Материал: 330

Внимание! Если размещение файла нарушает Ваши авторские права, то обязательно сообщите нам

11

Как решается вопрос об уголовной ответственности иностранных граждан при совершении ими преступлений на территории Российской Федерации?

6.17-летний Генрих Дик, сын посла Германии в Москве, страдающий наркоманией, совершил незаконное приобретение 0,5 г героина. При задержании он оказал сопротивление сотрудникам полиции.

Подлежит ли Дик привлечению к уголовной ответственности по УК РФ?

7.Гражданин России Колесов, отдыхая в Болгарии, двигаясь на автомобиле, нарушил требования ПДД и совершил наезд на гражданина Болгарии Дивова, причинив его здоровью тяжкий вред. В Болгарии Колесова осудили к 2 годам лишения свободы. После отбытия наказания он вернулся по месту жительства в Тюмень.

Будет ли привлечен Колесов к ответственности по УК РФ? Изменится ли ответ, если он не был привлечен к уголовной ответственности в Болгарии?

8.Гражданин России Каверин, находясь в турпоездке в Египте

ибудучи в состоянии опьянения, на улице из хулиганских побуждений обнял одну из местных женщин и, приподняв паранджу, попытался поцеловать ее. Женщина закричала, и очевидцы вызвали полицию. Каверин испугался и скрылся с места происшествия, а на следующий день вернулся в Россию. Органы власти Египта обратились к Российскому государству с просьбой о выдаче Каверина в целях привлечения его к ответственности, поскольку совершенное деяние является в Египте преступлением.

Подлежит ли Каверин выдаче властям Египта? Как будет решен вопрос об ответственности Каверина?

9.Гражданин Великобритании Мейер при осуществлении строительных работ на континентальном шельфе Российской Федерации нарушил правила строительства подводных сооружений, чем поставил под угрозу безопасность морского судоходства в данном районе.

Относится ли континентальный шельф к территории Российской Федерации? Возможно ли привлечение Мейера к ответственности по УК РФ?

10.Российские моряки Пашутин и Николаев, находясь в Средиземном море в 3 км от берега Италии на борту российского судна «Адмирал Нахимов», поссорились, и Пашутин причинил Николаеву перелом костей носа, т. е. легкий вред здоровью.

12

По УК какого государства Пашутин подлежит привлечению

куголовной ответственности? Изменится ли ответ, если судно находилось в порту г. Рима?

11.В Москве при проведении обыска в квартире, где проживал гражданин Азербайджана Махмудов, было обнаружено и изъято 5 кг героина. Установлено, что данное наркотическое вещество он приобрел на территории Таджикистана и перевез в Москву на автомобиле в целях его сбыта.

По закону какого государства Махмудов подлежит привлечению

куголовной ответственности? Изменится ли решение вопроса, если Махмудов пользуется дипломатическим иммунитетом?

13

Р а з д е л 2. ПОНЯТИЕ ПРЕСТУПЛЕНИЯ И ЕГО ПРИЗНАКИ

Понятие преступления

(ст. 14 УК РФ)

Преступлением признается виновно совершенное общественно опасное деяние, запрещенное уголовным кодексом под угрозой наказания

Не является преступлением действие или бездействие, хотя формально и содержащее признаки какого-либо деяния, предусмотренного Особенной частью Уголовного кодекса, но в силу малозначительности не представляющее общественной опасности

14

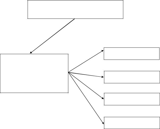
Признаки преступления

Общественная

 

Противоправность

опасность

 

 

 

Виновность

 

Наказуемость

 

 

 

Общественная опасность – свойство деяния причинять или возможность причинить существенный вред охраняемым уголовным законом общественным отношениям.

Противоправность – запрещенность уголовным законом общественно опасного деяния.

Виновность – совершение предусмотренного уголовным законом общественно опасного деяния умышленно или по неосторожности.

Наказуемость – установление законом уголовного наказания за совершение общественно опасного деяния.

15

Категории (классификация) преступлений

(ст. 15 УК РФ)

Небольшой тяжести

Преступления в зависимости от характера

и степени общественной опасности делятся Средней тяжести

на преступления

Тяжкие

Особо тяжкие