного воздуха Тв, оС.
Значение коэффициента А, соответствующее неблагоприятным метеорологическим условиям, при которых концентрация загрязняющих веществ в атмосферном воздухе максимальна, определяется районом размещения промышленного объекта табл. 1.
Таблица 1– Значения коэффициента А в зависимости от района размещения
Район размещения объекта |
Значение коэффициента А |
|
|
Средняя Азия южнее 400 северной широты, Бурятия, Читинская |
|
область |
250 |
Европейская территория России южнее 500 северной широты, |
|
остальные районы Нижнего Поволжья, Кавказ и Молдова, и |
|
остальные территории Сибири и средней Азии, районы Украины |
|
южнее 500 северной широты, ист. высотой менее 200 м |
200 |
Европейская территория и Урал от 50 до 520 северной широты за |
|
исключением попадающих в эту зону перечисленных выше районов |
|
Украины, районы Украины между 50 и 520 северной широты, |
|
источники высотой менее 200 м |
180 |
Европейская территория России и Урала севернее 520 северной |
|
широты (за исключением центра Европейской территории России) |
160 |
Московская, Тульская, Рязанская, Владимирская, Калужская, |
|
Ивановская области |
140 |
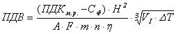
ПДВ определяется для каждого вещества отдельно, в том числе и в случаях
учета суммации вредного действия нескольких веществ.
Значение ПДВ (г/с) для одиночного источника с круглым устьем для нагретых выбросов, когда его концентрация в приземном слое воздуха не превышает ПДК, определяется по формуле:
, г/с
Расстояние Хм (м) от источника выбросов, на котором приземная концентрация вредных веществ См (мг/м3) при неблагоприятных метеорологических условиях достигает максимального значения, определяется по формуле
18
где d – безразмерный коэффициент, изменяется от 15 до 25 и в среднем выполняется условие хм=20∙Н. Объем газо-воздушной смеси определяемый по
формуле |
|
|
|
|
|
|
|
где D (м) – диаметр устья источника выброса; 0 (м/с) – средняя скорость |
|||||
выхода газо-воздушной смеси из устья источника выброса. |
|
|||||
|
Ниже приведен пример расчета концентраций вредных веществ в |
|||||
атмосферном воздухе в районе источников их выброса |
при неблагоприятных |
|||||
метеоусловиях. |
|
|
|
|
|
|
Таблица 2– Пример расчета концентраций вредных веществ в атмосферном |
||||||
воздухе |
|
|
|
|
|
|
|
|
|
|
|
|
|
№ |
Характеристика, обозначения, расчет |
|
Значение |
|||
пп |
|
|||||
|
|
|
|
|
|
|
1 |
Число дымовых труб, N, шт. |
|
|
|
1 |
|
2 |
Высота дымовых труб Н, м |
|
|
|
35 |
|
3 |
Диаметр устья трубы D, м |
|
|
|
1,4 |
|
4 |
Скорость выхода газовоздушной смеси w0 , м/с |
|
7 |
|||
5 |
Температура газовоздушной смеси Т0 , оС |
|
125 |
|||
6 |
Температура окружающего воздуха, Т , оС |
|
25 |
|||
|
|
|
в |
|
|
|
7 |
Выброс двуокиси серы, Мso2, г/с |
|
|
12 |
||
8 |
Выброс золы, Мз, г/с |
|
|
|
2,6 |
|
9 |
Выброс окислов азота (в пересчете на двуокись азота), |
|
|
|||
|
МNo2, г/с |
|
|
|
0,2 |
|
10 |
Коэффициенты в формуле: |
|
А |
|
200 |
|
11 |
Предельно-допустимые |
концентрации |
(ПДК) |
|
|
|
|
веществ: |
|
|
|
ПДКсс 0,05; |
ПДКмр 0,5 |
|
двуокиси серы, мг/м3 |
|
|
|
ПДКсс 0,05, |
ПДКмр 0,15 |
|
сажа, мг/м3 |
|
|
|
ПДКсс 0,06, |
ПДКмр 0,4 |
|
окислов азота, мг/м3 (NO) |
|
|
|
ПДКсс 0,04, |
ПДКмр 0,085 |
|
окислов азота, мг/м3 (NO2) |
|
|
|
ПДКсс 1,4, |
ПДКмр 5,0 |
|
оксид углерода, мг/м3 |
|
|
|
|
|
12 |
Объем газоводушной смеси: |
V1 |
м3/с |
|
10,8 |
|
13 |
Перегрев газовоздушной смеси |
Т, оС |
|
|
|
|
|
Т = Тг – Тв = 125 – 25 |
|
|
|
100 |
|
Задание 1. Рассчитать максимально разовую концентрацию вредных веществ в атмосфере в районе источника выброса и сравнить их с предельнодопустимой концентрацией по этим веществам для следующих вариантов (табл. 3). Рассчитать ПДВ данных веществ. Сделать рекомендации по уменьшению выбросов.
Таблица 3 – Исходные данные для расчетов по вариантам
19
|
Вариант 1 |
|
Вариант 2 |
|
|
|
|
|
|
|
|
Показатели |
1 источник |
2 источник |
1 источник |
2 источник |
|
|
|
|
|
|
|
Высота трубы, м |
30 |
25 |
15 |
12 |
|
|
|
|
|
|
|
Диаметр устья трубы, м |
1,4 |
1,2 |
0,6 |
0,4 |
|
|
|
|
|
|
|
Скорость выхода газовоздушной смеси, Wo, м/с |
6 |
7 |
12 |
12 |
|
|
|
|
|
|
|
Температура газовоздушной смеси, 0С |
130 |
150 |
108 |
95 |
|
Температура окружающего воздуха, 0С |
25 |
25 |
21 |
20 |
|
Выброс двуокиси серы, г/с (Сф, мг/м3) |
2,9 (0,02) |
0,25 (0,02) |
1,16 |
(0) |
2,7 (0) |
Выброс сажи, г/с(Сф, мг/м3) |
1,8 (0,01) |
1,35 (0,01) |
- |
|
- |
Выброс диоксида азота, г/с (Сф, мг/м3) |
0,8 (0,02) |
0,4 (0,01) |
0 |
|
0,55 (0,01) |
Выброс угарного газа, г/с (Сф, мг/м3) |
|
|
5,66 |
(0) |
8,83 (0) |
20
Практическая работа № 5 (4 часа)
Расчет массы сброса загрязняющих веществ с неорганизованным стоком с территории природопользователя
Цель занятия: изучить современные подходы к нормированию антропогенных воздействий на водные объекты.
Качество питьевой воды согласно ГОСТР 51232-98 оценивается комплексно тремя группами нормативов: органолептическими, санитарно - токсикологическими, санитарно-эпидемиологическими.
Питьевая вода должна быть безопасна в эпидемическом отношении, безвредна по химическому составу и иметь благоприятные органолептические свойства.
ПДК вещества в воде устанавливается: для питьевого и хозяйственнобытового, рекреационного водопользования с учетом трех показателей вредности (ЛПВ): органолептического, обще-санитарного, санитарно-токсикологического.
Для рыбо-хозяйственного водопользования с учетом пяти показателей вредности: санитарного, рыбо-хозяйственного, органолептического, токсикологического, санитарно-токсикологического.
Нормативы допустимых сбросов (НДС) устанавливаются для каждого выпуска сточных вод проектируемых (реконструируемых) и действующих предприятий-водопользователей, исходя из условий недопустимости превышения ПДК вредных веществ в контрольном створе или на участке водного объекта с учетом его целевого использования. В случае превышения ПДК в контрольном створе НДС устанавливается из условия сохранения (неухудшения) состава и свойств воды в водных объектах, сформировавшихся под влиянием природных факторов. При этом учитываются ассимилирующая способность водного объекта и оптимальное распределение массы сбрасываемых веществ между водопользователями, сбрасывающими сточные воды. В случае одновременного использования водного объекта для различных целей к составу и свойствам воды принимаются наиболее жесткие нормы из числа установленных.
Методика разработки нормативов допустимых сбросов веществ и микроорганизмов в водные объекты для водопользователей устанавливает:
–единые методические подходы и расчетные методы при ограничении поступления загрязняющих веществ со сточными водами для целей предотвращения и ликвидации вреда водным объектам;
–НДС и лимиты сброса загрязняющих веществ;
| 00539 |
| 02.03 |
| 0501 Конунников ЛР1-1 |
| 10-2_ЛР |
| 10Лекция 10 |
| 1136 |
| 1304 |
| 131 |
| 1362 |
| 15.02.16 1 пара |