Материал: 3

Внимание! Если размещение файла нарушает Ваши авторские права, то обязательно сообщите нам

Фомина ЕГ 22 группа

3. Из пяти карточек, на которых написаны цифры 1,2,3,4,5, наудачу выбираются три (пять) карточки и раскладываются в ряд в порядке появления. Сколько трёхзначных (пятизначных) чисел можно составить? Сколько чётных трёхзначных чисел можно составить? Сколько нечётных трёхзначных чисел можно составить?

Для трех: Вариантов для выбора первой цифры - 5, для второй - 4, для третьей - 3

Значит: 5*4*3=60 трехзначных чисел можно составить

Для пяти: Количество чисел - 5!=120

Четные: Выбрать последнюю цифру - 2 варианта, вторую - 4, третью - три. 2*4*3=24

Нечетные: Выбрать последнюю цифру - 3 варианта, вторую - 4, третью - три. 3*4*3=36

8. В партии домино имеется 28 костей. В домино играют четыре человека, которые, начиная игру, разбирают все кости. Сколько всего вариантов разбора костей партии домино возможно?

Первый игрок делает выбор из 28 костей. Второй из 28-7=21. Третий 14. Четвертый 7. Значит возможно

13. В библиотеке в очереди стоят десять студентов. Сколько будет вариантов очередей, в которых между A и B стоят: а) два студента; б) три студента?

А и В будут отделены 3-мя людьми, если будет выполнен один из след. случаев: А-1, В-5; А-2, В-6; А-3, В-7; А-4, В-8; А-5, В-9; А-6, В-10 или наоборот. Всего таких случаев 6*2=12. Общее же число вариантов расстановки А и В равно 10*9=90. Значит, Р=12/90=2/15.

А и В будут отделены 2-мя людьми, если будет выполнен один из след. случаев: А-1, В-4; А-2, В-5; А-3, В-6; А-4, В-7; А-5, В-8; А-6, В-9; А-7, В-10 или наоборот. Всего таких случаев 7*2=14. Общее же число вариантов расстановки А и В равно 10*9=90. Значит, Р=14/90=7/45.

18. В каждом регионе Российской Федерации государственный номер автомобиля состоит из трёх (из двенадцати возможных) букв латинского алфавита и трёхзначного числа (от 001 до 999). Например: «А 621 ТЕ» или «В 384 СК». Сколько всего автомобилей может быть зарегистрировано таким образом в каждом регионе?

Возьмем один небольшой регион, например, 70. В номере присутствуют три буквы и три цифры. Комбинаций цифр 999. По правилу умножения из Комбинаторики 12*999)12*12 = 1 726 272 вариантов номеров. Следствие номеров 001, 777 и т.п. в одном регионе возможно 12*12*12 = 1728 Номеров с одинаковыми буквами и одинаковыми цифрами. Например в888вв 12*9 = 108

23. Из группы в десять мужчин и десять женщин нужно выбрать десять человек. а) Каково число способов выбора десяти человек? б) Каково число способов выбора десяти человек, если по крайней мере восемь из них должны быть женщинами? в) Каково число способов выбора, при которых в группе из десяти человек мужчин окажется больше, чем женщин?

А. Всего 20 человек. Значит выбор 10 человек из 200 по формуле .

20!/10!(20-10)! = 184756

Б. Нам нужно выбрать 2 мужчин из 10 это

Нам нужно выбрать 8 женщин из 10

45*45+10*10+1*1=2126

В. Я не понимаю как решить

28. В урне имеются шары с номерами 1,2,3,4,5,6. Наудачу извлекаются три шара и раскладываются в порядке появления. Сколько трёхзначных чисел могут образовать номера извлечённых шаров? Сколько возможно 6 комбинаций, в которых номера извлечённых шаров будут образовывать возрастающую последовательность? Найти общее решение задачи: если в урне имеются n шаров с номерами от 1 до n, а извлекаются и раскладываются в порядке появления m шаров. Сколько возможно комбинаций, в которых номера извлечённых шаров будут образовывать возрастающую последовательность?

Число комбинаций номеров трёх шаров, образующих возрастающую последовательность, равно . Ниже приведена схема построения комбинаций возрастающих номеров трёх извлекаемых шаров. Она позволяет построить решение общей задачи.

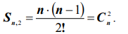
Пусть в урне имеются n шаров с номерами от 1 до n, а извлекаются и раскладываются в порядке появления m шаров. Если m=2, то Sn,2 − число возрастающих последовательностей номеров шаров будет равно:

или, если заменить m=2.

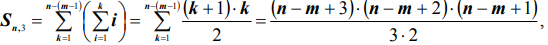
Если m=3, то число возрастающих последовательностей номеров шаров будет равно: или, если заменить m= 3

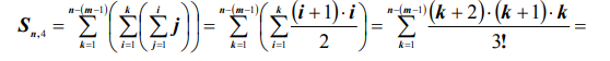
Продолжая дальше, получаем, если m=4, то число возрастающих последовательностей номеров шаров будет равно:

или, если заменить m= 4

Значит, для произвольных натуральных чисел n и m, можем записать, что - число возрастающих последовательностей номеров шаров будет равно: