Материал: 3

Внимание! Если размещение файла нарушает Ваши авторские права, то обязательно сообщите нам

ГУАП

КАФЕДРА № 41

ОТЧЕТ

ЗАЩИЩЕН С ОЦЕНКОЙ

ПРЕПОДАВАТЕЛЬ

ассистент

М. С. Иванова

должность, уч. степень, звание

подпись, дата

инициалы, фамилия

ОТЧЕТ О ЛАБОРАТОРНОЙ РАБОТЕ №3

Моделирование уравнения регрессии

по курсу: МОДЕЛИРОВАНИЕ

РАБОТУ ВЫПОЛНИЛА

СТУДЕНТКА ГР.

4716

С.А. Янышева

подпись, дата

инициалы, фамилия

Санкт-Петербург

2020

Лабораторная работа № 3

Моделирование уравнения регрессии

  1. Цель работы

  1. Освоить методы моделирования уравнения регрессии и метод оценки его параметров;

  2. Изучить возможности пакетов Excel и MATLAB по моделированию и анализу параметров уравнения регрессии.

  1. Вариант задания

Вариант №20

a = 2, b = 7.

  1. Ход работы

В таблице excel cоздан ряд чисел от 1 до 50 (столбец Xi). Столбец Y посчитан по формуле: =2+7*A2. Был сгенерирован ряд случайных чисел с помощью пакета «Анализ данных» – «Генерация случайных чисел» (столбец Е). Столбец Yi посчитан по формуле: =2+7*A2+C2. По столбцам Xi и Yi построена точечная диаграмма с линией тренда. Посчитано значение ^Yi по формуле: =$F$2+$G$2*A2, и добавлено на диаграмму. Результат работы представлен на рисунке 1.

Рисунок 1 – Результат работы

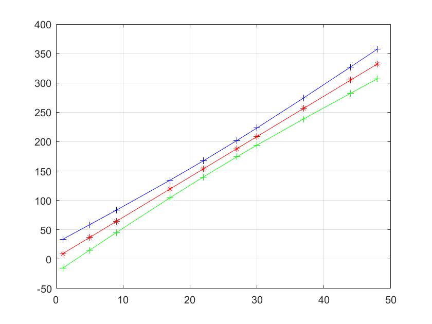
На Лист 2 были скопированы 10 случайных значений Xi и Yi, по этим данным так же построена точечная диаграмма с линией тренда (рисунок 2). По данным столбцов X и Y восстановлены параметры уравнения в MATLAB и построены соответствующие графики. Код программы представлен в листинге 1, получившийся график представлен на рисунке 3.

Рисунок 2 – Диаграмма 2

Рисунок 3 – Построенный график

На рисунке 4 представлены значения a и b, посчитанные в MATLAB, они полностью совпадают со значениями, получившимися на диаграмме 2, а это значит всё расчеты верны.

Рисунок 4 – Посчитанные значения

  1. Программный код

Листинг 1

x=[1; 5; 9; 17; 22; 27; 30; 37; 44; 48];

y=[21.74747774;32.10382622;43.24388629;118.1762691;180.6262061;163.4765075;223.4358954;261.5011088;298.3508735;331.5182586];

n=10

x1=sort(x);

[k, k1]=size(x);

if k1>k

for i=1:k

y1(i)=0;

end;

return;

end;

for i=1:k

for j=1:k

if abs(x1(i)-x(j))<10^-5

y1(i)=y(j);

end;

end;

end;

y1=y1';

a=0

for i=1:n

a=a+y1(i);

end;

a=a/n

%Вычислена предварительная оценка параметра а.

xmean=mean(x1);

ymean=mean(y1);

b=0;

c=0;

for i=1:n

b=b+(x1(i)-xmean)*y1(i);

c=c+(x1(i)-xmean)^2;

end;

b=b/c

% Найдена оценка параметра b.

a=a-b*xmean

% Исправлена оценка параметра а.

for i=1:n

yr(i)=a+b*x1(i);

end;

plot(x1,yr,'-*r',x1,y1,'-+g'),grid

bet=0.95;

alf=1-bet;

t=tinv(1-alf/2,n-2)

D1=0;

for i=1:n

D1=D1+(y1(i)-yr(i))^2;

end;

D1=D1/(n-2);

aleft=a-t*sqrt(D1/(n-2));

aright= a+t*sqrt(D1/(n-2));

sum=0;

for i=1:n

sum=sum+(x1(i)-xmean)^2;

end;

epsb=sqrt(n/(n-2)*D1/sum);

bleft = b-t*epsb;

bright=b+t*epsb;

for i=1:n

eps(i)=y1(i)-yr(i);

yleft(i)=yr(i)-t*sqrt(D1/(n-2)*(1+n*(x1(i)-xmean)^2/sum));

yright(i)=yr(i)+t*sqrt(D1/(n-2)*(1+n*(x1(i)-xmean)^2/sum));

end;

plot(x1, eps,'-*r'),grid;

plot(x1, yr,'-*r',x1,yleft,'-+g',x1,yright,'-+b'),grid

  1. Выводы о проделанной работе

В результате выполнения лабораторной работы, были получены практические навыки работы с возможностями пакетов Excel и MATLAB по моделированию и анализу параметров уравнения регрессии, а также освоены методы моделирования уравнения регрессии и метод оценки его параметров.